OpenCV(二十六):高斯滤波
图像平滑是计算机视觉中的重要基础操作,用于降噪、改善图像质量以及为后续算法(如边缘检测、特征提取、图像金字塔处理等)作准备。在所有平滑方法中,高斯滤波(Gaussian Blur) 是最常用、最经典的一种。与均值滤波或方盒滤波相比,高斯滤波能更好地保护边缘,具有更好的数学性质和视觉效果。
高斯分布(正态分布)
高斯分布是什么?
高斯分布是一种以平均值为中心、呈钟形曲线的概率分布,数据在中心附近最多,越远离中心概率越小。自然界中大量随机现象都服从高斯分布,因此图像处理中常用高斯滤波来模拟自然模糊和消除噪声。
如果一个现象由 许多微小随机因素共同影响,例如:
- 人的身高
- 测量误差
- 传感器噪声
- 自然界随机变量
- 图像的噪声(亮度受到电子噪声影响)
那么它最终通常呈现:
- 中间最多(平均值附近概率最大)
- 两边逐渐减少
- 整体形成一个对称的钟形曲线
这就是高斯分布。
你可以把它想象成:
“大部分值都在中间附近,极端值很少。”
高斯分布的数学公式
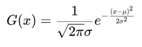
一维高斯分布公式:

其中:
- μ(mu):平均值(曲线中心位置)
- σ(sigma):标准差(决定曲线胖瘦)
- σ 小 → 峰窄而高
- σ 大 → 峰宽而低
高斯分布的统计特性
| 范围 | 含义 |
|---|---|
| μ ± 1σ | 约 68% 的数据落在这里 |
| μ ± 2σ | 约 95% |
| μ ± 3σ | 约 99.7% |
这就是著名的 “3σ 定律”。
为什么自然界中很多事物呈高斯分布?
因为自然界中的现象通常受大量“微小随机因素”的共同作用。
例如:
- 身高由基因、营养、生活环境等众多因素影响 → 呈高斯
- 温度测量误差随机累积 → 呈高斯
- 图像传感器噪声(电子热噪声) → 高斯噪声
数学上由 中心极限定理 指导:
多个独立随机变量的和趋向于高斯分布。
因此高斯分布几乎无处不在。
图像处理中为什么要使用高斯分布?
图像的噪声常常服从高斯分布,所以高斯滤波是最适合消除噪声的。
高斯滤波使用的权重就是高斯分布:
- 落在中心的像素影响最大
- 距离越远权重越小,影响越弱
- 平滑自然,不破坏结构
而均值滤波会平均所有像素,容易破坏边缘。
因此高斯分布是图像模糊算法中最科学、最合理的选择。
高斯滤波的思想与目的
高斯滤波是一种基于高斯分布(正态分布)权重的平滑方法,它通过给邻域中像素赋予不同权重来实现平滑和降噪。
核心思想:
距离中心越近的像素权重越大,距离越远的权重越小。
相比均值滤波(所有像素权重相同),高斯滤波避免了“丢失边缘特征”问题,因此图像平滑得更自然。
高斯分布服从著名的钟形曲线:

其中 σ 表示标准差,σ 越大,平滑越强。
高斯滤波数学原理
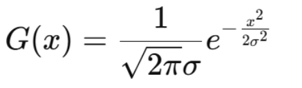
一维高斯函数

它表示一个以 0 为中心、宽度由 σ 控制的概率密度函数。
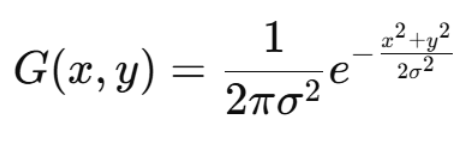
二维高斯函数
图像是二维的,因此需要二维高斯核:

它是一个二维的高斯“钟面”,中心最高,向四周递减。
为什么高斯滤波比均值滤波好?
权重随距离变化更平滑
均值滤波:
- 所有像素权重相同
- 会模糊边缘
- 易丢失图像纹理细节
高斯滤波:
- 局部像素按照“距离远近”赋权
- 更接近真实光学成像的模糊方式
- 边缘保持更好
符合人眼视觉特性
人眼对中心像素更敏感,因此高斯滤波模糊效果更自然。
高斯核可分离(计算速度快)
二维高斯核可以分解为两个一维核:

因此复杂度由 O(n²) 降到 O(2n),OpenCV 内部利用该特性加速。
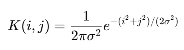
高斯核(Gaussian Kernel)的生成方法
使用窗口大小 k,与标准差 σ,生成核 K:

示例:生成 5×5 高斯核(σ=1.0),其权重分布类似:
1 4 7 4 1
4 16 26 16 4
7 26 41 26 7
4 16 26 16 4
1 4 7 4 1
然后进行归一化,使核权重和为 1。
高斯滤波的参数与意义(OpenCV)
OpenCV 中高斯滤波函数:
cv2.GaussianBlur(src, ksize, sigmaX, sigmaY=None, borderType)
参数解释:
| 参数 | 含义 |
|---|---|
| src | 输入图像 |
| ksize | 核大小,例如 (5,5),必须为奇数 |
| sigmaX | X 方向标准差 σ |
| sigmaY | Y 方向标准差(不填时自动 = sigmaX) |
| borderType | 边界填充方式 |
核大小 ksize 必须是奇数的原因
确保存在“唯一中心点”,便于左右对称权重分布。
σ(标准差)的作用
σ 决定模糊程度:
- 小 → 轻微模糊
- 大 → 强烈模糊
若设置为 0,OpenCV 会根据核大小自动计算最优 σ。
例如:
ksize = 5 → σ ≈ 0.8 ~ 1.0
ksize = 9 → σ ≈ 1.5 ~ 2.0
实际经验:一般使用 σ = 1.0(轻度模糊)。
OpenCV 高斯滤波内部实现机制
OpenCV 高斯滤波主要步骤:
- 根据 ksize 与 σ 生成一维高斯核 G
- 使用 separable filter(可分离卷积)
- 先进行 X 方向卷积(行卷积)
- 再进行 Y 方向卷积(列卷积)
- 使用 SSE/AVX 指令集加速数值运算
可分离卷积使得高斯滤波运行速度比同尺寸的均值滤波更快。
与方盒滤波(boxFilter)对比
| 过滤类型 | 权重分布 | 边缘保留 | 效果自然度 |
|---|---|---|---|
| 方盒滤波 | 全 1 | 较差 | 一般 |
| 均值滤波 | 全 1/窗口大小 | 较差 | 一般 |
| 高斯滤波 | 随距离变化 | 较好 | 最佳 |
方盒滤波会产生明显模糊,而高斯模糊更柔和。
高斯滤波应用场景
降噪前处理
例如 Canny 边缘检测必须先高斯平滑,以抑制噪声。
图像金字塔
高斯金字塔使用多次高斯滤波 + 下采样构成。
卷积神经网络前处理
改善图像平滑度,提高模型鲁棒性。
模糊效果
用于背景虚化、相机景深模拟。
示例
基本高斯滤波
import cv2
import numpy as np# -------------------------------------------------
# 1. 生成一张典型测试图(包含渐变、几何形状、噪声)
# -------------------------------------------------h, w = 400, 400# 梯度背景
gradient = np.tile(np.linspace(0, 255, w, dtype=np.uint8), (h, 1))# 转为 3 通道
img = cv2.merge([gradient, gradient, gradient])# 画一些形状(增强调试效果)
cv2.rectangle(img, (50, 50), (150, 150), (255, 0, 0), -1)
cv2.circle(img, (300, 100), 50, (0, 255, 0), -1)
cv2.line(img, (200, 200), (350, 350), (0, 0, 255), 5)# 添加随机噪声
noise = np.random.randint(0, 50, (h, w, 3), dtype=np.uint8)
noisy_img = cv2.add(img, noise)# -------------------------------------------------
# 2. 高斯滤波
# -------------------------------------------------
sigma = 2.0
gaussian_blur = cv2.GaussianBlur(noisy_img, (0, 0), sigmaX=sigma)# -------------------------------------------------
# 3. 显示结果
# -------------------------------------------------
cv2.imshow("Original (with noise)", noisy_img)
cv2.imshow(f"Gaussian Blur (sigma={sigma})", gaussian_blur)
cv2.waitKey(0)
cv2.destroyAllWindows()
效果显示:

指定 σ 的高斯滤波
import cv2img = cv2.imread("test.jpg")sigma = 2.0 # 指定标准差# ksize = (0,0) 表示让 OpenCV 根据 sigma 自动计算合适的高斯核大小
blur = cv2.GaussianBlur(img, (0, 0), sigmaX=sigma)cv2.imshow("Original", img)
cv2.imshow("blur", blur)
cv2.waitKey(0)
对比均值滤波与高斯滤波
import cv2
import numpy as np# 读取图像
img = cv2.imread("test.jpg")# 均值滤波(方框滤波)
mean_blur = cv2.blur(img, (7, 7)) # 或 cv2.boxFilter# 高斯滤波
gaussian_blur = cv2.GaussianBlur(img, (7, 7), sigmaX=1.5)# 显示对比
cv2.imshow("Original", img)
cv2.imshow("Mean Blur (7x7)", mean_blur)
cv2.imshow("Gaussian Blur (7x7, sigma=1.5)", gaussian_blur)cv2.waitKey(0)
cv2.destroyAllWindows()
优点
- 降噪效果好:比均值滤波更能消除噪声。
- 边缘保留能力强:权值递减,不破坏结构。
- 效果自然,不产生块状感。
- 可分离卷积,运算效率高。
- 数学性质好,符合物理模型(光学模糊)。
总结
- 高斯滤波使用二维高斯函数生成权重核,对图像进行加权平均。
- 权重随距离衰减,使模糊更自然。
- 核大小必须为奇数。
- σ 控制模糊程度。
- 内部使用可分离卷积提高效率。
- 应用非常广泛:降噪、边缘检测、图像金字塔等。
