当前位置: 首页 > news >正文

机器学习(5)特征缩放与梯度下降收敛

一、特征缩放(Feature Scaling)

1. 为什么要进行特征缩放

        在多元线性回归中,如果特征的数值范围差异很大(例如“面积”为 100~1000,而“卧室数量”为 1~5),梯度下降会变得 非常缓慢甚至难以收敛

        原因:梯度下降的搜索方向会被尺度大的特征主导,导致曲面变得“倾斜”,每次更新步伐不均匀。

2. 实现方法

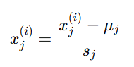
(1)均值归一化(Mean Normalization)

        将特征值平移并缩放到近似于[−1,1] 的范围:

其中:

  • xj(i)​:第 i 个样本的第 j 个特征

  • μj​:特征 j 的均值(mean)

  • sj​:特征 j 的取值范围(如 max-min)

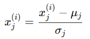
(2)Z 分数归一化(Z-score Normalization)

        又称 标准化(Standardization),常用于特征分布接近高斯分布(正态分布)时:

其中:

  • σj​:特征 j 的标准差(standard deviation)

        标准化后,数据的均值为 0,方差为 1。

3. 代码实现示例

# 均值归一化
x_scaled = (x - np.mean(x)) / (np.max(x) - np.min(x))# Z-score 归一化
x_standardized = (x - np.mean(x)) / np.std(x)


二、梯度下降收敛(Gradient Descent Convergence)

1. 学习曲线(Learning Curve)

通过绘制 代价函数 J(w, b) 随迭代次数的变化曲线,可以观察模型是否收敛。

  • 如果 J(w,b)逐渐减小并趋于平稳 →  收敛成功

  • 如果 J(w,b)忽上忽下 →  学习率过大

  • 如果 J(w,b) 缓慢下降 →  学习率过小

2. 自动收敛测试(Epsilon 检测)

        理论上,我们可以设置一个极小的数 ϵ 来判断是否收敛:

        但在实践中,ϵ 很难确定。通常仍然建议:

  • 通过绘图直观观察学习曲线

  • 限定最大迭代次数

3. 学习率(Learning Rate, α)的选择

(1)过小的学习率

  • 每次更新步长太小

  • 收敛非常慢

  • 代价函数几乎不下降

(2)过大的学习率

  • 每次步长过大,可能跨过最小值

  • J(w,b) 反而增大甚至震荡

  • 模型永远无法收敛

(3)合适的学习率

  • J(w,b) 平滑下降并趋于稳定

  • 通常通过实验确定最佳 α 值(如 0.01、0.03、0.1 等)


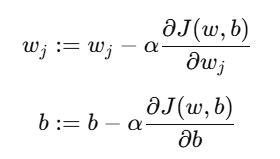
4. 梯度下降参数更新公式

        对于参数 wj​ 和 b,梯度下降更新规则如下:

        所有参数 同时更新(synchronous update)


三、例子:房价预测中的特征缩放与梯度下降

1. 问题背景

我们想要根据两种特征预测房价:

特征说明单位示例
x1​房屋面积平方英尺2100
x2​卧室数量3
y房价美元400000

原始数据范围相差悬殊(2100 vs 3),如果不进行特征缩放,梯度下降会非常慢。

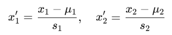
2. 归一化处理

我们先对两个特征分别做 均值归一化

假设:

  • 房屋面积的平均值:μ1​=2000,范围 s1​=1000

  • 卧室数量的平均值:μ2​=3,范围 s2​=2

则样本 (2100, 3) 转换后为:

这样,所有特征值都落入 [−1,1][-1, 1][−1,1] 附近,有助于更快收敛。

3. 模型表达式

假设线性回归模型为:

代价函数为:

4. 梯度下降过程

每一次迭代中:

        设初始参数w1​=w2​=b=0,学习率 α=0.1,经过多次迭代后,模型逐渐逼近最优解。


5. 可视化学习曲线


import numpy as np
import matplotlib
matplotlib.use('Agg')  # 使用非交互式后端
import matplotlib.pyplot as plt# 设置中文字体
plt.rcParams['font.sans-serif'] = ['WenQuanYi Zen Hei']
plt.rcParams['axes.unicode_minus'] = Falsedef generate_data(n_samples=100):"""生成线性回归的模拟数据"""np.random.seed(42)x = np.random.randn(n_samples, 3) * 2  # 3个特征true_w = np.array([1.5, -2.0, 0.5])    # 真实权重true_b = 1.0                           # 真实偏置y = x @ true_w + true_b + np.random.randn(n_samples) * 0.5  # 添加噪声return x, y, true_w, true_bdef feature_scaling(X):"""特征缩放(标准化)"""return (X - np.mean(X, axis=0)) / np.std(X, axis=0)def compute_cost(X, y, w, b):"""计算线性回归的代价函数(均方误差)"""m = len(y)predictions = X @ w + bcost = np.sum((predictions - y) ** 2) / (2 * m)return costdef gradient_descent(X, y, w, b, alpha, num_iters):"""执行梯度下降算法"""m = len(y)J_history = []for i in range(num_iters):# 计算预测值predictions = X @ w + b# 计算梯度dw = (1/m) * X.T @ (predictions - y)db = (1/m) * np.sum(predictions - y)# 更新参数w = w - alpha * dwb = b - alpha * db# 记录代价函数值cost = compute_cost(X, y, w, b)J_history.append(cost)# 每100次迭代打印一次进度if i % 100 == 0:print(f"迭代 {i}: 成本 = {cost:.6f}")return w, b, J_historydef main():print("=== 线性回归学习曲线示例 ===\n")# 1. 生成数据X, y, true_w, true_b = generate_data()print(f"生成数据: {len(y)}个样本,{X.shape[1]}个特征")print(f"真实参数: w = {true_w}, b = {true_b:.2f}")# 2. 特征缩放X_scaled = feature_scaling(X)print("完成特征缩放(标准化)")# 3. 初始化参数w_init = np.zeros(X.shape[1])b_init = 0.0alpha = 0.01num_iters = 100print(f"\n梯度下降参数:")print(f"学习率 α = {alpha}")print(f"迭代次数 = {num_iters}")print(f"初始参数: w = {w_init}, b = {b_init:.2f}")# 4. 执行梯度下降w_final, b_final, J_history = gradient_descent(X_scaled, y, w_init, b_init, alpha, num_iters)# 5. 绘制学习曲线plt.figure(figsize=(12, 8))# 主图:学习曲线plt.subplot(2, 2, 1)plt.plot(J_history, 'b-', linewidth=2)plt.xlabel('迭代次数')plt.ylabel('代价函数 J(w,b)')plt.title('学习曲线 - 梯度下降收敛过程')plt.grid(True, alpha=0.3)# 子图1:代价函数下降速度plt.subplot(2, 2, 2)plt.semilogy(J_history, 'r-', linewidth=2)plt.xlabel('迭代次数')plt.ylabel('代价函数 (对数坐标)')plt.title('代价函数下降速度 (对数尺度)')plt.grid(True, alpha=0.3)# 子图2:前20次迭代的详细变化plt.subplot(2, 2, 3)plt.plot(J_history[:20], 'g-', linewidth=2, marker='o')plt.xlabel('迭代次数')plt.ylabel('代价函数 J(w,b)')plt.title('前20次迭代的详细变化')plt.grid(True, alpha=0.3)# 子图3:参数收敛情况plt.subplot(2, 2, 4)w_history = []b_history = []w_temp, b_temp = w_init.copy(), b_initfor i in range(num_iters):predictions = X_scaled @ w_temp + b_tempdw = (1/len(y)) * X_scaled.T @ (predictions - y)db = (1/len(y)) * np.sum(predictions - y)w_temp = w_temp - alpha * dwb_temp = b_temp - alpha * dbw_history.append(np.linalg.norm(w_temp - true_w))b_history.append(abs(b_temp - true_b))plt.plot(w_history, 'm-', linewidth=2, label='||w-w_true||')plt.plot(b_history, 'c-', linewidth=2, label='|b-b_true|')plt.xlabel('迭代次数')plt.ylabel('参数误差')plt.title('参数收敛情况')plt.legend()plt.grid(True, alpha=0.3)plt.tight_layout()plt.savefig('learning_curve_complete.png', dpi=300, bbox_inches='tight')print("\n学习曲线图已保存为: learning_curve_complete.png")# 6. 结果分析print("\n=== 训练结果分析 ===")print(f"最终参数:")print(f"  w = {w_final}")print(f"  b = {b_final:.4f}")print(f"最终代价函数值: {J_history[-1]:.6f}")print(f"初始代价函数值: {J_history[0]:.6f}")print(f"代价函数下降比例: {((J_history[0] - J_history[-1]) / J_history[0] * 100):.2f}%")# 7. 绘制最终预测效果plt.figure(figsize=(10, 6))# 计算预测值y_pred = X_scaled @ w_final + b_final# 绘制真实值vs预测值plt.subplot(1, 2, 1)plt.scatter(y, y_pred, alpha=0.6)plt.plot([y.min(), y.max()], [y.min(), y.max()], 'r--', linewidth=2)plt.xlabel('真实值')plt.ylabel('预测值')plt.title('真实值 vs 预测值')plt.grid(True, alpha=0.3)# 绘制残差分布residuals = y - y_predplt.subplot(1, 2, 2)plt.hist(residuals, bins=20, alpha=0.7, color='skyblue', edgecolor='black')plt.xlabel('残差')plt.ylabel('频次')plt.title('残差分布')plt.grid(True, alpha=0.3)plt.tight_layout()plt.savefig('prediction_analysis.png', dpi=300, bbox_inches='tight')print("预测效果分析图已保存为: prediction_analysis.png")return J_historyif __name__ == "__main__":J_history = main()

四、总结

概念含义作用
特征缩放统一特征的数值范围加快梯度下降收敛速度
均值归一化(x - mean) / (max - min)数据近似 [-1,1]
Z-score 标准化(x - mean) / std数据均值为0,方差为1
学习曲线监控代价函数变化判断学习率是否合适
学习率 α决定更新步幅太大不收敛,太小太慢
Epsilon 测试判断收敛停止条件实际中较少单独使用

http://www.dtcms.com/a/507622.html

相关文章:

  • 英飞凌推出首款100V aec合格GaN晶体管
  • 李宏毅机器学习笔记27
  • 机器学习作业七
  • openEuler安装jdk,nginx,redis
  • ffmpeg 交叉编译
  • Python编程之面向对象
  • 建设一个网站大概费用门户网站开发工具
  • OpenCV cv::Mat.type() 以及类型数据转换
  • Elasticsearch批量写入50万数据
  • 爬取GitHub开源项目信息并生成词云:从数据抓取到可视化实践
  • 做阀门的网站域名有了怎么建设网站
  • 西安交大Nat. Commun:749.276 cm²认证效率19.50%,通过IEC测试迈向产线
  • 百度站长平台登录网站图片自动轮换怎么做的
  • KuiklyUI 科普:UI 如何映射到 Android View 并完成渲染
  • 【2025-系统规划与管理师】第11章:信息系统治理
  • Python中如何实现数据库迁移
  • 第6部分:使用Netty的常见坑与注意事项
  • 广东企业品牌网站建设价格免费做网站的方法
  • 家政小程序系统开发:打造便捷高效的家政服务平台
  • CVE-2025-57833研究分析
  • 基于西门子proneta软件的网络设备台账自动管理软件
  • 深入大模型-12-Python虚拟环境的管理venv和uv和conda
  • DINOv2分类网络onnxruntime和tensorrt部署
  • 医疗网站建设网站wordpress别名时间戳
  • YOLOv3 深度解析:网络架构、核心改进与目标检测实践
  • 数据防泄露(DLP)综合指南:从基础到实践
  • 福鼎网站开发深圳市工程交易服务网
  • 电厂VR安全事故体验系统:让着火体验从 “看见” 变 “亲历”
  • 万网建设网站wordpress伪静态 page
  • 大模型训练显存优化全方案:ZeRO、Offload与重计算技术对比