R包kuenm和ENMeval--你用对了吗?
057B自定义分类变量和连续变量的模型参数优化:
基于R包kuenm和R包ENMeval对MaxEnt模型参数优化和可视化制图教程【2027】
课程特点:
该套课程特点:(1)采用最新版本R包,Kuenm支持分类变量(植被类型、土地类型等)和连续变量混合使用,早期版本默认全部作为连续变量导致结果不准确;(2)新版ENMeval(版本 v2.0.4)支持分类变量(植被类型、土地类型等)和连续变量混合使用,增加数据导出和多指标自定义制图内容。
课程主要内容:
专题一 相关软件安装
- R软件和R包安装(安装报错说明)
2.环境变量配置
专题二 基于Kuenm优化MaxEnt模型参数(自定义分类变量)
1.数据格式要求说明
2.Kuenm连续变量优化MaxEnt参数 - Kuenm分类变量+连续变量优化MaxEnt参数
4.基于多组环境数据筛选优化最优参数
5.结果解读
6.写作方法说明(带文字参考文档)
专题四 基于ENMeval优化MaxEnt模型参数(自定义分类变量) - 数据格式要求说明
- ENMeval连续变量优化MaxEnt参数
- ENMeval分类变量+连续变量优化MaxEnt参数(自定义FC组合)
- 结果指标导出Excel数据
- 结果解读
- 基于R对结果指标自定义可视化制图
- 写作方法说明(带文字参考文档)
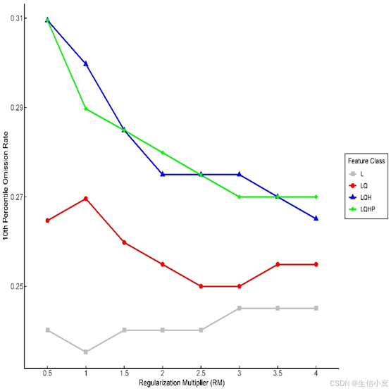
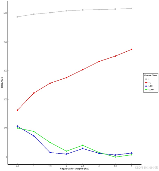
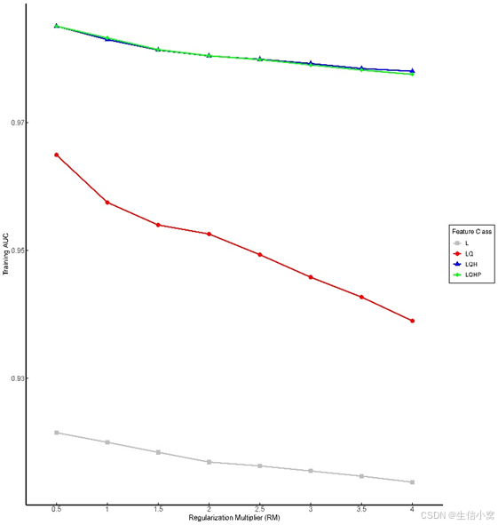
部分结果展示(仅展示部分草图):
ENMeval结果展示:





Kuenm结果展示:



