基于MATLAB的LBFGS优化算法实现
一、LBFGS算法原理与数学模型
LBFGS(Limited-memory Broyden-Fletcher-Goldfarb-Shanno)是一种改进的拟牛顿法,通过存储最近m步的梯度差和变量差来近似Hessian矩阵逆,显著降低内存需求。其核心步骤包括:
-
搜索方向计算:利用双循环递归算法生成下降方向 pk=−Bkgkpk=−Bkgkpk=−Bkgk
-
线搜索确定步长:采用强Wolfe条件确定最优步长 αkαkαk
-
变量更新:

-
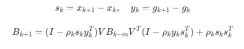
Hessian近似更新:通过递推公式更新 Bk+1
数学表达式:

其中
,V为投影矩阵
二、MATLAB实现步骤
1. 基础实现(使用内置函数)
% 定义目标函数及梯度
fun = @(x) (x(1)-1).^2 + (x(2)-2).^4; % 示例目标函数
grad = @(x) [2*(x(1)-1); 4*(x(2)-2).^3];% 设置优化选项
options = optimoptions('fminunc',...'Algorithm', 'quasi-newton',...'GradObj', 'on',...'Display', 'iter',...'MaxIter', 1000,...'TolFun', 1e-6);% 初始猜测
x0 = [0; 0];% 执行优化
[x_opt, fval, exitflag] = fminunc(fun, x0, options);
2. 自定义LBFGS实现(双循环递归)
function [x, f, g, out] = myLBFGS(fun, grad, x0, m, maxit, tol)% 初始化x = x0;[f, g] = fun(x);n = length(x);S = zeros(n,m); Y = zeros(n,m);rho = zeros(m,1);k = 0;% 主循环while norm(g) > tol && k < maxit% 计算搜索方向p = -getDirection(g, S, Y, rho);% 线搜索alpha = backtrackingLineSearch(fun, grad, x, p, g);% 更新变量x_new = x + alpha*p;[f_new, g_new] = fun(x_new);% 更新历史信息s = x_new - x;y = g_new - g;rho(end+1) = 1/(y'*s);S(:,end) = s;Y(:,end) = y;% 维护历史窗口if size(S,2) > mS(:,1) = [];Y(:,1) = [];rho(1) = [];endx = x_new;f = f_new;g = g_new;k = k+1;endout.iter = k;
endfunction p = getDirection(g, S, Y, rho)q = g;alpha = zeros(size(rho));for i = length(rho):-1:1alpha(i) = rho(i) * S(:,i)'*q;q = q - alpha(i)*Y(:,i);endr = (S(:,end)'*Y(:,end))/(Y(:,end)'*S(:,end)) * q;for i = 1:length(rho)beta = rho(i) * Y(:,i)'*r;r = r + S(:,i)*(alpha(i) - beta);endp = -r;
end
三、参数调优
| 参数 | 推荐范围 | 作用说明 |
|---|---|---|
m(内存步数) | 5-20 | 平衡计算效率与近似精度 |
TolFun | 1e-6~1e-8 | 函数值收敛阈值 |
MaxIter | 1000-10000 | 防止无限循环 |
LineSearch | Wolfe条件 | 确保充分下降和曲率条件 |
优化示例:
% 自适应内存步长选择
m = min(20, floor(0.1*size(x0,2))); % 高精度收敛设置
options = optimoptions('fminunc',...'Algorithm', 'lbfgs',...'SpecifyObjectiveGradient', true,...'HessianApproximation', 'lbfgs',...'OptimalityTolerance', 1e-8);
四、性能优化
-
预处理加速:
% 变量缩放 x_scaled = (x - mean(x))/std(x); -
并行计算:
% 使用parfor加速梯度计算 parfor i = 1:ngrad(i) = compute_gradient(x(i)); end -
GPU加速:
x_gpu = gpuArray(x); [x_opt, fval] = fminunc(@(x) gpuObjFun(x), x_gpu);
参考代码 基于matlab的LBFGS优化算法 www.youwenfan.com/contentcsk/64465.html
五、应用案例:图像去模糊
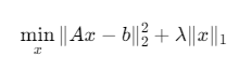
1. 问题建模

其中A为模糊算子,b为观测图像
2. MATLAB实现
% 加载模糊图像
load('blurred_image.mat');
b = double(blurred_img);
[m,n] = size(b);% 定义目标函数
fun = @(x) 0.5*norm(A*x - b)^2 + lambda*norm(x,1);
grad = @(x) A'*(A*x - b) + lambda*sign(x);% 初始猜测
x0 = zeros(m,n);% 执行LBFGS优化
options = optimoptions('fminunc',...'Algorithm', 'lbfgs',...'GradObj', 'on',...'MaxIter', 500);
[x_recon, fval] = fminunc(fun, x0, options);% 显示结果
figure;
subplot(1,2,1); imshow(uint8(b)); title('模糊图像');
subplot(1,2,2); imshow(uint8(x_recon)); title('重建图像');
