【C++:AVL树】深入理解AVL树的平衡之道:从原理、旋转到完整实现代码

🔥艾莉丝努力练剑:个人主页
❄专栏传送门:《C语言》、《数据结构与算法》、C/C++干货分享&学习过程记录、Linux操作系统编程详解、笔试/面试常见算法:从基础到进阶、测试开发要点全知道
⭐️为天地立心,为生民立命,为往圣继绝学,为万世开太平
🎬艾莉丝的简介:

🎬艾莉丝的C++专栏简介:
目录
C++的两个参考文档
1 ~> 初识AVL树
2 ~> AVL树要点解析
2.1 AVL树的平衡因子逻辑
2.2 AVL树的插入
2.2.1 AVL树插入一个值的过程
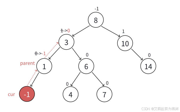
2.2.2 更新平衡因子
2.2.2.1 更新原则
2.2.2.2 更新停止条件
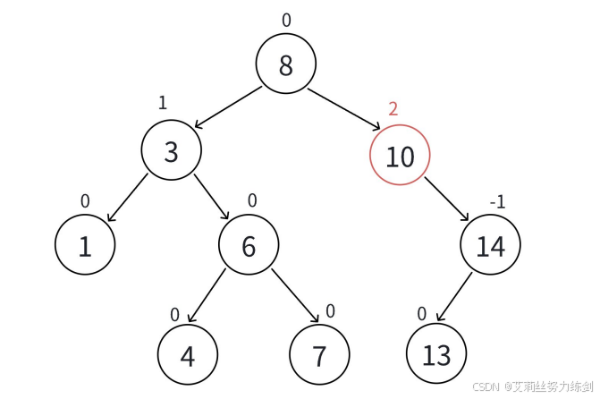
2.2.3 示例演示
3 ~> 探讨AVL树的旋转问题
3.1 右单旋转
3.1.1 情况1:插入前a / b / c高度h == 0
3.1.2 情况2:插入前a / b / c高度h == 1
3.1.3 情况3:插入前a / b / c高度h == 2
3.2 左单旋转
3.3 左右双旋
3.3.1 情况1:插入前a / b / c高度h == 0
3.3.2 情况2:插入前a / b / c高度h == 1
3.4 右左双旋
4 ~> AVL树的实现层
4.1 AVL树的结构
4.2 AVL树的插入
4.3 AVL树的旋转:实现
4.3.1 右单旋转
4.3.2 左单旋转
4.3.3 左右双旋
4.3.4 右左双旋
4.4 AVL树的删除
5 ~> 完整代码示例与实践演示(测试)
AVLTree.h:
Test.cpp:
TestAVLTree1()函数测试
TestAVLTree2()函数测试
6 ~> 调试技巧
7 ~> 关于AVL树和红黑树这部分知识的学习的说明
结尾
C++的两个参考文档
老朋友(非官方文档):
