人工智能之数学基础:连续型随机变量的期望
本文重点
上一节课程中,我们学习了离散型随机变量的期望,本文我们将学习连续型随机变量的期望。
连续型随机变量的期望
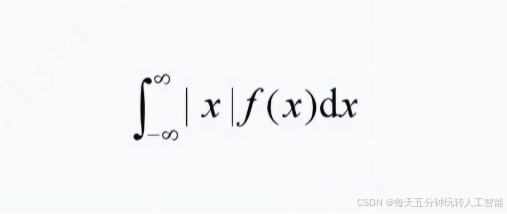
设X是连续型随机变量,概率密度为f(x),如果

有限 ,那么则称

为 X 的期望或均值,记成 E(X)。我们可以认为连续型随机变量的期望是一个绝对可积的积分值。
常见连续型随机变量的分布
均匀分布
若X ~ U[a, b],则

指数分布
若X 服从参数为 λ 的指数分布,则:
上一节课程中,我们学习了离散型随机变量的期望,本文我们将学习连续型随机变量的期望。
设X是连续型随机变量,概率密度为f(x),如果

有限 ,那么则称

为 X 的期望或均值,记成 E(X)。我们可以认为连续型随机变量的期望是一个绝对可积的积分值。
均匀分布
若X ~ U[a, b],则

指数分布
若X 服从参数为 λ 的指数分布,则: