破解EEG逆问题:ADMM-ESINet如何融合优化理论与深度学习实现实时源成像
论文信息
-
标题:ADMM-ESINet: A Deep Unrolling Network for EEG Extended Source Imaging
-
作者:Ke Liu, Hang Jiang, Hu Yang, Jun Zhang, Zhenghui Gu, Zhuliang Yu, Yu Zhang, Bin Xiao, Wei Wu
-
期刊:IEEE Journal of Biomedical and Health Informatics
-
卷期:Vol. 29, No. 10, October 2025
-
DOI:10.1109/JBHI.2025.3568648
-
开源代码:https://github.com/hangj-cache/ADMM-ESINet
论文主要贡献
-
提出ADMM-ESINet:一种基于算法展开的深度神经网络,将ADMM迭代过程转化为网络层,融合了先验知识,提高了泛化能力和可解释性。
-
实时性能提升:相比传统模型驱动方法,ADMM-ESINet能在毫秒级内完成源重建,适用于实时应用。
-
参数效率高:网络参数较少,比传统深度学习方法更轻量,且泛化能力更强。
-
自适应学习:正则化参数和空间变换算子直接从训练数据中学习,避免了手动调参的困难。
背景解释:EEG源成像的挑战
EEG源成像(ESI)旨在从头皮EEG信号中逆向估计大脑皮层源的活动,这是一个高度病态的逆问题(电极数远少于源数)。传统方法分为:
-
模型驱动方法:如wMNE和LORETA,使用数学约束(如L2范数),但重建结果扩散且依赖手动调参。
-
数据驱动方法:基于深度学习,实时性好但泛化能力差。
ADMM-ESINet通过算法展开技术结合两者优点。
方法详解:深入数学公式与网络架构
本节将详细讲解ADMM-ESINet的数学基础和网络设计,重点解释公式推导和关键步骤。
1. 问题建模与数学基础
EEG源成像的线性模型为:
其中:
-
:EEG信号(
个电极,
个时间点)。
-
:源信号(
个源,通常
≫
)。
-
:导联场矩阵,通过边界元法(BEM)计算。
-
:测量噪声。
由于病态性,需引入正则化框架估计源:
这里,h(S)是正则化项,代表先验约束。ADMM-ESINet使用结构化稀疏约束:
-
:
范数,促进行稀疏(即源在时间维度上稀疏,但空间上连续)。
-
:空间变换算子(如拉普拉斯算子),可从数据学习。
-
:正则化参数,通过训练自适应调整。
为降低计算复杂度,论文使用时间基函数(TBFs)进行降维。对EEG信号进行奇异值分解(SVD),提取K个TBFs(
),投影后模型简化为:
其中。最终源通过逆映射
恢复。
2. ADMM算法推导
ADMM-ESINet的核心是将优化问题转化为ADMM迭代。引入辅助变量Z,将问题重写为约束形式:
增广拉格朗日函数为:

其中M是拉格朗日乘子,ρ>0是惩罚参数。ADMM迭代步骤如下:

其中是更新率。每个子问题可解析求解或近似。
3. 网络层展开详解
通过算法展开,将ADMM迭代映射为神经网络层。ADMM-ESINet由多个块组成(默认6个),每个块对应一次迭代,包含三层:

-
重构层(S(n)):
求解S(n)子问题,闭式解为:

实践中,ρ作为可学习参数,第一层初始化时Z(0)和M(0)不存在,故:

该层通过矩阵求逆(使用预计算或迭代方法)实现,融合了数据拟合项和约束项。
-
乘子更新层(M(n)):
直接对应ADMM的乘子更新,但引入可学习参数增强灵活性:

其中
,
,
通过训练优化,替代固定值
。
-
辅助变量层(Z(n)):
Z(n)子问题非光滑,通过梯度下降近似。定义梯度步:

其中r是步长,H(⋅)是非线性激活函数,对应
范数的次梯度。重写为:

这里
,
,
,
。该层通过卷积模块实现:

-
卷积模块C1和C2:使用卷积核(大小16×1)处理输入,后接激活函数和反卷积。

-
激活层H:实现稀疏约束,公式为:

其中(⋅)+=max(⋅,0),促进行稀疏。
-
加法和减法层:组合各分量,最终输出Z(n)=Z(n,Nt)。
损失函数采用均方误差(MSE):

训练使用Adam优化器,学习率衰减策略。
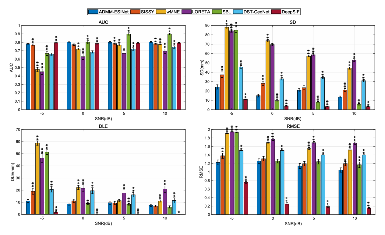
实验设计与结果分析
数值模拟的全面性设计
论文设计了三个层次的验证场景,全面评估方法性能:
单源场景下的系统性测试:
-
信噪比变化:-5dB到10dB,覆盖实际EEG记录的典型噪声范围
-
源尺寸变化:5cm²到32cm²,涵盖典型脑功能活动的空间尺度
-
每种条件100次蒙特卡洛模拟,确保统计显著性
多源场景的挑战性测试:
-
同侧半球双源:测试空间分辨能力
-
对侧半球双源:测试全局定位能力
-
不同源尺寸组合:验证方法的适应性
性能评估指标的科学性
四个指标从不同角度评估性能:
-
AUC(曲线下面积):综合评价检测灵敏度与特异性
-
空间分散(SD):量化源估计的空间集中程度

其中di为估计源到真实源的距离,
为源强度
-
定位误差(DLE):评估中心位置的准确性
-
相对均方误差(RMSE):衡量时间过程重建质量
实验结果深度分析
噪声鲁棒性表现:
如图4所示,ADMM-ESINet在低信噪比(-5dB)下仍保持较高性能,AUC值显著高于对比方法(p<0.01)。这种鲁棒性源于结构化稀疏约束对噪声的自然抑制。

源尺寸适应性分析:
当源尺寸从5cm²增大到32cm²时,ADMM-ESINet的AUC从0.85提升到0.94,表明方法能够有效捕捉不同空间范围的神经活动。相比之下,SBL方法因稀疏假设限制,在大源尺寸下性能下降。
多源分辨能力:
在图8展示的双源场景中,ADMM-ESINet成功分离了两个空间接近的源,而传统方法如wMNE和LORETA出现严重的源混淆现象。

真实数据验证的临床意义
癫痫灶定位精度:
在癫痫患者数据中,ADMM-ESINet准确识别了致痫灶的位置和范围(图9),与手术切除区域高度一致。这一结果具有重要临床价值,因为精确的灶区定位直接影响手术成功率。

感觉运动皮层的激活映射:
在Yokogawa数据集中,方法成功定位了median神经刺激激活的初级感觉皮层,显示了在正常脑功能研究中的应用潜力。
方法优势的定量比较
计算效率对比
如表II所示,ADMM-ESINet的单试次处理时间为67.6ms,满足实时性要求(通常<100ms)。相比之下,传统迭代方法如SISSY需要1733.2ms,无法满足实时应用需求。
参数效率分析
ADMM-ESINet仅需17934个参数,远少于DeepSIF的2360万参数。这种参数效率不仅减少计算资源需求,还降低了过拟合风险,提高了泛化能力。
泛化能力验证
在从模拟数据到真实数据的迁移测试中,ADMM-ESINet保持了稳定性能,而纯数据驱动方法(如DST-CedNet)出现显著性能下降。这证明了结合模型先验的有效性。
技术局限与未来方向
当前局限性的深入分析
-
信号模型简化:使用的阻尼高斯波不能完全模拟真实神经活动的复杂性
-
头模型误差:依赖BEM计算的导联场矩阵,未考虑个体解剖差异
-
动态适应性:网络参数在训练后固定,无法适应脑状态的时间变化
有前景的扩展方向
-
非线性扩展:引入非凸正则化项(如Lp范数,0<p<1)进一步提升分辨率
-
动态网络:开发参数可随时间调整的动态网络结构
-
多模态融合:结合fMRI等数据改进先验约束
-
在线学习:实现基于实时数据的参数自适应调整
结论与影响展望
ADMM-ESINet代表了ESI领域的重要技术进步,通过巧妙结合优化理论与深度学习,解决了该领域的核心挑战。方法在保持物理可解释性的同时,实现了计算效率的显著提升。
未来,这一技术框架可扩展到其他生物电磁逆问题(如MEG源成像),并为实时脑机接口、神经反馈治疗等应用提供技术支持。开源代码的发布将促进领域的进一步发展和应用。
该方法的核心思想——通过算法展开融合模型驱动与数据驱动方法——也为其他逆问题的解决提供了有益借鉴。
