Leetcode 54
1 题目
700. 二叉搜索树中的搜索
给定二叉搜索树(BST)的根节点 root 和一个整数值 val。
你需要在 BST 中找到节点值等于 val 的节点。 返回以该节点为根的子树。 如果节点不存在,则返回 null 。
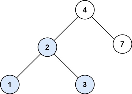
示例 1:

输入:root = [4,2,7,1,3], val = 2 输出:[2,1,3]
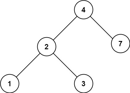
示例 2:

输入:root = [4,2,7,1,3], val = 5 输出:[]
提示:
- 树中节点数在
[1, 5000]范围内 1 <= Node.val <= 107root是二叉搜索树1 <= val <= 107
2 代码实现
如果是一般的二叉树,寻找特定 val 的节点不是很难
/*** Definition for a binary tree node.* struct TreeNode {* int val;* TreeNode *left;* TreeNode *right;* TreeNode() : val(0), left(nullptr), right(nullptr) {}* TreeNode(int x) : val(x), left(nullptr), right(nullptr) {}* TreeNode(int x, TreeNode *left, TreeNode *right) : val(x), left(left), right(right) {}* };*/
class Solution {
public:TreeNode* searchBST(TreeNode* root, int val) {if (root == nullptr){return nullptr;}if(root -> val == val){return root;}TreeNode* left = searchBST(root -> left ,val);TreeNode* right = searchBST(root -> right ,val);return left == nullptr ? right : left ;}
};
结合BST的特性优化代码
/*** Definition for a binary tree node.* struct TreeNode {* int val;* TreeNode *left;* TreeNode *right;* TreeNode() : val(0), left(nullptr), right(nullptr) {}* TreeNode(int x) : val(x), left(nullptr), right(nullptr) {}* TreeNode(int x, TreeNode *left, TreeNode *right) : val(x), left(left), right(right) {}* };*/
class Solution {
public:TreeNode* searchBST(TreeNode* root, int val) {if (root == nullptr){return nullptr;}if(root -> val == val){return root;}if(root -> val > val){return searchBST(root -> left ,val);}else{return searchBST(root -> right ,val);}}
};
一开始写犯了错误,并且要结合BST特性实现剪枝
/*** Definition for a binary tree node.* struct TreeNode {* int val;* TreeNode *left;* TreeNode *right;* TreeNode() : val(0), left(nullptr), right(nullptr) {}* TreeNode(int x) : val(x), left(nullptr), right(nullptr) {}* TreeNode(int x, TreeNode *left, TreeNode *right) : val(x), left(left), right(right) {}* };*/
class Solution {
public:TreeNode* searchBST(TreeNode* root, int val) {if (root == nullptr){return nullptr;}if(root -> val){return root;}TreeNode* left = searchBST(root -> left ,val);TreeNode* right = searchBST(root -> right ,val);return left == nullptr ? right : left ;}
};
你的代码存在逻辑错误,主要问题在于判断条件和搜索逻辑上,具体分析如下:
错误原因
-
判断条件错误代码中
if(root -> val)这一行的逻辑有问题。这个条件实际判断的是root->val是否为非 0 值(在 C++ 中,非 0 值会被视为true),而不是判断当前节点的值是否等于目标值val。正确的判断应该是if(root->val == val),只有当当前节点的值等于目标值时,才返回该节点。 -
搜索逻辑不符合 BST 特性二叉搜索树(BST)的特性是:对于任意节点,其左子树的所有节点值都小于该节点值,右子树的所有节点值都大于该节点值。你的代码采用了类似普通二叉树的全遍历(同时搜索左右子树),没有利用 BST 的特性进行剪枝,虽然在功能上可能 “碰巧” 找到节点,但效率低下且不符合 BST 的搜索逻辑。正确的做法是:
- 若当前节点值等于
val,返回当前节点; - 若当前节点值大于
val,则只需搜索左子树; - 若当前节点值小于
val,则只需搜索右子树。
- 若当前节点值等于
修正后的代码
/*** Definition for a binary tree node.* struct TreeNode {* int val;* TreeNode *left;* TreeNode *right;* TreeNode() : val(0), left(nullptr), right(nullptr) {}* TreeNode(int x) : val(x), left(nullptr), right(nullptr) {}* TreeNode(int x, TreeNode *left, TreeNode *right) : val(x), left(left), right(right) {}* };*/
class Solution {
public:TreeNode* searchBST(TreeNode* root, int val) {if (root == nullptr) {return nullptr; // 空节点,返回null}if (root->val == val) {return root; // 找到目标节点,返回} else if (root->val > val) {return searchBST(root->left, val); // 目标值更小,搜索左子树} else {return searchBST(root->right, val); // 目标值更大,搜索右子树}}
};
总结
你的代码主要错误是判断条件写错(漏了== val),且没有利用 BST 的特性优化搜索。修正后,代码会根据 BST 的性质高效地找到目标节点,时间复杂度为 O (h)(h 为树的高度)。
3 题目
450. 删除二叉搜索树中的节点
给定一个二叉搜索树的根节点 root 和一个值 key,删除二叉搜索树中的 key 对应的节点,并保证二叉搜索树的性质不变。返回二叉搜索树(有可能被更新)的根节点的引用。
一般来说,删除节点可分为两个步骤:
- 首先找到需要删除的节点;
- 如果找到了,删除它。
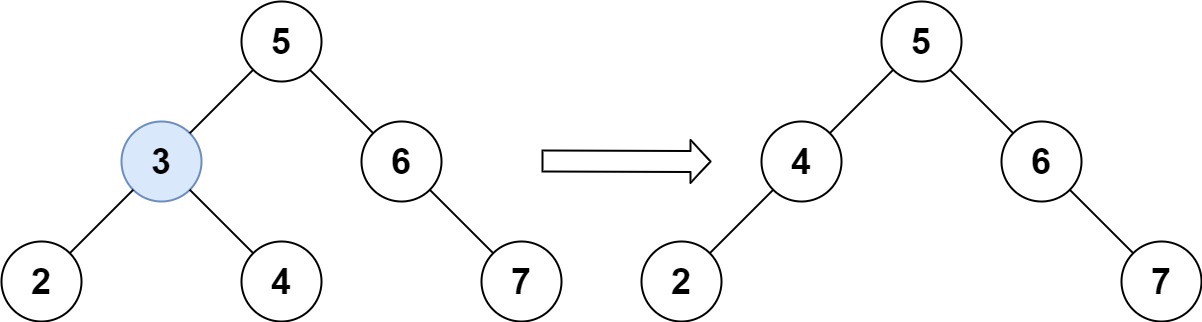
示例 1:

输入:root = [5,3,6,2,4,null,7], key = 3 输出:[5,4,6,2,null,null,7] 解释:给定需要删除的节点值是 3,所以我们首先找到 3 这个节点,然后删除它。 一个正确的答案是 [5,4,6,2,null,null,7], 如下图所示。 另一个正确答案是 [5,2,6,null,4,null,7]。

示例 2:
输入: root = [5,3,6,2,4,null,7], key = 0 输出: [5,3,6,2,4,null,7] 解释: 二叉树不包含值为 0 的节点
示例 3:
输入: root = [], key = 0 输出: []
提示:
- 节点数的范围
[0, 104]. -105 <= Node.val <= 105- 节点值唯一
root是合法的二叉搜索树-105 <= key <= 105
进阶: 要求算法时间复杂度为 O(h),h 为树的高度。
4 代码实现
这道题思路很明确,先找后删。
找的过程之间根据上面的题目能学会了,但是怎么删呢?看下面的笔记讲解的很清楚。
二叉搜索树心法(基操篇) | labuladong 的算法笔记
/*** Definition for a binary tree node.* struct TreeNode {* int val;* TreeNode *left;* TreeNode *right;* TreeNode() : val(0), left(nullptr), right(nullptr) {}* TreeNode(int x) : val(x), left(nullptr), right(nullptr) {}* TreeNode(int x, TreeNode *left, TreeNode *right) : val(x), left(left), right(right) {}* };*/
class Solution {
private:TreeNode* getMin(TreeNode* node){while (node -> left != nullptr){node = node -> left ;}return node;}TreeNode* deleteHelper(TreeNode* node , int key){if (node == nullptr) return nullptr;if (node -> val > key){node -> left = deleteHelper( node -> left , key);}else if (node -> val < key){node -> right = deleteHelper (node -> right ,key);}else {if (node -> left == nullptr && node -> right == nullptr){return nullptr;}else if (node -> left == nullptr){return node -> right ;}else if (node -> right == nullptr){return node -> left ;}else{TreeNode* minNode = getMin(node -> right );node -> val = minNode -> val;node -> right = deleteHelper(node -> right ,minNode -> val);}}return node ;}
public:TreeNode* deleteNode(TreeNode* root, int key) {return deleteHelper(root ,key);}
};
删除二叉搜索树(BST)中的节点是一个经典问题,核心在于删除节点后仍需保持 BST 的特性(即对于任意节点,左子树所有节点值 < 该节点值 < 右子树所有节点值)。删除操作需根据节点的子树情况分情况处理,具体步骤如下:
一、删除节点的三种情况
假设要删除的节点为 node,根据其左、右子树是否为空,分为三种情况:
1. 节点为「叶子节点」(左、右子树均为空)
- 处理方式:直接删除该节点,无需额外操作。
- 原因:删除叶子节点不会影响其他节点的父子关系,BST 特性自然保持。
2. 节点「只有一棵子树」(左空右非空 或 右空左非空)
- 处理方式:用子树替代被删除节点的位置。
- 若左子树为空,用右子树替代
node; - 若右子树为空,用左子树替代
node。
- 若左子树为空,用右子树替代
- 原因:子树的所有节点值均满足与
node的父节点的大小关系(BST 特性保证),直接替代即可维持特性。
3. 节点「有两棵子树」(左、右子树均非空)
- 核心问题:删除节点后,需要找一个「替代节点」填补其位置,且保证替代节点的值满足 BST 特性。
- 替代节点的选择:
- 左子树的最大值(左子树中最右侧的节点):该值是左子树中最大的,且小于
node的右子树所有节点值; - 右子树的最小值(右子树中最左侧的节点):该值是右子树中最小的,且大于
node的左子树所有节点值。
- 左子树的最大值(左子树中最右侧的节点):该值是左子树中最大的,且小于
- 处理步骤:
- 找到替代节点(如右子树的最小值
successor); - 用
successor的值覆盖node的值; - 删除
successor节点(此时successor最多只有一棵子树,按情况 1 或 2 处理)。
- 找到替代节点(如右子树的最小值
二、具体实现步骤(递归版)
-
定位目标节点:根据 BST 特性,递归查找值为
val的节点:- 若当前节点值 >
val,递归搜索左子树; - 若当前节点值 <
val,递归搜索右子树; - 若找到节点(值相等),执行删除逻辑。
- 若当前节点值 >
-
执行删除逻辑:按上述三种情况处理:
- 叶子节点:返回
nullptr(父节点会忽略该节点); - 单棵子树:返回非空子树;
- 两棵子树:找替代节点,覆盖值后删除替代节点。
- 叶子节点:返回
三、代码示例
/*** Definition for a binary tree node.* struct TreeNode {* int val;* TreeNode *left;* TreeNode *right;* TreeNode() : val(0), left(nullptr), right(nullptr) {}* TreeNode(int x) : val(x), left(nullptr), right(nullptr) {}* TreeNode(int x, TreeNode *left, TreeNode *right) : val(x), left(left), right(right) {}* };*/
class Solution {
public:TreeNode* deleteNode(TreeNode* root, int val) {if (root == nullptr) return nullptr; // 空树,直接返回// 1. 定位目标节点if (root->val > val) {// 目标在左子树,递归删除后更新左子树root->left = deleteNode(root->left, val);} else if (root->val < val) {// 目标在右子树,递归删除后更新右子树root->right = deleteNode(root->right, val);} else {// 2. 找到目标节点,执行删除逻辑if (root->left == nullptr) {// 左子树为空,用右子树替代return root->right;} else if (root->right == nullptr) {// 右子树为空,用左子树替代return root->left;} else {// 3. 左右子树均非空:找右子树的最小值(后继节点)TreeNode* successor = root->right;while (successor->left != nullptr) {successor = successor->left; // 最左侧节点即最小值}// 用后继节点的值覆盖当前节点root->val = successor->val;// 删除后继节点(后继节点最多只有右子树)root->right = deleteNode(root->right, successor->val);}}return root;}
};
四、关键说明
- 时间复杂度:O (h),h 为树的高度(平衡 BST 为 O (log n),极端不平衡为 O (n))。
- 替代节点的选择:示例中用了右子树的最小值(后继),也可用左子树的最大值(前驱),逻辑类似(找左子树最右侧节点)。
- 递归的作用:递归自动处理了父节点与子树的连接关系,无需手动调整指针(删除后返回新的子树根节点,父节点直接接收)。
通过以上步骤,即可在删除节点后保持 BST 的特性。
写到一半崩溃了,不会写了,有点复杂呢
/*** Definition for a binary tree node.* struct TreeNode {* int val;* TreeNode *left;* TreeNode *right;* TreeNode() : val(0), left(nullptr), right(nullptr) {}* TreeNode(int x) : val(x), left(nullptr), right(nullptr) {}* TreeNode(int x, TreeNode *left, TreeNode *right) : val(x), left(left), right(right) {}* };*/
class Solution {
private:void findKey (TreeNode* root , int key){if (root == nullptr){return;}if (root -> val == key){deleteNode(root);}else if (root ->val > key){findKey(root -> left , key);}else(findKey(root -> right , key);)}TreeNode* deleteNode(TreeNode* node , int key){if (node == nullptr) return nullptr;if (node -> left == nullptr && node -> right == nullptr){return nullptr;}else if (node -> left == nullptr) return node -> right;else if (node -> right == nullptr) return node -> left;else{TreeNode* minNode = getMin( node-> right );node -> val =minNode -> val ;return node;}}
public:TreeNode* deleteNode(TreeNode* root, int key) {}
};//好复杂,写不来
别着急!删除 BST 节点确实有点绕,主要是要处理不同情况的节点,还要保持 BST 的特性。我们一步步来拆解,把你的代码改对,你会发现其实没那么难~
先分析你的代码问题
- 函数设计混乱:你定义了两个
deleteNode函数(重载),但逻辑没串起来,findKey找到节点后不知道怎么通知父节点更新指针。(啊没仔细看函数名...无语凝噎) - 删除逻辑不完整:当节点有两个子树时,只复制了最小值,却没删除那个最小值节点,导致树结构出错。
- 入口函数未实现:
public的deleteNode没写具体逻辑,无法启动整个流程。
简化思路:递归到底,让父节点 “接管”
核心思想:递归时,让当前节点的父节点直接接收删除后的子树,不用单独写findKey,直接在递归中定位并处理节点。
分 3 步走:
- 找目标节点(利用 BST 特性,左小右大)
- 找到后,按 3 种情况删除(叶子 / 单孩子 / 双孩子)
- 让父节点接收处理后的子树,自动完成指针更新
修正后的代码(带详细注释)
/*** Definition for a binary tree node.* struct TreeNode {* int val;* TreeNode *left;* TreeNode *right;* TreeNode() : val(0), left(nullptr), right(nullptr) {}* TreeNode(int x) : val(x), left(nullptr), right(nullptr) {}* TreeNode(int x, TreeNode *left, TreeNode *right) : val(x), left(left), right(right) {}* };*/
class Solution {
private:// 辅助函数:找右子树的最小值节点(最左侧节点)TreeNode* getMin(TreeNode* node) {while (node->left != nullptr) {node = node->left;}return node;}// 递归删除节点的核心函数TreeNode* deleteHelper(TreeNode* node, int key) {if (node == nullptr) {return nullptr; // 没找到目标节点,返回空}// 1. 先定位目标节点if (node->val > key) {// 目标在左子树,递归删除后,左孩子更新为删除后的结果node->left = deleteHelper(node->left, key);} else if (node->val < key) {// 目标在右子树,递归删除后,右孩子更新为删除后的结果node->right = deleteHelper(node->right, key);} else {// 2. 找到目标节点,执行删除逻辑// 情况1:叶子节点(左右都空)if (node->left == nullptr && node->right == nullptr) {return nullptr; // 父节点会把这里设为null}// 情况2:只有右孩子else if (node->left == nullptr) {return node->right; // 父节点直接连右孩子}// 情况3:只有左孩子else if (node->right == nullptr) {return node->left; // 父节点直接连左孩子}// 情况4:有两个孩子else {// 找右子树的最小值节点(替代节点)TreeNode* minNode = getMin(node->right);// 用替代节点的值覆盖当前节点node->val = minNode->val;// 删除那个替代节点(它一定是叶子或只有右孩子)node->right = deleteHelper(node->right, minNode->val);}}return node; // 返回处理后的节点给父节点}public:TreeNode* deleteNode(TreeNode* root, int key) {return deleteHelper(root, key); // 调用辅助函数启动删除}
};
为什么这样写?
- 递归自动处理父节点指针:比如删除左子树的节点后,
node->left = 处理结果直接让父节点的左指针指向新的子树,不用手动维护复杂的指针关系。 - 分情况处理清晰:把 4 种情况(没找到 / 叶子 / 单孩子 / 双孩子)拆解开,每种情况逻辑简单。
- 替代节点的处理:当有两个孩子时,找右子树最小值(或左子树最大值),复制值后再删除它,保证 BST 特性不变。
一句话总结
删除 BST 节点的关键是:找到节点后,根据子树情况用合适的节点 “填补空位”,再让递归自动帮你更新父节点的指针。多画几个例子(比如删叶子、删单孩子、删双孩子),走一遍流程就懂了~别怕,多练两次就熟练啦!
