当前位置: 首页 > news >正文

第五章 二项式系数

帕斯卡三角形

在这里插入图片描述
在这里插入图片描述
还有一种用路径来解释帕斯卡三角形的方式,下面是说明还有证明:
在这里插入图片描述

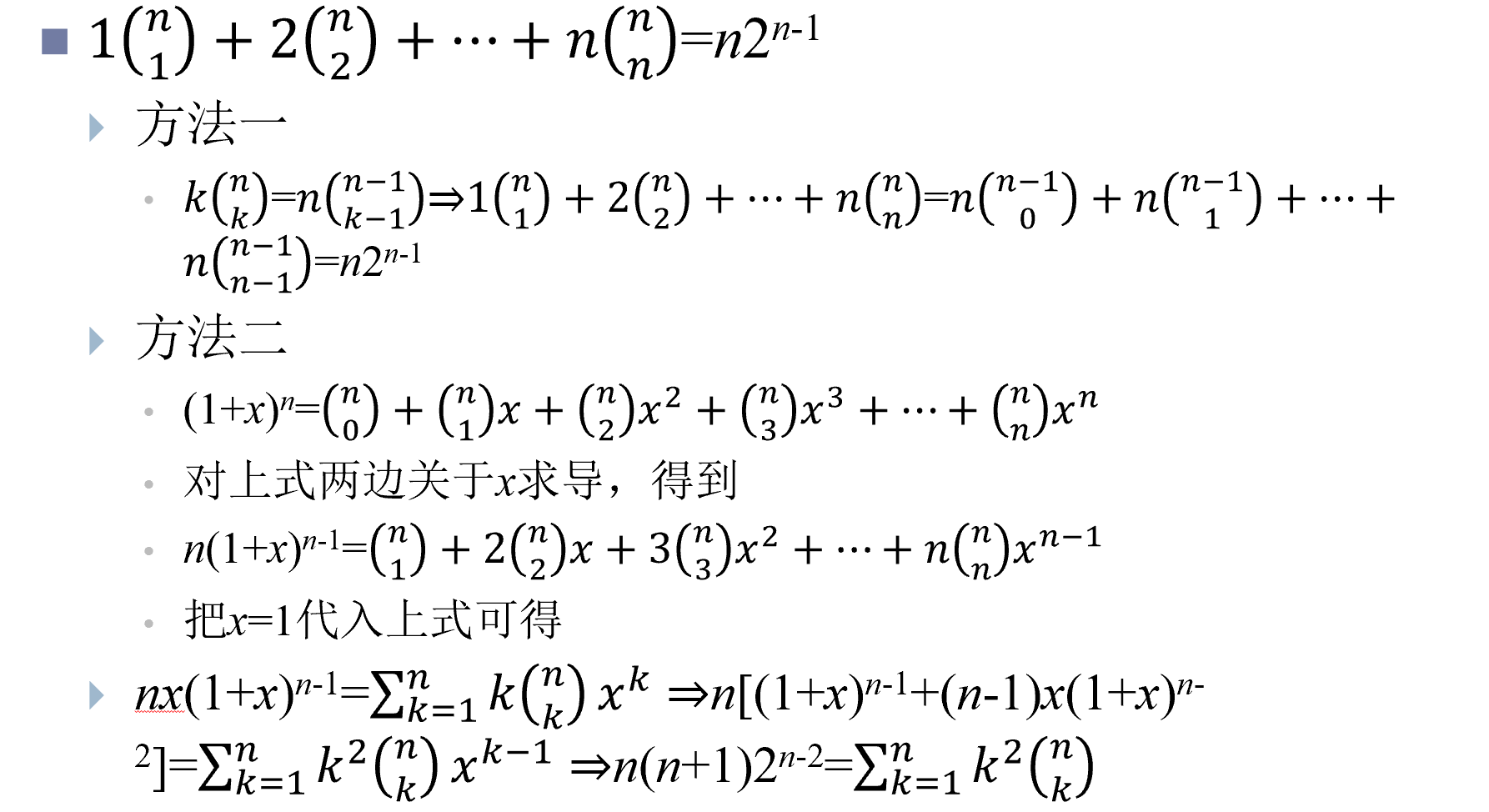
二项式定理

中学知识
在这里插入图片描述
两种证明方法,一种是组合法证明,一种是归纳法证明
在这里插入图片描述
这里点出了二项式与帕斯卡三角形的联系
在这里插入图片描述
这里关于取偶数取奇数的选择原理:对于在n个数中选最后一个数时,取法已经确定,因此时2**(n-1)而不是2**n
在这里插入图片描述
难点:范德蒙卷积公式
在这里插入图片描述
参考图
在这里插入图片描述
非整数的二项式定义
在这里插入图片描述

二项式系数的单峰性

在这里插入图片描述
链与反链
在这里插入图片描述
最大链
在这里插入图片描述
反链最多包含的集合
在这里插入图片描述
注意这里最后一步:
在这里插入图片描述
这里用到了二项式的单峰性

http://www.dtcms.com/a/561208.html

相关文章:

  • 制作网站语言网络营销方法有什么
  • 合肥网站建站推广从零开始做电影网站
  • 电商Web 渗透测试小小清单
  • 做信息流推广需要建立网站么最基本的网站设计
  • 基于双向时序卷积网络与门控循环单元(BiTCN-GRU)混合模型的时间序列预测MATLAB代码
  • DevOps(devops/k8s/docker/Linux)学习笔记-2
  • 三点水网站建设wordpress wp-polls
  • 用数据照亮成长之路:PandaCoder Git 统计工具窗口
  • FPGA的LVDS接口电压
  • 【每天一个AI小知识】:什么是Embedding?
  • 南昌网站排名优化免费提供空间的网站
  • 三种服务生命周期
  • Mybatis的添加和修改功能
  • Linux 安全文件传输完全指南:sftp 与 scp 的深度解析引言
  • Mysql基础3
  • 上海cms网站建设珠海网站建设 科速
  • 有没有可以做游戏的网站电商网课教材
  • 【自然语言处理】生成式语言模型GPT复现详细技术方案
  • Qt 打开文件列表选择文件,实现拖拽方式打开文件,拖拽加载
  • 网站搭建徐州百度网络搭建专做婚礼logo的网站
  • macOS 上获取调试版
  • 奉加微PHY6230软件三:自定义MAC和ll_set_ble_mac_addr不能屏蔽
  • 模型推理如何利用非前缀缓存
  • 网站建设方面的论文重庆网站制作工作室
  • 优化学校网站建设方案wordpress+免备案空间
  • Linux系统之----UDP、TCP详解
  • TcpConnection
  • 选对模型、搭好架构:企业如何构建高精准RAG知识库
  • 广东网站设计公司价格软件商城app下载
  • 建立网站买空间哪家好福州关键词快速排名