C++——二叉搜索树——数据结构进阶——附加超详细解析过程/代码实现
专栏链接:《C++学习》、《Linux学习》

文章目录
- 一、 二叉搜索树的介绍
- 二、二叉树实现过程
- ❀三、 二叉搜索树代码实现
- 1.1二叉树定义
- 2.insert插入
- 3.print打印
- 4.实例化
- 5.删除
- 四、key和 key/value关键字
一、 二叉搜索树的介绍
⼆叉搜索树⼜称⼆叉排序树,它或者是⼀棵空树,或者是具有以下性质的⼆叉树:
• 若它的左⼦树不为空,则左⼦树上所有结点的值都⼩于等于根结点的值
• 若它的右⼦树不为空,则右⼦树上所有结点的值都⼤于等于根结点的值
• 它的左右⼦树也分别为⼆叉搜索树
• ⼆叉搜索树中可以⽀持插⼊相等的值,也可以不⽀持插⼊相等的值,具体看使⽤场景定义,后续我
们学习map/set/multimap/multiset系列容器底层就是⼆叉搜索树,其中map/set不⽀持插⼊相等
值,multimap/multiset⽀持插⼊相等值

简化为 左<根 右>根
如果数值相等的情况下 默认生在右节点上
二叉搜索树的性能分析
最优情况下,⼆叉搜索树为完全⼆叉树(或者接近完全⼆叉树),其⾼度为:log2N
最差情况下,⼆叉搜索树退化为单⽀树(或者类似单⽀),其⾼度:N
所以综合⽽⾔⼆叉搜索树增删查改时间复杂度为:O(N)
那么这样的效率显然是⽆法满⾜我们需求的,我们后续课程需要继续讲解⼆叉搜索树的变形,平衡⼆叉搜索树AVL树和红⿊树,才能适⽤于我们在内存中存储和搜索数据。
二、二叉树实现过程
插⼊的具体过程如下:
-
树为空,则直接新增结点,赋值给root指针
-
树不空,按⼆叉搜索树性质,插⼊值⽐当前结点⼤往右⾛,插⼊值⽐当前结点⼩往左⾛,找到空位
置,插⼊新结点。 -
如果⽀持插⼊相等的值,插⼊值跟当前结点相等的值可以往右⾛,也可以往左⾛,找到空位置,插
⼊新结点。(要注意的是要保持逻辑⼀致性,插⼊相等的值不要⼀会往右⾛,⼀会往左⾛)



⼆叉搜索树的删除
⾸先查找元素是否在⼆叉搜索树中,如果不存在,则返回false。
如果查找元素存在则分以下四种情况分别处理:(假设要删除的结点为N)
-
要删除结点N左右孩⼦均为空
-
要删除的结点N左孩⼦位空,右孩⼦结点不为空
-
要删除的结点N右孩⼦位空,左孩⼦结点不为空
-
要删除的结点N左右孩⼦结点均不为空
对应以上四种情况的解决⽅案: -
把N结点的⽗亲对应孩⼦指针指向空,直接删除N结点(情况1可以当成2或者3处理,效果是⼀样
的) -
把N结点的⽗亲对应孩⼦指针指向N的右孩⼦,直接删除N结点
-
把N结点的⽗亲对应孩⼦指针指向N的左孩⼦,直接删除N结点
-
⽆法直接删除N结点,因为N的两个孩⼦⽆处安放,只能⽤替换法删除。找N左⼦树的值最⼤结点
R(最右结点)或者N右⼦树的值最⼩结点R(最左结点)替代N,因为这两个结点中任意⼀个,放到N的
位置,都满⾜⼆叉搜索树的规则。替代N的意思就是N和R的两个结点的值交换,转⽽变成删除R结
点,R结点符合情况2或情况3,可以直接删除。



❀三、 二叉搜索树代码实现
1.1二叉树定义
//-----------------------------------------------------------------------------------------
//1.1二叉树结构定义
/*typedef 不支持模板化 1.2
template<class T>
typedef struct tree
{second_tree* font;second_tree* end;T x;
}tr;
*/template<class T>
struct tree
{tree* _left;tree* _right;T _x;//*****************************//2.4.2 构造函数 C语言中的结构体不会生成默认构造tree(T val):_left(nullptr),_right(nullptr),_x(val){}//*****************************
};
template<class T>
class Tree
{
public:
private://1.3带模板结构体的声明tree<T>* node=nullptr;
};
1.1typedef 不支持模板化 不可以和template<class T 联用
>
这里 T x 会报错
1.2.C语言中的结构题可以用在cpp中类中,这样后续函结构体名书写会很方便
2.insert插入
public://*****************************//2.1插入函数构造//2.2返回值是bool型,参数类型是T类型bool insert(const T& x){if (node == nullptr){//2.3如果赋值 node=x 那么完全错误,node是一个结构体指针型,node=x接受的是int型//node = x;//2.4.1 node = new tree<T>(x); 还不完全正确 还需要在原结构体进行初始化,node = new tree<T>(x);return true;}//2.6如果不为空else{//1.3知识点tree<T>* cur = node;//2.7记录父节点——难点 //记录父节点的目的是,当最后指向空的时候,我就可以进行最后一步赋值操作了//2.7.1//tree<T>* parent = new tree<T>; 无参构造会导致内村泄露-正确写法tree<T>* parent = nullptr;while (cur){parent = cur;if (cur->_x < x){cur = cur->_right;}else if (cur->_x > x){cur = cur->_left;}else{return false;}}//2.8进行最后的插入if (parent->_x < x){//最后的插入 创造新节点 付给大树parent->_right = new tree<T>(x);}else{parent->_left = new tree<T>(x); }return true; }}
2.1插入函数返回类型为bool型,若成功则返回true,失败则返回false
2.2node赋值类型
根据Tree类中的私有函数的声明可以确定->node为 tree T* 类型 而且是一个指针
因此只能声明node = new tree int()
2.3.初始化问题,struct里面构造函数的实现
node创建的是结构体 tree类,结构体是C语言语法,当第一次创建node时,里面为随机值——垃圾之。会导致不会进入if循环。
2.4无参构造导致内存泄露
这里已经明确了,tree构建一定要传进去一个参数,否则就会导致无参构造。无参构造那么就会导致内存泄露。
2.5记录父节点和插入的操作
3.print打印
//*****************************//3.2打印函数 递归打印void _print(const tree<T>* x){if (x == nullptr)return;_print(x->_left);cout << x->_x<< " ";_print(x->_right);}//3.1打印函数void print(){_print(node);cout << endl;}
核心思维:递归
4.实例化
#include"tree.h"int main()
{//4.1实例化插入int arr[] = { 1,5,9,6,3,2,8,7,4 };//4.1.1实例化Tree 而非tree/*tree<int>1.这是一个模板结构体它内部包含:数据成员:_left(左孩子指针)、_right(右孩子指针)、_x(节点值)。构造函数:tree(T val) 用于初始化一个节点。Tree<int>2.这是一个模板类它内部包含:成员变量:node(指向根节点的指针,类型为 tree<T>*)。成员函数:insert(插入节点)、print(打印树)等,用于操作整棵树。总结:tree<T>:二叉树的节点结构,需要带参数构造,仅表示单个节点。Tree<T>:二叉树的管理类,封装了树的整体操作,实例化后代表一棵完整的树。tree<int> 报错的原因:缺少默认构造函数,无法无参实例化(但它本就不是用来表示 “树” 的)。*///4.1.2//第一次插入的时候tree<int>是没有经过初始化的//没有经过初始化的tree结构体 里面的成员变量都为随机值//所以会报错Tree<int>t1;for (auto x : arr){t1.insert(x);}t1.print();t1.erase(5);t1.print();t1.erase(0);t1.print();return 0;
}
4.1涉及实例化 哪个大就实例化哪个。对于类和struct,类是一个完整功能的封装,二struct仅仅是对最底层的封装。因此类>struct,因此实例化类
涉及节点 哪个小就封装哪个,struct<类 因此创建struct
4.2类初始化问题——缺省参数
在实例化创建类的过程、对于自定义成员需要调用它的默认构造。而node默认构造里面是没有进行初始化值的解决。因此我们要加上缺省参数。否则就会报错。
5.删除
//5.1删除bool erase(const T& x){//5.1.1这里需要实例化tree<T>而不是node<T>/*node 是成员变量,不是类型:node 是 Tree 类中的成员变量(类型为 tree<T>*),不是一个类型名,因此无法用 node<int> 来实例化指针。是模板结构体 tree<T> 实例化后的类型(T=int),表示存储 int 类型的二叉树节点,是一个合法的类型。例如:tree<int>* node = new tree<int>(10); // 正确:定义一个存储int的节点指针node 是 Tree 类中的成员变量(类型为 tree<T>*),不是类型名。因此 node<int> 是语法错误—— 你试图将成员变量当作类型来实例化,这在 C++ 中不被允许。*/tree<T>* parent = nullptr;tree<T>* cur = node;//5.5添加整个while循环,整个循环结构//二叉树一直往下寻找的代码while (cur){if (cur->_x < x){parent = cur;cur = cur->_right;}else if (cur->_x > x){parent = cur;cur = cur->_left;}else{//5.1.2左为空if (cur->_left == nullptr){//5.1.3判断是父亲的左节点还是右节点if (cur == parent->_left){//5.1.4赋值parentparent->_left = cur->_right;}else{parent->_right = cur->_right;}}else if (cur->_right == nullptr){if (cur == parent->_left){parent->_left = cur->_left;}else{parent->_right = cur->_left;}}//5.2左右均不为空else{//5.2.1这里采用找右子树的最小节点tree<T>* tmp = cur->_right;//5.3创建被删除的父亲tree<T>* tmpP = nullptr;//5.2.2判断左子树是否为空while (tmp->_left){//5.3重难点理解 //删除之后 我们就破坏了原有的二叉树结构,//被删除的位置,其父亲,需要重新连接被删除位置它的儿子tmpP = tmp;tmp = tmp->_left;}//5.2.3被删除的值==整个右子树中的最小值cur->_x = tmp->_x;//5.4特殊情况判断,当根节点的第一个右子树就是被删除的if (tmpP->_left == tmp){tmpP->_left = tmp->_right;}else{tmpP->_right = tmp->_right;}delete tmp;return true;}}}return false;}
删除着重讲方法,以及需要注意事项。需要自己手动多敲代码来实现
5.1左为空或者右为空
5.2左右均不为空
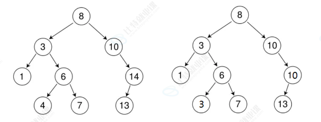
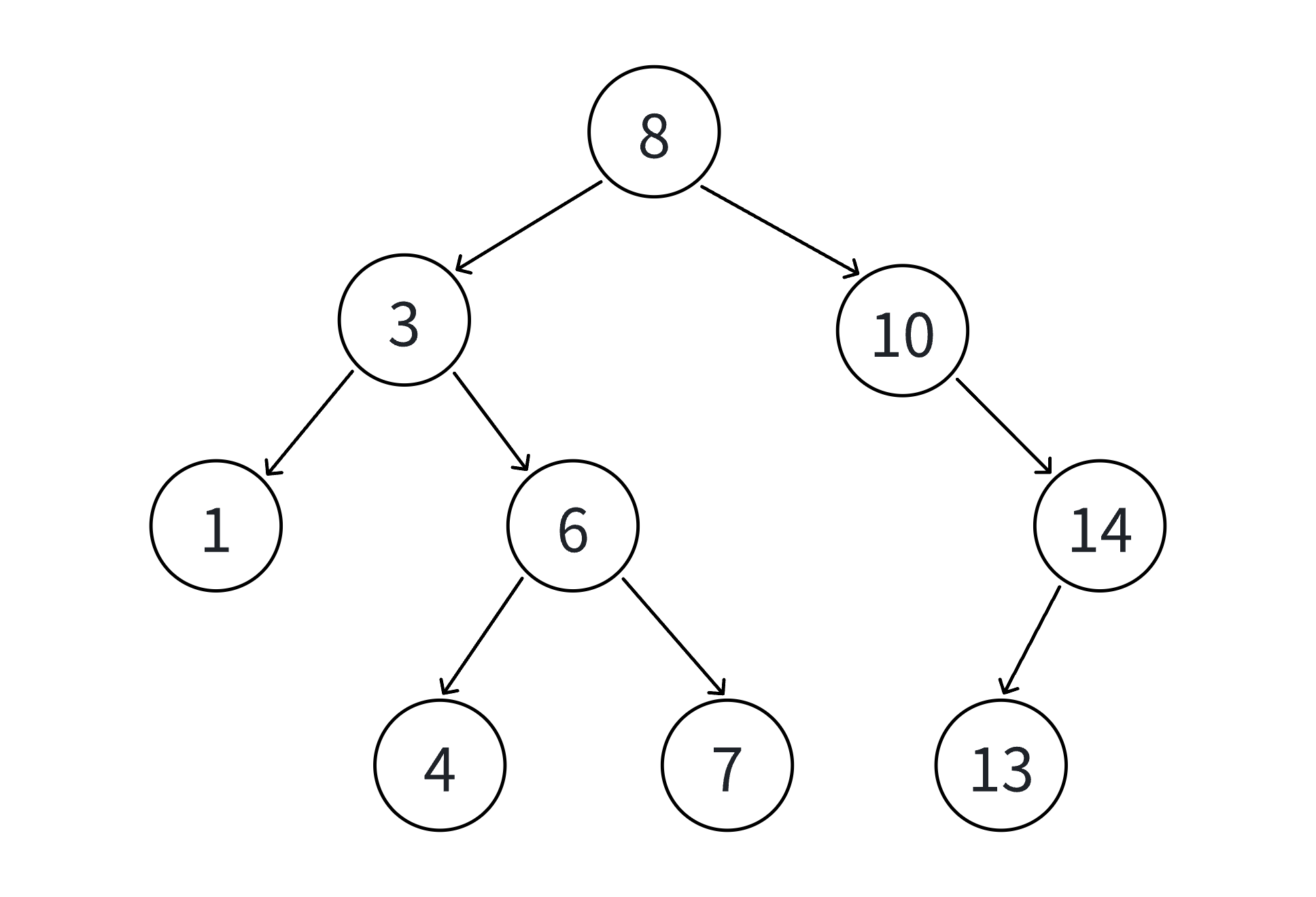
以下三个图分别为 初阶-> 补充 -> 最终形态
分两步
1.是补充父亲节点即5.3重难点理解
2.是特殊情况的判断即5.4特殊情况的判断
四、key和 key/value关键字
7.1 key搜索场景:
只有key作为关键码,结构中只需要存储key即可,关键码即为需要搜索到的值,搜索场景只需要判断key在不在。key的搜索场景实现的⼆叉树搜索树⽀持增删查,但是不⽀持修改,修改key破坏搜索树结构了。
场景1:⼩区⽆⼈值守⻋库,⼩区⻋库买了⻋位的业主⻋才能进⼩区,那么物业会把买了⻋位的业主的⻋牌号录⼊后台系统,⻋辆进⼊时扫描⻋牌在不在系统中,在则抬杆,不在则提⽰⾮本⼩区⻋辆,⽆法进⼊。
场景2:检查⼀篇英⽂ 章单词拼写是否正确,将词库中所有单词放⼊⼆叉搜索树,读取⽂章中的单词,查找是否在⼆叉搜索树中,不在则波浪线标红提⽰。

key/value搜索场景:
每⼀个关键码key,都有与之对应的值value,value可以任意类型对象。树的结构中(结点)除了需要存
储key还要存储对应的value,增/删/查还是以key为关键字⾛⼆叉搜索树的规则进⾏⽐较,可以快速查找到key对应的value。key/value的搜索场景实现的⼆叉树搜索树⽀持修改,但是不⽀持修改key,修改key破坏搜索树性质了,可以修改value。
场景1:简单中英互译字典,树的结构中(结点)存储key(英⽂)和vlaue(中⽂),搜索时输⼊英⽂,则同时
查找到了英⽂对应的中⽂。
场景2:商场⽆⼈值守⻋库,⼊⼝进场时扫描⻋牌,记录⻋牌和⼊场时间,出⼝离场时,扫描⻋牌,查
找⼊场时间,⽤当前时间-⼊场时间计算出停⻋时⻓,计算出停⻋费⽤,缴费后抬杆,⻋辆离场。
场景3:统计⼀篇⽂章中单词出现的次数,读取⼀个单词,查找单词是否存在,不存在这个说明第⼀次
出现,(单词,1),单词存在,则++单词对应的次数。

代码实现
主要区别和功能


#include<string>
#include<iostream>
using namespace std;template<class K, class V>
struct BSTNode
{K _key;V _value;BSTNode<K, V>* _left;BSTNode<K, V>* _right;BSTNode(const K& key, const V& value):_key(key), _value(value), _left(nullptr), _right(nullptr){}
};template<class K, class V>
class BSTree
{typedef BSTNode<K, V> Node;
public:BSTree() = default;BSTree(const BSTree<K, V>& t){_root = Copy(t._root);}BSTree<K, V>& operator=(BSTree<K, V> t){swap(_root, t._root);return *this;}~BSTree(){Destroy(_root);_root = nullptr;}bool Insert(const K& key, const V& value){if (_root == nullptr){_root = new Node(key, value);return true;}Node* parent = nullptr;Node* cur = _root;while (cur){if (cur->_key < key){parent = cur;cur = cur->_right;}else if (cur->_key > key){parent = cur;cur = cur->_left;}else{return false;}}cur = new Node(key, value);if (parent->_key < key){parent->_right = cur;}else{parent->_left = cur;}return true;}Node* Find(const K& key){Node* cur = _root;while (cur){if (cur->_key < key){cur = cur->_right;}else if (cur->_key > key){cur = cur->_left;}else{return cur;}}return nullptr;}bool Erase(const K& key){Node* parent = nullptr;Node* cur = _root;while (cur){if (cur->_key < key){parent = cur;cur = cur->_right;}else if (cur->_key > key){parent = cur;cur = cur->_left;}else{if (cur->_left == nullptr){if (parent == nullptr){_root = cur->_right;}else{if (parent->_left == cur)parent->_left = cur->_right;elseparent->_right = cur->_right;}delete cur;return true;}else if (cur->_right == nullptr){if (parent == nullptr){_root = cur->_left;}else{if (parent->_left == cur)parent->_left = cur->_left;elseparent->_right = cur->_left;}delete cur;return true;}else{Node* rightMinP = cur;Node* rightMin = cur->_right;while (rightMin->_left){rightMinP = rightMin;rightMin = rightMin->_left;}cur->_key = rightMin->_key;if (rightMinP->_left == rightMin)rightMinP->_left = rightMin->_right;elserightMinP->_right = rightMin->_right;delete rightMin;return true;}}}return false;}void InOrder(){_InOrder(_root);cout << endl;}
private:void _InOrder(Node* root){if (root == nullptr){return;}_InOrder(root->_left);cout << root->_key << ":" << root->_value << endl;_InOrder(root->_right);}void Destroy(Node* root){if (root == nullptr)return;Destroy(root->_left);Destroy(root->_right);delete root;}Node* Copy(Node* root){if (root == nullptr)return nullptr;Node* newRoot = new Node(root->_key, root->_value);newRoot->_left = Copy(root->_left);newRoot->_right = Copy(root->_right);return newRoot;}
private:Node* _root = nullptr;
};// 词典功能测试
void TestDict()
{BSTree<string, string> dict;dict.Insert("left", "左边");dict.Insert("right", "右边");dict.Insert("insert", "插入");dict.Insert("string", "字符串");string str;while (cin >> str){auto ret = dict.Find(str);if (ret){cout << "->" << ret->_value << endl;}else{cout << "无此单词,请重新输入" << endl;}}
}// 水果计数功能测试
void TestCount()
{string arr[] = { "苹果", "西瓜", "苹果", "西瓜", "苹果", "苹果", "西瓜", "苹果", "香蕉", "苹果", "香蕉" };BSTree<string, int> countTree;for (const auto& str : arr){auto ret = countTree.Find(str);if (ret == nullptr){countTree.Insert(str, 1);}else{ret->_value++;}}countTree.InOrder();
}int main()
{// 选择测试功能,取消注释其中一个即可// TestDict();TestCount();return 0;
}


>













