当前位置: 首页 > news >正文

机器学习(4)多特征与向量化

一、多特征(Multiple Features)

1. 特征与特征数量

        在现实问题中,一个样本往往不止一个特征(feature)。例如,在预测房价问题中,影响价格的因素可能有:

特征编号特征名称符号表示含义
1房屋面积x1​面积越大,房价越高
2房间数量x2​房间越多,价格越高
3房龄x3​越新越贵

对于第 i 个样本:

共有 n 个特征。

2. 多元线性回归模型(Multivariate Linear Regression)

单变量线性回归公式为:

扩展到多特征的情形:

这就是多元线性回归模型

3. 用房价预测举例

假设我们要预测房价:

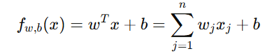
每个 wi​ 表示该特征对房价的影响程度。

4. 向量化表示(Vector Form)

将所有特征合并为一个向量:

于是可以写成向量形式:

其中 wTx 表示向量点积(dot product)


二、向量化(Vectorization)

1. 向量化的含义

        向量化是指将循环计算改写成矩阵或向量运算,以便让计算机(尤其是 NumPy、GPU)利用底层并行加速。

        在多特征线性回归中:

这就是点积(dot product)的数学表达式。

2. 点积的不同实现方式

方法Python 实现运行原理
for 循环for j in range(n): f += w[j]*x[j]每次循环计算一个元素,逐步累加,串行执行
NumPy 向量化f = np.dot(w, x) + b一次性进行全部计算,利用底层并行加速

因此,np.dot() 方式在计算速度上要比 for 循环高得多。

3. 向量化在梯度下降中的应用

在线性回归的梯度下降中,需要同时计算多个样本的预测结果。

如果使用 for 循环:

for i in range(m): f_wb_i = np.dot(w, x[i]) + b

如果使用向量化:

f_wb = np.dot(X, w) + b

其中:

  • X 是一个 m×n 的矩阵(m个样本、n个特征)

  • 计算结果 fw​b 是一个 m×1 的预测向量

这样可以同时计算所有样本的预测值,大大提升效率。


三、多元线性回归的比较与优化

1. 模型、代价函数、梯度下降的对比

项目单变量多变量(向量化后)
模型
代价函数
梯度下降手动循环更新一次性矩阵运算,向量化更新

向量化能极大提升效率,尤其是在大样本与高维数据中。

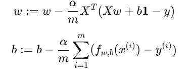
2. 多特征下梯度下降公式

向量化梯度公式为:

其中:

  • X:训练样本矩阵(形状 m×n)

  • y:目标向量(形状 m×1)

  • 1:全1向量,用于加上偏置项 b

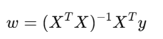
3. 正规方程(Normal Equation)法

在样本规模较小的情况下,可以直接使用正规方程求出最优解,无需迭代梯度下降。

公式如下:

并且:

该方法通过线性代数的方式直接计算最优参数。

注意:
当特征数量非常多时(如上千维),计算 的代价会非常高,此时仍推荐使用 梯度下降(Gradient Descent)


四、 小结(Summary)

内容单变量线性回归多元线性回归(向量化)
模型
输入单个特征 x多个特征向量 x=[x1​,x2​,...,xn​]
计算方式手动循环矩阵向量化
优化方法梯度下降向量化梯度下降 / 正规方程
优点简单直观高效并行、便于扩展

  

http://www.dtcms.com/a/507624.html

相关文章:

  • stripe/paypal
  • 机器学习(5)特征缩放与梯度下降收敛
  • 英飞凌推出首款100V aec合格GaN晶体管
  • 李宏毅机器学习笔记27
  • 机器学习作业七
  • openEuler安装jdk,nginx,redis
  • ffmpeg 交叉编译
  • Python编程之面向对象
  • 建设一个网站大概费用门户网站开发工具
  • OpenCV cv::Mat.type() 以及类型数据转换
  • Elasticsearch批量写入50万数据
  • 爬取GitHub开源项目信息并生成词云:从数据抓取到可视化实践
  • 做阀门的网站域名有了怎么建设网站
  • 西安交大Nat. Commun:749.276 cm²认证效率19.50%,通过IEC测试迈向产线
  • 百度站长平台登录网站图片自动轮换怎么做的
  • KuiklyUI 科普:UI 如何映射到 Android View 并完成渲染
  • 【2025-系统规划与管理师】第11章:信息系统治理
  • Python中如何实现数据库迁移
  • 第6部分:使用Netty的常见坑与注意事项
  • 广东企业品牌网站建设价格免费做网站的方法
  • 家政小程序系统开发:打造便捷高效的家政服务平台
  • CVE-2025-57833研究分析
  • 基于西门子proneta软件的网络设备台账自动管理软件
  • 深入大模型-12-Python虚拟环境的管理venv和uv和conda
  • DINOv2分类网络onnxruntime和tensorrt部署
  • 医疗网站建设网站wordpress别名时间戳
  • YOLOv3 深度解析:网络架构、核心改进与目标检测实践
  • 数据防泄露(DLP)综合指南:从基础到实践
  • 福鼎网站开发深圳市工程交易服务网
  • 电厂VR安全事故体验系统:让着火体验从 “看见” 变 “亲历”