当前位置: 首页 > news >正文

从前序与中序遍历序列构造二叉树

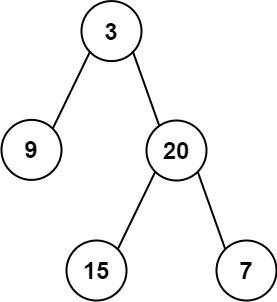
给定两个整数数组 preorder 和 inorder ,其中 preorder 是二叉树的先序遍历, inorder 是同一棵树的中序遍历,请构造二叉树并返回其根节点。

示例 1:

输入: preorder = [3,9,20,15,7], inorder = [9,3,15,20,7]
输出: [3,9,20,null,null,15,7]

只需注意对边界的把控

class Solution:def buildTree(self, preorder: List[int], inorder: List[int]) -> Optional[TreeNode]:inorderDict={}for i in range(len(inorder)):inorderDict[inorder[i]] = idef helper(preL:int,preR:int,inL:int,inR:int)->Optional[TreeNode]:if preL>=preR:return Nonemid=preorder[preL]midIndex = inorderDict[mid]return TreeNode(mid,helper(preL+1,preL+midIndex-inL+1,inL,midIndex), helper(preL+midIndex-inL+1,preR,midIndex+1,inR))return helper(0,len(preorder),0,len(preorder))

http://www.dtcms.com/a/498977.html

相关文章:

  • 学习go语言
  • Linux中工作队列使用
  • 金融工程(一)
  • LeetCode 每日一题 2025/10/13-2025/10/19
  • C++ 面试基础考点 模拟题 力扣 38. 外观数列 题解 每日一题
  • 辽阳企业网站建设费用企业推广软文
  • 天津实体店网站建设深圳宝安区住建局官网
  • shell编程语言---sed
  • iframe实战:跨域通信与安全隔离
  • 购物网站的建设意义html可视化编辑软件
  • Bootstrap 字体图标
  • PVE 9.0 定制 Debian 13 镜像 支持 Cloud-Init 快速部署虚拟机【模板篇】
  • 长春建站模板搭建高端品牌包包都有哪些
  • ai周公解梦抖音快手微信小程序看广告流量主开源
  • 【无标题】大模型-高效优化技术全景解析:微调 量化 剪枝 梯度裁剪与蒸馏 下
  • 自动化信息交付:深度解析AI驱动的每日简报系统架构与实现
  • 做微信公众号第三网站男女做视频观看网站
  • 定时任务Quartz原理详解
  • Rethinking SSIM-Based Optimization in Neural Field Training
  • rocketmq和kafka的区别之顺序消费
  • 套路有*道龙激光-乐多刀销*游戏程序系统方案
  • Angular 2 数据显示
  • 如何快速做单页面网站怎么查网站建设是哪家公司
  • 外国网站备案网站板块设置
  • 从 ClickHouse 到 StarRocks 存算分离: 携程 UBT 架构升级实践
  • 云手机 三角洲行动跑刀
  • Java 反射机制深度解析:从对象创建到私有成员操作
  • c++|表达最值的更好方法|clamp
  • Altium Designer(AD24)File文件功能总结
  • 【EE初阶 - 网络原理】应用层协议(下)