当前位置: 首页 > news >正文

程序设计基础第3周作业

强调:必须自己亲自写,自己调试,一定要自己动脑筋。能力在改错中提升!

1、分数比较

利用人工方式比较分数大小的最常见的方法是:对分数进行通分后比较分子的大小。
请编程模拟手工比较两个分数的大小。
首先输入两个分数分子分母的值,例如"11/13,17/19",比较分数大小后输出相应的提示信息。
例如,第一个分数11/13小于第二个分数17/19,则输出"11/13<17/19"。

程序的运行结果示例1:
Input a/b, c/d:11/13,17/19↙
11/13<17/19

程序的运行结果示例2:
Input a/b, c/d:17/19,23/27↙
17/19>23/27

程序的运行结果示例3:
Input a/b, c/d:3/4,18/24↙
3/4=18/24

输入提示信息:"Input a/b, c/d:"  (注意:逗号后面有一个空格)
输入格式: "%d/%d,%d/%d"

输出格式:
比较的结果是大于:"%d/%d>%d/%d\n"
比较的结果是小于:"%d/%d<%d/%d\n"
比较的结果是相等:"%d/%d=%d/%d\n"


2、闰年判断


从键盘任意输入一个公元年份(大于等于1),判断它是否是闰年。
若是闰年输出“Yes”,否则输出“No”。要求对输入数据进行合法性判断。

已知符合下列条件之一者是闰年:
(1)能被4整除,但不能被100整除;
(2)能被400整除。

运行结果示例1:
2015↙
No

运行结果示例2:
2016↙
Yes

运行结果示例3:
-123↙
Input error!

运行结果示例4:
a↙
Input error!

输入格式: "%d"

输出格式:
是闰年,输出:"Yes\n"
不是闰年,输出:"No\n"
输入数据不合法,输出:"Input error!\n"

3、数据区间判断


从键盘输入一个int型的正整数n(已知:0<n<10000),编写程序判断n落在哪个区间。
如果用户输入的数据不在指定的范围里,程序输出 "error!"。
例如,输入265,则该数属于区间 100-999。

程序运行结果示例1:
Please enter the number:
2563↙
2563: 1000-9999

程序运行结果示例2:
Please enter the number:
156↙
156: 100-999

程序运行结果示例3:
Please enter the number:
36↙
36: 10-99

程序运行结果示例4:
Please enter the number:
3↙
3: 0-9

程序运行结果示例5:
Please enter the number:
10923↙
error!

输入提示信息:"Please enter the number:\n"
输入错误提示信息:"error!\n"
输入格式: "%d"

输出格式:
输出的区间判断:
"%d: 1000-9999\n"
"%d: 100-999\n"
"%d: 10-99\n"
"%d: 0-9\n"


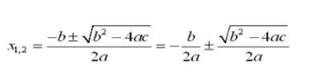
4、计算一元二次方程的根v2.0


根据下面给出的求根公式,计算并输出一元二次方程的两个实根,要求精确到小数点后4位。
其中a,b,c的值由用户从键盘输入。


如果用户输入的系数不满足求实根的要求,输出错误提示 "error!"。
程序中所有的数据类型均为float。

程序运行结果示例1:
Please enter the coefficients a,b,c:
1,2,1↙
x1=-1.0000, x2=-1.0000

程序运行结果示例2:
Please enter the coefficients a,b,c:
2,6,1↙
x1=-0.1771, x2=-2.8229

程序运行结果示例3:
Please enter the coefficients a,b,c:
2,1,6↙
error!

输入提示信息:"Please enter the coefficients a,b,c:\n"
输入格式: "%f,%f,%f"

输出格式: "x1=%7.4f, x2=%7.4f\n"
如果输入的系数不满足求实根的要求,输出错误提示信息:"error!\n"

http://www.dtcms.com/a/507432.html

相关文章:

  • 安卓系统中线程优先级Priority查看方式汇总
  • 北京企业建设网站制作呼叫中心系统解决方案
  • IDEA EmmyLua 配置+调试
  • Win11 微软账户登录后,设置没有同步到新电脑,怎样强制刷新?
  • 网站页面设计教程济宁定制网站建设推广
  • 轮询那些事儿
  • GitLab安装
  • Redis八股
  • 网站gif素材dw做网站背景音乐
  • 做网站编程有钱途么做玩具订制网站好处
  • CI/CD:现代软件开发的持续交付之道
  • 【理论知识】Q/K/V权重矩阵学习笔记
  • 【小增长电商软件分享】微信私域淘宝电商补单/做基础销量:如何有效控制粉丝错货、复购、订单插旗及客服转账返款等常见痛点|粉丝订单管理|电商鱼塘运营方案
  • Tomcat安装与HTML响应实战
  • 第三章深度学习---核心库TensorFlow 和 PyTorch 实操指南(四)
  • YOLO v4模型
  • uni-app 小程序开发避坑:诡异的 `module ‘...‘ is not defined` 错误与我的解决方案
  • 中国最大的中文网站安庆微信网站开发
  • 广州市南沙区建设局网站网站建设与规划总结
  • 百度 PaddleOCR 3.0 深度测评:与 MinerU 的复杂表格识别对决
  • 选cpp /c++方向工作职业发展的优缺点
  • 香港硬防服务器防御DDOS攻击的优点
  • 如何利用扣子生成小程序并进行发布指南
  • Rust 与 Go – 比较以及每个如何满足您的需求
  • HTTP 核心知识点速查表
  • YOLOv4 :兼顾速度与精度!
  • 甘南网站建设asp网站仿制
  • 【AI4S】Generative AI 为药物设计带来新思路:寻找“美丽分子”
  • 第19节-非规范化数据类型-Enum
  • 曼彻斯特编码与差分曼彻斯编码的区别