当前位置: 首页 > news >正文

测试开发话题06---测试分类(1)

 🔥个人主页:寻星探路

🎬作者简介:Java研发方向学习者

📖个人专栏: 、《《测试开发漫谈》《JavaEE 初阶启程记》

⭐️人生格言:没有人生来就会编程,但我生来倔强!!!



目录

一、为什么要对软件测试进行分类

二、按照测试目标分类

1、界面测试

2、功能测试

3、性能测试

4、可靠性测试

5、安全性测试

6、易用性测试

三、按照执行方式分类

1、静态测试

2、动态测试

四、测试方法

1、白盒测试

1.1语句覆盖

1.2判定覆盖

1.3条件覆盖

1.4判定条件覆盖

1.5条件组合覆盖

1.6路径覆盖

2、黑盒测试

3、灰盒测试


一、为什么要对软件测试进行分类

        软件测试是软件生命周期中的一个重要环节,具有较高的复杂性,对于软件测试,可以从不同的角度加以分类,使开发者在软件开发过程中的不同层次、不同阶段对测试工作进行更好的执行和管理测试的分类方法。

二、按照测试目标分类

1、界面测试

        软件只是一种工具,软件与人的信息交流是通过界面来进行的,界面是软件与用户交流的最直接的一层,界面的设计决定了用户对我们设计的软件的第一印象;界面如同人的面孔,具有吸引用户的直接优势,设计合理的界面能给用户带来轻松愉悦的感受。

        如果不严格按照设计图来进行界面测试,结果可能就会出现小岳岳版本~

        界面测试(简称UI测试),指按照界面的需求(一般是UI设计稿)和界面的设计规则,对我们软件界面所展示的全部内容进行测试和检查,一般包括如下内容:

• 验证界面内容显示的完整性,一致性,准确性,友好性。比如界面内容对屏幕大小的自适应,换 行,内容是否全部清晰展示;

• 验证整个界面布局和排版是否合理,不同板块字体的设计,图片的展示是否符合需求;

• 对界面不同控件的测试,比如,对话框,文本框,滚动条,选项按钮等是否可以正常使用,有效和无效

• 无效的状态是否设计合理;

• 界面的布局和色调符合当下时事的发展。

找茬~请你根据给定的设计图找出实现的页面有哪些界面问题~

2、功能测试

        功能测试就是对产品的各功能进行验证,根据功能测试用例,逐项测试,检查产品是否达到用户要求的功能。

        根据产品特性、操作描述和用户方案,测试一个产品的特性和可操作行为以确定它们满足设计需求。 本地化软件的功能测试,用于验证应用程序或网站对目标用户能正确工作。使用适当的平台、浏览器和测试脚本,以保证目标用户的体验将足够好,就像应用程序是专门为该市场开发的⼀样。功能测试是为了确保程序以期望的方式运行而按功能要求对软件进行的测试,通过对一个系统的所有的特性和功能都进行测试确保符合需求和规范。

如何进行功能测试?

        设计功能测试用例,参考产品规格说明书进行用例的编写,具体的测试用例需要使用黑盒设计测试用例的方法,如等价类、边界值、判定表法、正交法、场景法、错误猜测法等。

3、性能测试

        我们在使用软件的时候有时会碰到软件网页打开时越来越慢,查询数据时很长时间才显示列表,软件运行越来越慢等问题,这些问题都是系统的性能问题引起的。

        要进行软件产品的性能问题,要对产品的性能需求进行分析,然后基于系统的性能需求和系统架构, 完成性能测试的设计和执行,最后要进行持续的性能调优。

4、可靠性测试

        可靠性(Availability)即可用性,是指系统正常运行的能力或者程度,一般用正常向用户提供软件服务的时间占总时间的百分比表示。

可靠性 = 正常运行时间 /(正常运行时间  + 非正常运行时间)*100%

隔壁村有个人叫老王

        让老王请吃饭,要求了十次,但是他只请了一次,那么我们说老王的可靠性是10%,那么我们称老王这人不可靠

        如果让老王请吃饭,要求了十次,每次他都请客了,可靠性是100%,那么老王是个可靠的人(纯纯大冤种~~)

        系统非正常运行的时间可能是由于硬件,软件,网络故障或任何其他因素(如断电)造成的,这些因素能让系统停止工作,或者连接中断不能被访问,或者性能急剧降低导致不能使用软件现有的服务等。

        可用性指标一般要求达到4个或5个“9”,即99.99%或者99.999%

        如果可用性达到99.99%,对于一个全年不间断(7*24的方式)运行的系统,意味着全年 (252600min)不能正常工作的时间只有52min,不到一个小时。

        如果可用性达到99.999%,意味着全年不能正常工作的时间只有5min

        不同的应用系统,可用性的要求是不一样的,非实时性的信息系统或一般网站要求都很低,99%和 99.5%就可以了,但是军事系统,要求则很高;

5、安全性测试

        安全性是指信息安全,是指计算机系统或网络保护用户数据隐私,完整,保护数据正常传输和抵御黑客,病毒攻击的能力。

安全性测试属于非功能性测试很重要的一个方面,系统常见的安全漏洞和威胁如下

• 输入域,如输入恶性或者带有病毒的脚本或长字符串;

• 代码中的安全性问题,如SQL/XML注入

• 不安全的数据存储或者传递

• 数据文件,邮件文件,系统配置文件等里面有危害系统的信息或者数据;

• 有问题的访问控制,权限分配等

• 假冒ID:身份欺骗

• 篡改,对数据的恶意修改,破坏数据的完整性

        安全性测试的方法有代码评审,渗透测试,安全运维等,常用的静态安全测试工具有,Coverity,IBM AppscanSource,HPFortify,常用的动态安全测试有OWASP的ZAP,HPWebInspect等。其中静态安全测试是常用的安全性测试的方法。

        安全如此重要,咱们的私人电脑需要安装杀毒软件吗.....(铁汁多少有点抬举自己了嗷~)

6、易用性测试

        许多产品都应用人体工程学的研究成果,是产品在使用起来更加灵活和,舒适。软件产品也始终关注用户体验,让用户获得舒适,易用的体验,针对软件这方面的测试称之为易用性测试。

        易用性在ISO25020标准中指容易发现,容易学习和容易使用活性,舒适性,正确性和实用性。我们主要讨论以下几个方面:

1)标准性和规范性

        对于现有的软件运行平台,通常其UI标准已经不知不觉地被确立了,成为大家的共识。多数用户已经习惯并且接受了这些标准和规范,或者说已经认同了这些信息所代表的的含义。比如安装软件的界面的外观,在什么场合使用恰当的对话框等。

        所以用户界面上的各中信息应该符合规范和习惯,否则用户使用起来会不舒适,并得不到用户的认可。

        测试人员需要把与标准规范,习惯不一致的问题报告为缺陷

2)直观性

        用户界面的直观性,要求软件功能特性易懂,清晰。用户界面布局合理,对操作的响应在用户的预期之中。比如数据统计结果用报表的形式(条形图,扇形图等)展示清晰直观;现在主流的很多搜索引擎和日历的设计也有直观性的特点;

3)灵活性

        软件可以有不同的选项以满足不同使用习惯的用户来完成相同的功能。但是灵活性的设计要把握好度, 不然可能由于太多的用户状态和方式的选择,增加了软件设计的复杂性,和程序实现的难度。例如手机键盘有九宫格和全键盘,还支持手写,满足了不同用户的需求

4)舒适性

        舒适性主要强调界面友好,美观,操作过程顺畅,色彩用运恰当,按钮的立体感等。

三、按照执行方式分类

1、静态测试

        所谓静态测试(statictesting)就是不实际运行被测软件,而只是静态地检查程序代码、界面或文档中可能存在的错误的过程。

        不以测试数据的执行而是对测试对象的分析过程,仅通过分析或检查源程序的设计、内部结构、逻辑、代码风格和规格等来检查程序的正确性。

        常见的静态测试方式有代码走查,代码扫描工具等。

2、动态测试

        动态测试(dynamictesting),指的是实际运行被测程序,输入相应的测试数据,检查实际输出结果和预期结果是否相符的过程,所以判断一个测试属于动态测试还是静态的,唯一的标准就是看是否运行程序。

       大多数软件测试工作都属于动态测试

四、测试方法

1、白盒测试

        白盒测试又称为结构测试或逻辑测试,它一般用来分析程序的内部结构,针对程序的逻辑结构来设计测试用例进行测试。

        白盒测试的测试目的是,通过检查软件内部的逻辑结构,对软件中的逻辑路径进行覆盖测试;在程序同地方设立检查点,检查程序的状态,以确定实际运行状态与预期状态是否一致。

        白盒测试主要分为静态测试和动态测试两种。静态测试常见于桌面检查、代码审查、代码走查、代码扫描工具动态测试方法主要包含六种测试方法:语句覆盖、判定覆盖、条件覆盖、判定条件覆盖、条件组合覆 盖、路径覆盖。

        给出简单的案例,接下来了解一下白盒测试方法的概念和使用

1.1语句覆盖

每个语句至少执行一次。

针对AandB:A为T且B为T

针对C or D:C为T或者D为T

得出用例:

用例1:A为T,B为T,C为T,D为F

1.2判定覆盖

A and B要为T => A=TB=T ①

A and B要为F => A=TB=F或者A=FB=T或者A=FB=F②

C or D要为T => C=TD=T/F或者C=T/FD=T③

C or D要为F => C=FD=F ④

得出用例:

用例1:A=TB=T C=TD=F满足①③

用例2:A=TB=FC=FD=F满足 ②④

1.3条件覆盖

A:T F

B:T F

C:T F

D:T F

        ⑤⑥

得出用例:

        用例1:A=TB=T C=TD=T ⑤

        用例2:A=FB=F C=FD=F ⑥

1.4判定条件覆盖

结合判定覆盖和条件覆盖。

得出用例:

用例1:A=TB=T C=TD=T满足①③⑤

用例2:A=FB=F C=FD=F满足②④⑥

1.5条件组合覆盖

A B∣C D

T T∣T  T

T F∣T  F

F T∣F  T

F F∣F  F 每行就可以是一个用例,一共四个用例。

1.6路径覆盖

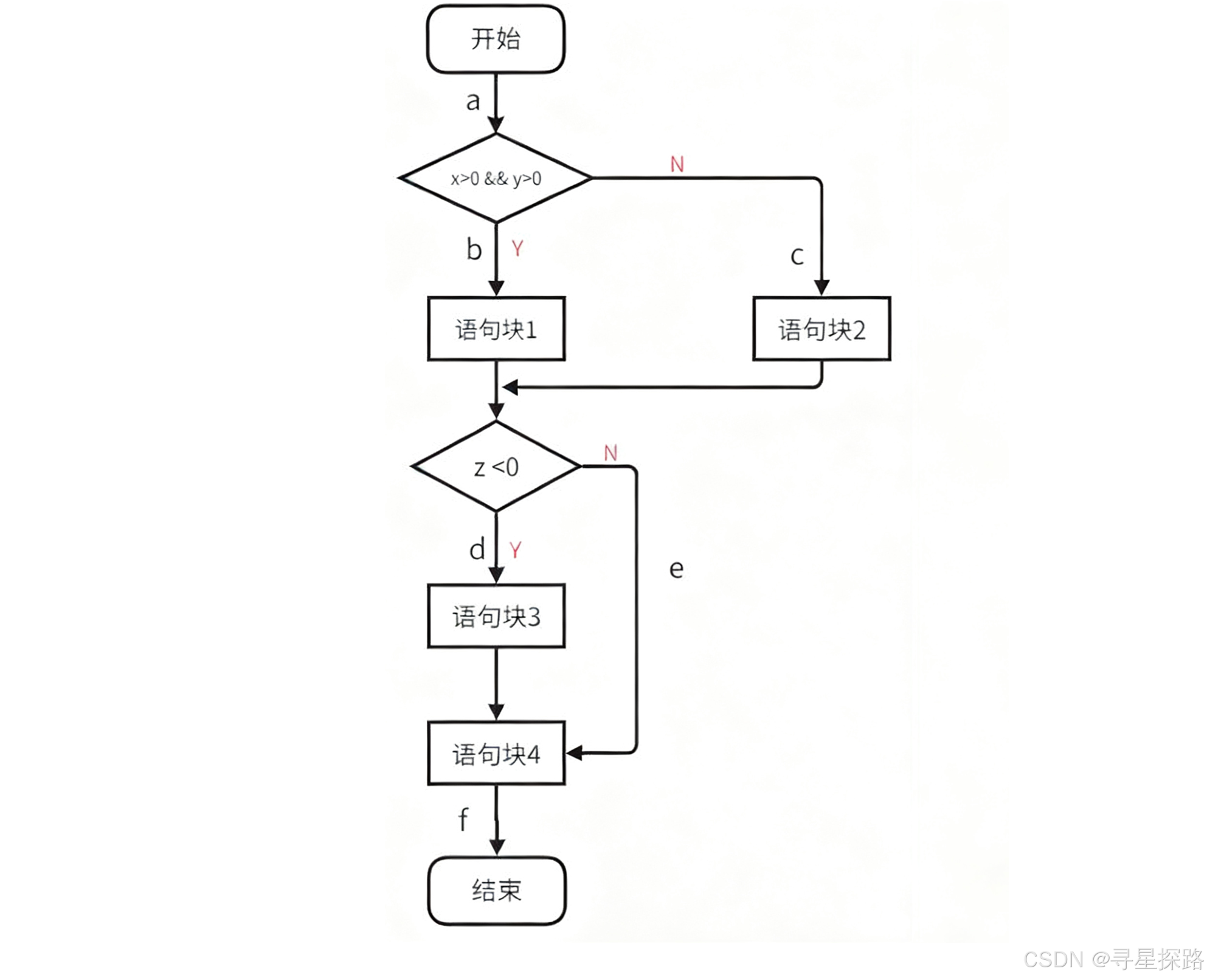
判定条件定义如下:

(1)if(x>0&&y>0)判定:记为P1

(2)if(z<0)判定:记为P2

(3)x>0:记为C1

(4)y>0:记为C2

(5)z<0:记为C3

测试用例设计:

总结:

• 白盒测试主要应用于单元测试阶段

• 先执行静态设计用例的方法,再执行动态设计测试用例的方法

• 设计用例一般使用路径测试,重点模块追加使用逻辑覆盖方法

2、黑盒测试

        黑盒测试就是在完全不考虑程序逻辑和内部结构的情况下,检查系统功能是否按照需求规格说明书的规定正常使用、是否能适当的接收输入数据而输出正确的结果,满足规范需求。

        所以,黑盒测试又称之为数据驱动测试,只注重软件的功能

黑盒测试的优点

        不需要了解程序内部的代码以及实现,不关注软件内部的实现。

        从用户⻆度出发设计测试用例,很容易的知道用户会用到哪些功能,会遇到哪些问题,锻炼测试人员的产品思维测试用例是基于软件需求开发文档,不容易遗漏软件需求文档中需要测试的功能。

        黑盒测试的缺点是不可能覆盖所有代码。

        黑盒测试用到的测试方法有,等价类,边界值,因果图,场景法,错误猜测法等

3、灰盒测试

        灰盒测试,是介于白盒测试与黑盒测试之间的一种测试,灰盒测试多用于集成测试阶段,不仅关注输出、输入的正确性,同时也关注程序内部的情况。

        但是,灰盒测试没有白盒测试详细和完整,黑盒测试是覆盖产品范围最广的测试,因此灰盒测试基本是不能够替代黑盒测试,否则需要很大的代价,设计非常多的用例。

常见面试题:你知道的测试方法有哪些?哪种用的比较多?

        常见的测试方法有黑盒测试,白盒测试和灰盒测试。开发人员主要用白盒测试和灰盒测试,测试人员主要用白盒测试和黑盒测试。对于测试人员来说,相较于白盒测试,黑盒测试用的更多一些。

http://www.dtcms.com/a/549008.html

相关文章:

  • 【Agentic RL专题】一、LLM agent 与 agentic RL
  • 使用Java做URL短连接还原长链接获取参数
  • 自己网站做电子签章有效么有哪些网站做汽车周边服务
  • 做网站去哪好在线表单 wordpress
  • 从信号零损耗到智能协同:高清混合矩阵全链路技术拆解,分布式可视化系统十大趋势重塑行业
  • 【超详细】MySQL事务面试题
  • Ubuntu(③vsftpd)
  • Ubuntu 25.10 发布,各种衍生版也发布
  • HUAWEI A800I A2 aarch64架构Ubuntu服务器鲲鹏920开启 IOMMU/SMMU 硬件虚拟化功能
  • GitHub 发布 Agent HQ:欢迎回家,智能体们
  • 使用 Python 将 PowerPoint 转换为 Word 文档
  • 怎么成立自己的网站公司网站建设案例
  • 做数码后期上数码网站企业推广文章
  • iOS 抓包工具实战 开发者的工具矩阵与真机排查流程
  • Spring Boot 整合第三方组件:Redis、MyBatis、Kafka 实战
  • 可视化图解算法66:两个数组的交集
  • 7 种方法:如何将视频从电脑传输到安卓手机
  • Qt GridLayout布局详解:从基础到高级技巧
  • BTreeMap 的 B-Tree 之心:性能与安全的 Rust 式演绎
  • 中国查公司的网站长沙 网站设计 公司
  • R 因子:深度解析其在统计学中的重要作用
  • Laravel 结合影刀 RPA 实现企业微信自动询单报价流程
  • Rust 入门之Rust 运算符全面解析:从基础到实战
  • Rust:借用 切片
  • 【Blender工具】
  • Spring Al学习6:嵌入模型 API
  • 坪山区住房和建设局网站wordpress能放视频
  • 网站承建商有哪些注册了一个域名怎么做网站
  • 我公司是帮企业做网站的_现在要帮客户们的网站备案微信公众营销平台开发
  • MPC模型预测控制:原理、设计与MATLAB实现