当前位置: 首页 > news >正文

深度学习2-损失函数-数值微分-随机梯度下降法(SGD)-反向传播算法

提示:文章写完后,目录可以自动生成,如何生成可参考右边的帮助文档

文章目录

  • 前言
  • 1. 损失函数
    • 1.1 分类任务损失函数
    • 1.2 回归任务损失函数
  • 2. 数值微分
    • 2.1 导数和数值微分
    • 2.2 偏导数
    • 2.3 梯度
    • 2.4 神经网络的梯度计算
  • 3. 随机梯度下降法(SGD)
    • 3.1 梯度下降法
    • 3.2 模型训练相关概念
    • 3.3 SGD
  • 4. 反向传播算法
    • 4.1 计算图
    • 4.2 链式法则
    • 4.3 加法节点的反向传播
    • 4.4 乘法节点的反向传播
    • 4.5 ReLU的反向传播
    • 4.6 Sigmoid的反向传播
    • 4.7 Affine的反向传播和实现
    • 4.8 输出层的反向传播和实现
  • 总结


前言

神经网络的主要特点,就是可以从数据中进行“学习”。这个学习的过程,就是让训练数据自动决定最优的权重参数。
神经网络(深度学习)也是机器学习的一种;跟传统机器学习方法相比,神经网络不需要人工设置 特征量(如 SIFT、HOG等)不要特征工程特征降维,这样就可以用同样的流程直接处理所有问题了。

1. 损失函数

神经网络中,需要以某个指标为线索来寻找最优权重参数;这个指标就是 损失函数

3.1.1常见损失函数
1)均方误差(MSE)—》回归问题

2)交叉熵误差—》分类问题

在这里插入图片描述

在这里插入图片描述

#损失函数
def mean_squared_error(y, t):return 0.5 * np.sum((y - t)**2)

y和t就是一个向量,对应位置相减

在这里插入图片描述

y指的是每个类的概率

t是正确类概率为1,其他为0
在这里插入图片描述

其实就是计算正确类的预测概率的log值的和

def cross_entropy_error(y, t):#统一维度,将预测值转为二维,y就是概率值if y.ndim == 1:t = t.reshape(1, t.size)y = y.reshape(1, y.size)# 这里的y,t就是二维了if t.size == y.size:t = t.argmax(axis=1)n = y.shape[0]# y[np.arange(n),t]表示取第一行某类的概率值,np.arange(n),t就是取概率值的坐标# 1e-10的原因是防止log取01e-10是一个微小值return -np.sum(np.log(y[np.arange(n),t]+1e-10)) / n

在这里插入图片描述

1.1 分类任务损失函数

1)二分类任务损失函数

二分类任务常用二元交叉熵损失函数(Binary Cross-Entropy Loss)。

在这里插入图片描述
2)多分类任务损失函数
多分类任务常用多类交叉熵损失函数(Categorical Cross-Entropy Loss)。它是对每个类别的预测概率与真实标签之间差异的加权平均。

在这里插入图片描述

1.2 回归任务损失函数

回归问题就是数值输出
回归问题本质上是一种预测连续数值输出的机器学习任务,核心是找到输入变量和输出变量之间的映射关系。

1)MAE
平均绝对误差(Mean Absolute Erro,MAE),也称L1 Loss:

在这里插入图片描述

2)MSE
均方误差(Mean Squared Error ,MSE),也称L2 Loss:

在这里插入图片描述
在这里插入图片描述

2. 数值微分

损失函数的值越小,代表我们选取的参数越适合;想要求得损失函数的最小值,最基本的想法就是对函数求导,解出导数值为0的点,并判断它是否为极小值/最小值。
然而,实际的函数直接求导,不容易得到解析解。这时可以用数值微分的方式来求某点处的导数,这在工程上应用非常广泛。

2.1 导数和数值微分

在这里插入图片描述
给出一个x,只需要进行前向传播,就可以知道y了,然后就可以计算变换率了,然后就可以计算导数值了

这样就不需要知道f函数

def numerical_gradient(f, x):h = 1e-4    #0.0001return (f(x+h)-f(x-h)) / (2*h)

同时向x点靠近,就是最好的导数值
取微小值h时不能太小,这会导致计算机浮点数表示的精度不够,出现舍入误差

#数值微分求导
import numpy as np
import matplotlib.pyplot as pltdef numerical_gradient(f, x):h = 1e-4    #0.0001return (f(x+h)-f(x-h)) / (2*h)#原函数
def f(x):return 0.01 * x**2 + 0.1 * x#求出切线方程,y=ax+b
def tangent_line(f,x):y = f(x)a = numerical_gradient(f, x)b = y - a * xreturn lambda x: a * x + b#定义画图范围
x = np.arange(0.0, 20.0, 0.1)
y =f(x)
#计算x=5切线
f_line = tangent_line(f,x=5)
#给出切线上的点
y_line = f_line(x)
plt.plot(x,y)
plt.plot(x,y_line)
plt.show()

在这里插入图片描述

2.2 偏导数

在这里插入图片描述

2.3 梯度

在这里插入图片描述
在这里插入图片描述
在这里插入图片描述

#数值微分求梯度,x是一维
def _numerical_gradient(f, x):h = 1e-4grad = np.zeros_like(x)for i in range(x.size):tmp = x[i]x[i] = tmp +hfxh1 = f(x)x[i] = tmp - hfxh2 = f(x)grad[i] = (fxh1-fxh2)/(2*h)#恢复x[i]x[i] = tmpreturn grad#x为二维
def numerical_gradient(f,X):if X.ndim == 1:_numerical_gradient(f,X)else:grad = np.zeros_like(X)for i,x in enumerate(X):grad[i] = _numerical_gradient(f,x)return grad

2.4 神经网络的梯度计算

神经网络中的梯度,指的就是损失函数关于权重参数的梯度。

class simpleNet:def __init__(self):self.W = np.random.randn(2,3)# 前向传播def forward(self, x):a= np.dot(x, self.W)y = softmax(a)return y#计算损失值def loss(self, x, t):z = self.forward(x)y = softmax(z)loss = cross_entropy_error(y, t)return loss
class SimpleNet:def __init__(self):self.W = np.random.randn(2,3)# 前向传播def forward(self, x):a= np.dot(x, self.W)y = softmax(a)return y#计算损失值def loss(self, x, t):z = self.forward(x)y = softmax(z)loss = cross_entropy_error(y, t)return lossif __name__ == '__main__':x = np.array([0.6,0.9])t = np.array([0,0,1])#定义模型net  = SimpleNet()#计算梯度,f为函数f = lambda w : net.loss(x, t)gradw =  numerical_gradient(f,net.W)print(gradw)

在这里插入图片描述

3. 随机梯度下降法(SGD)

3.1 梯度下降法

梯度下降法(Gradient Descent)是一种用于最小化目标函数的迭代优化算法。核心是沿着目标函数(如损失函数)的负梯度方向逐步调整参数,从而逼近函数的最小值。梯度方向指示了函数增长最快的方向,因此负梯度方向是函数下降最快的方向。

在这里插入图片描述

这里的η表示每次的更新量,在神经网络的学习过程中,就代表了一次学习的步长(一次学习多少、多大程度去更新参数),称为 学习率(learning rate)。学习率需要预先设定好,过大或过小都会导致学习效果不佳。

过大就是左右横跳,过小的话,就很慢

def gradient_descent(f, init_x, lr=0.01, step_num=100):x = init_xx_history = []for i in range(step_num):x_history.append( x.copy() )grad = numerical_gradient(f, x)x -= lr * gradreturn x, np.array(x_history)

lr就是学习率,step_num是迭代次数
梯度numerical_gradient就是这个点的斜率
梯度下降法这样就找到了极小值了

# 定义目标函数 f(x1, x2) = x1^2 + x2^2
def f(x):return x[0] ** 2 + x[1] ** 2
if __name__ == '__main__':# 1. 定义初始值init_x = np.array([-3.0, 4.0])# 2. 定义超参数lr = 0.9num_iter = 200# 3. 使用梯度下降法,计算最小值点x, x_history = gradient_descent(f, init_x, lr, num_iter)print("最小值点为:", x)# 画图plt.plot([-5, 5], [0, 0], '--b')plt.plot([0, 0], [-5, 5], '--b')plt.scatter(x_history[:, 0], x_history[:, 1])plt.xlim([-3.5, 3.5])plt.ylim([-4.5, 4.5])plt.xlabel("X[0]")plt.ylabel("X[1]")plt.show()

在这里插入图片描述
在这里插入图片描述

如果学习率太小—》迭代太慢

在这里插入图片描述
但是可以增加学习率步长,或者增加迭代次数

在这里插入图片描述

但是学习率太大就是左右横跳

在这里插入图片描述

3.2 模型训练相关概念

1)Epoch
1个Epoch表示模型完整遍历一次整个训练数据集的过程。例如,训练10个Epoch表示模型将整个数据集反复学习10次。
模型需要多次遍历数据集(多个Epoch)才能逐步学习数据中的模式,单次遍历数据集(1个Epoch)通常不足以让模型收敛,多次遍历可以逐步优化模型参数。
1个Epoch对应多个Batch Size,多个Iteration

2)Batch Size
Batch Size是每次训练时输入的样本数量。例如,Batch Size=32 表示每次用32个样本计算一次梯度并更新模型参数。
小批量数据计算梯度比单样本(Batch Size=1)更稳定,比全批量(Batch Size=全体数据)更高效。并且较小的Batch Size可能带来更多噪声,有助于模型泛化。

3)Iteration
一次Iteration表示完成一个Batch数据的正向传播(预测)和反向传播(更新参数)的过程。
例如,数据集现有2000个样本,对其训练10个Epoch,选择Batch Size=64:
Batch个数为2000//64+1=31+1=32个(最后一个Batch仅有16个样本)。
每个Epoch中迭代次数Itreation=32次。
总迭代次数为10×32=320次。
总训练样本数为10×2000=20000。

神经网络中采用梯度下降法,都是小梯度的

3.3 SGD

在神经网络的学习过程中,可以使用梯度下降法来更新参数,目标就是减小损失函数的值。
实际操作时,一般会从训练数据中随机选择一个小批量数据(mini-batch),然后用梯度下降法迭代多个轮次(iteration);这种“对随机选择的数据进行的梯度下降法”,被称作 随机梯度下降法(stochastic gradient descent,SGD)。

1)随机选择批数据(mini-batch)
从训练数据中随机选出一部分数据,学习的目标就是要减少这个mini-batch数据的损失函数值。
2)计算梯度
对当前的各权重参数,计算出梯度的值,负梯度就表示了损失函数减小最多的方向。
3)更新参数
按照前面梯度下降法的公式,对权重参数沿负梯度方向进行微小更新。
4)重复迭代
重复上面的步骤1)2)3),直到完成预定的总迭代次数。

4. 反向传播算法

反向传播(Backward Propagation或Back Propagation,BP算法)指的是计算神经网络参数梯度的方法。简言之,该方法根据微积分中的链式法则,按相反的顺序从输出层到输入层遍历网络。该算法存储了计算某些参数梯度时所需的任何中间变量。

4.1 计算图

算图将计算过程用图表示出来。

在这里插入图片描述
计算图的基本计算原则,就是从输入出发、按照箭头方向,从左到右依次进行计算,最终得到输出结果。这个过程,其实就是 前向传播(forward)。

计算图的特点是可以通过传递“局部计算”获得最终结果。即只需根据与自己相关的信息输出接下来的结果。无论全局的计算有多么复杂,各个节点所要做的就是进行局部计算并传递计算结果,最终得出全局的复杂计算的结果。

在这里插入图片描述
将输入的衣服价格记为x,输出的支付金额记为L,这其实就是要求导数值 。

在这里插入图片描述

箭头上面的数字就是变化率

4.2 链式法则

在这里插入图片描述
在这里插入图片描述

在这里插入图片描述

利用计算图的反向传播,可以很容易地计算出输出关于输入的偏导数。

反向的话:这样就只需要计算每一层的导数,然后乘以下一层的导数,就是这一层真正的导数了,很方便

4.3 加法节点的反向传播

在这里插入图片描述

4.4 乘法节点的反向传播

在这里插入图片描述

现在将计算图应用到神经网络中。神经网络中一步重要的计算操作就是激活函数,下面就来讨论各种激活函数的反向传播,基于这些我们就可以用代码实现激活层的完整功能了。

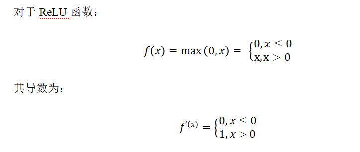
4.5 ReLU的反向传播

在这里插入图片描述

梯度消失就是说导数太小了,梯度爆炸就是导数太大了
在这里插入图片描述

class Relu:def __init__(self):#内部属性,记录哪些x<=0self.mask = Nonedef forward(self, x):self.mask = (x <= 0)out = x.copy()# 将x<=0的值都变为0out[self.mask] = 0return out# dout就是下一步的导数值,求上一步的导数值def backward(self, dout):dout[self.mask] = 0dx = doutreturn dx

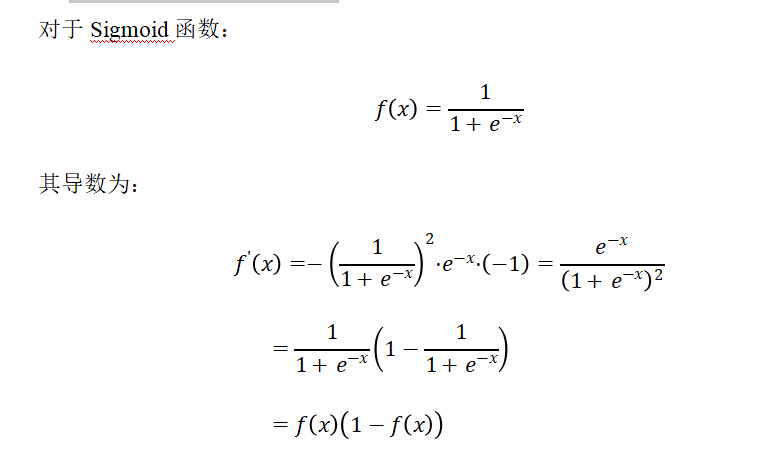
4.6 Sigmoid的反向传播

在这里插入图片描述
在这里插入图片描述

l对x的求导就是y对x的求导l对y的求导E,所以就是Ey(1-y)

class Sigmoid:def __init__(self):self.out = Nonedef forward(self, x):out = sigmoid(x)self.out = outreturn outdef backward(self, dout):dx = dout * (1.0 - self.out) * self.outreturn dx

4.7 Affine的反向传播和实现

在全连接层(Fully Connected Layer,Dense Layer)中,每个输入节点与输出节点相连,通过权重矩阵和偏置进行线性变换,这种操作在几何领域称为仿射变换(Affine transformation,几何中,仿射变换包括一次线性变换和一次平移,分别对应神经网络的加权求和运算与加偏置运算)。
考虑N个数据一起进行正向传播的情况,写成矩阵计算形式:
在这里插入图片描述
在这里插入图片描述
5就是x的特征值,然后也是输入层的个数,输出层个数为3
所以W就是5,3

class Affine:def __init__(self, W, b):self.W = Wself.b = bself.x = Noneself.original_x_shape = None# 权重和偏置参数的导数self.dW = Noneself.db = Nonedef forward(self, x):# 对应张量self.original_x_shape = x.shapex = x.reshape(x.shape[0], -1)self.x = xout = np.dot(self.x, self.W) + self.breturn outdef backward(self, dout):dx = np.dot(dout, self.W.T)self.dW = np.dot(self.x.T, dout)self.db = np.sum(dout, axis=0)dx = dx.reshape(*self.original_x_shape)return dx

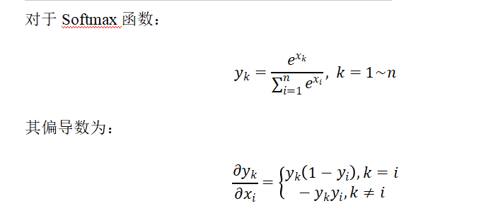
4.8 输出层的反向传播和实现

在输出层,我们一般使用Softmax作为激活函数。主要是分类问题

在这里插入图片描述
而对于输出层,一般会直接将结果代入损失函数的计算。对于我们之前介绍的分类问题,这里选择交叉熵误差(Cross Entropy Error)作为损失函数,就可以得到一个Softmax-with-Loss层,它包含了Softmax和Cross Entropy Loss两部分。

在这里插入图片描述

在这里插入图片描述

所以说这个损失函数Cross Entropy Loss就是为了softmax这个分类的函数专门设计的
回归问题的话,损失函数就是一个恒等函数,没有影响

class SoftmaxWithLoss:def __init__(self):self.loss = Noneself.y = None  # softmax的输出self.t = None  # 监督数据def forward(self, x, t):self.t = tself.y = softmax(x)self.loss = cross_entropy_error(self.y, self.t)return self.lossdef backward(self, dout=1):batch_size = self.t.shape[0]if self.t.size == self.y.size:  # 监督数据是one-hot-vector的情况dx = (self.y - self.t) / batch_sizeelse:dx = self.y.copy()dx[np.arange(batch_size), self.t] -= 1dx = dx / batch_sizereturn dx

总结

http://www.dtcms.com/a/496604.html

相关文章:

  • 濮阳网站建设熊掌号网站建设捌金手指花总五
  • 深度剖析:Feign 调用第三方接口 + Token 自动续期(24 小时有效期 + 1/4 时间触发)实战指南
  • AgentScope RAG 示例指南
  • 做网站学哪种代码好jquery 显示 wordpress
  • 做网站模板的网页名称是m开头swiper wordpress
  • 首京建设投资引导基金网站海淀重庆网站建设
  • NumPy random.choice() 函数详解
  • 网站手机端 怎么做东莞工业品网站建设
  • 广东网站建设网站前端一个页面多少钱
  • Redis分布式锁、Redisson及Redis红锁知识点总结
  • 企业网络建站动漫制作专业专升本大学
  • 东莞网站建设推广方案制作一个网站多少钱啊
  • Spark Shuffle 分区与 AQE 优化
  • 上海住建部网站wordpress下载按钮插件
  • 深度解析:电商API的核心功能与应用
  • 网站建设 定制移动端开发工具
  • html5网站开发费用什么是网络营销?网络营销有哪些功能
  • 衡石 HQL:以函数为基,构建AI时代的敏捷语义层
  • cms网站系统网站建设评审会总结发言
  • 倍数关系:最多能选出多少个数
  • 建设一个怎样的自己的网站首页苏州做网站优化的
  • Kioptrix Level 1渗透测试
  • 中国林业工程建设协会网站企业网站建设的提案
  • 用Vscode编译正点原子ESP32例程报错:ninja: error: loading ‘build.ninja‘: 系统找不到指定的文件
  • 温州专业微网站制作公司哪家好网站开发外包报价
  • 超星网站开发实战答案asp网站安全如何做
  • YOLOv3 核心笔记:多尺度特征融合与全面性能升级
  • 郑州建网站费用快照网站
  • LeetCode 刷题【123. 买卖股票的最佳时机 III】
  • 基于高通跃龙 QCS6490 平台的Sherpa快速部署