深度学习(9)导数与计算图
一、导数(Derivative)
1. 导数的定义与直观理解
导数(Derivative)描述的是一个函数在某一点处的“变化率”。换句话说,它告诉我们:
当输入(x)发生一个非常小的变化时,输出(y)会随之变化多少。
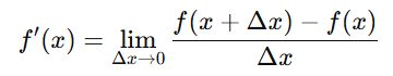
数学定义为:

例如:
![]()
这表示:在点 x=3x=3x=3 时,斜率是 6,即输入每增加 1,输出大约增加 6。
2. 导数的几何意义
在图像上,导数代表函数曲线在某一点的切线斜率(slope of tangent line)。
当导数为正,函数上升;
当导数为负,函数下降;
当导数为 0,函数在该点处平缓(可能是极值点)。
3. 导数在代码中的使用
在深度学习框架(如 TensorFlow 或 PyTorch)中,导数的计算被封装成“自动微分”(Automatic Differentiation)功能。
例如在 PyTorch 中:
import torch# 定义变量
x = torch.tensor(3.0, requires_grad=True)
y = x ** 2 + 2 * x + 1# 自动求导
y.backward()
print(x.grad) # 输出导数 dy/dx = 2x + 2 = 8
这段代码展示了如何让计算机“自动”计算导数,背后其实就是在构建计算图(Computation Graph),并通过反向传播进行梯度计算。
二、计算图(Computation Graph)
1. 基本概念
计算图是神经网络中表示计算流程的一种图结构。它将复杂的函数分解为一系列简单的节点操作(如加法、乘法、激活函数等)。
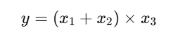
例如:

对应的计算图为:
x1 ─┐├─( + )──┐ x2 ─┘ │├─( × )──► y x3 ───────────┘
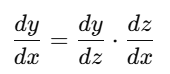
2. 从右向左的反向传播原理
在反向传播中,计算导数时要遵循链式法则(Chain Rule):

计算图会从输出节点(右边)开始,逐步往输入节点(左边)反传梯度,这就是“从右向左计算”的原因。
为什么这样做?因为输出的误差(Loss)依赖于所有中间节点的结果,而每个中间节点的导数又取决于其“下游节点”的梯度。反向传播就是利用这种依赖关系,逐层传递误差信息。
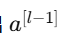
3. 计算图中梯度的依赖关系
在计算图中,我们常用 cadj 表示某节点的“梯度累积值”(gradient accumulation)。每个节点的梯度由下游节点传回并逐步累加:

也就是说,一个节点的梯度取决于它所影响的所有下游节点的梯度。
4. 为什么只需要计算 n + p 次导数?
假设:
计算图中有 n 个中间节点
有 p 个参数(parameters)
那么在一次反向传播中,我们可以同时得到所有参数的梯度。这得益于计算图的结构:每个节点的导数只需要计算一次,然后梯度信息被“复用”并向上游传播。所以,总共只需要 n+p 次计算,而不是 n×p 次。这正是反向传播(Backpropagation)高效的关键。
5. 计算图在神经网络中的应用
在神经网络中,整个模型的计算过程都可以看作一个巨大的计算图:
每一层的输出
都是由上一层的输出
经过线性变换 + 激活函数得到;计算图会自动记录这些运算关系;
在反向传播时,框架根据计算图自动计算每个参数(权重、偏置)的梯度。
例如 PyTorch 的示意:
import torch
x = torch.tensor([1.0, 2.0, 3.0], requires_grad=True)
y = x * 2
z = y.mean()
z.backward()
print(x.grad) # 输出 [0.6667, 0.6667, 0.6667]
这里 PyTorch 自动构建了如下计算图:
x → (×2) → y → (mean) → z
并自动执行了反向传播计算。
总结
| 概念 | 作用 |
|---|---|
| 导数(Derivative) | 衡量输出对输入的敏感程度(变化率) |
| 计算图(Computation Graph) | 表示函数的计算流程结构 |
| 反向传播(Backpropagation) | 从输出误差反向计算梯度 |
| 自动微分(Autograd) | 框架自动计算梯度的功能 |
| n + p 原理 | 每个节点和参数的梯度只需计算一次,提高效率 |
