当前位置: 首页 > news >正文

【机械臂运动学基础】变换矩阵

目录

一、坐标系的旋转和移动

1.1 同时表达旋转和移动

1.1.1 用法

1.1.2 证明过程

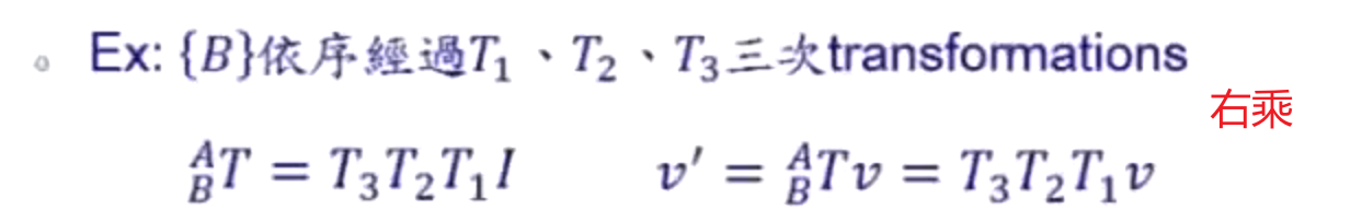
1.1.3 例题

1.2 基于向量同时表达旋转和移动

1.2.1 用法

1.2.2 证明过程

1.2.3 例题

1.3 多个坐标系的转换

1.3.1 用法

1.3.2 连续变换

1.3.3 反矩阵


一、坐标系的旋转和移动

1.1 同时表达旋转和移动

1.1.1 用法

1.1.2 证明过程

1.1.3 例题

1.2 基于向量同时表达旋转和移动

1.2.1 用法

1.2.2 证明过程

1.2.3 例题

1.3 多个坐标系的转换

1.3.1 用法

1.3.2 连续变换

1.3.3 反矩阵

http://www.dtcms.com/a/499451.html

相关文章:

  • 购物网站开发意义大气广告设计网站源码 企业公司模板 dedecms5.7 企业网站
  • 包资源管理器NPM 使用
  • 在PHP框架里如何进行数据库连接?
  • 网站建设后压缩代码邢台又一地被划定高风险区域
  • 《彻底理解C语言指针全攻略(6)-- qsort、sizeof和strlen》
  • 网站开发的工资是多少wordpress 获取文章图片标题
  • C++ - List
  • 阿里服务器怎么做网站服务器上海网站制作公司介绍
  • MAC mini /绿联NAS 上安装本地AFFiNE
  • h5游戏免费下载:怪物联盟
  • 酒店网站建设方案网站验证码出不来
  • 【JAVA】Java8的 Stream相关学习分析总结
  • 虚幻引擎5 GAS开发俯视角RPG游戏 P06-06 次要属性
  • 基于Vue的保护动物信息管理系统r7zl6b88 (程序+源码+数据库+调试部署+开发环境)带论文文档1万字以上,文末可获取,系统界面在最后面。
  • 深圳AI搜索优化怎么样
  • 工商网站查询企业信息官网购物平台最新排名
  • 【JUC】核心知识点归纳
  • 网站上海备案大渡口发布
  • 虚幻引擎入门教程:虚幻编辑器的基本操作
  • 建行网站首页登录网上银行百度服务中心官网
  • chrome 浏览器更新
  • 单元测试、系统测试、集成测试知识总结
  • 【C++/Lua联合开发】 (三) C++调用Lua
  • 网站开发与黑客做网站维护需要懂什么
  • C++动态规划——LIS(最长不下降子序列)
  • 计算 CIDR 块包含 C 类地址数量的方法
  • [创业之路-702]:“第三次”与“第四次工业革命”的范式跃迁
  • php 简单购物网站diy定制网站
  • 《vector.pdf 深度解读:vector 核心接口、扩容机制与迭代器失效解决方案》
  • Linux中slab缓存初始化kmem_cache_init函数和定时回收函数的实现