当前位置: 首页 > news >正文

OpenCV5-图像特征harris-sift-特征匹配-图像全景拼接-答题卡识别判卷

提示:文章写完后,目录可以自动生成,如何生成可参考右边的帮助文档

文章目录

  • 前言
  • 1. 图像特征harris
    • 1.1 角点检测基本原理
    • 1.2 原理
    • 1.3 使用
  • 2. 图像特征-sift
    • 2.1 原理
    • 2.2 使用
  • 3 特征匹配
    • 3.1 Brute-Force蛮力匹配
    • 3.2 1对1的匹配
    • 3.3 k对最佳匹配
  • 4. 样例实战-图像全景拼接
    • 4.1 流程解读
  • 5. 答题卡识别判卷
  • 总结


前言

1. 图像特征harris

1.1 角点检测基本原理

在这里插入图片描述

边界:沿着一个方向变化明显,另一个竖直方向变化不明显
角点:水平竖直方向都变化明显
角点特征更加明显

1.2 原理

在这里插入图片描述
在这里插入图片描述
在这里插入图片描述
在这里插入图片描述

最后就是看水平和竖直的变化率了

1.3 使用

cv2.cornerHarris()
img: 数据类型为 float32 的入图像
blockSize: 角点检测中指定区域的大小
ksize: Sobel求导中使用的窗口大小,一般为3
k: 取值参数为 [0,04,0.06],一般就用0.04
import cv2 
import numpy as npimg = cv2.imread('../chessboard.jpg')
print ('img.shape:',img.shape)
gray = cv2.cvtColor(img, cv2.COLOR_BGR2GRAY)
# gray = np.float32(gray)
dst = cv2.cornerHarris(gray, 2, 3, 0.04)
print ('dst.shape:',dst.shape)

在这里插入图片描述
因为dst算出来的也是每个点的变换率,所以是512大小的

img[dst>0.01*dst.max()]=[0,0,255]
cv2.imshow('dst',img) 
cv2.waitKey(0) 
cv2.destroyAllWindows()

[0,0,255]是红色
把dst>0.01*dst.max()的点变为红色—》可能为角点
在这里插入图片描述
在这里插入图片描述

2. 图像特征-sift

SIFT(Scale-Invariant Feature Transform,尺度不变特征变换)是一种经典的图像局部特征提取算法,核心优势是能在图像尺度缩放、旋转、光照变化甚至部分遮挡的情况下,稳定提取出具有唯一性的局部特征点,为图像匹配、目标识别、图像拼接等计算机视觉任务提供关键支持。

2.1 原理

在一定的范围内,无论物体是大还是小,人眼都可以分辨出来,然而计算机要有相同的能力却很难,所以要让机器能够对物体在不同尺度下有一个统一的认知,就需要考虑图像在不同的尺度下都存在的特点。

尺度空间的获取通常使用高斯模糊来实现:使用高斯滤波就可以变得越来越模糊

在这里插入图片描述
在这里插入图片描述
不同σ的高斯函数决定了对图像的平滑程度,越大的σ值对应的图像越模糊。

在这里插入图片描述
对每一层都进行高斯滤波
在这里插入图片描述
每相邻进行高斯滤波的进行差分
差值比较大的说明特征比较明显
在这里插入图片描述
第三个参数是高斯滤波的参数

在这里插入图片描述
DoG空间极值检测

为了寻找尺度空间的极值点,每个像素点要和其图像域(同一尺度空间)和尺度域(相邻的尺度空间)的所有相邻点进行比较,当其大于(或者小于)所有相邻点时,该点就是极值点。如下图所示,中间的检测点要和其所在图像的3×3邻域8个像素点,以及其相邻的上下两层的3×3领域18个像素点,共26个像素点进行比较。

不仅要和周围3*3进行比较,还要和上下层进行比较

在这里插入图片描述
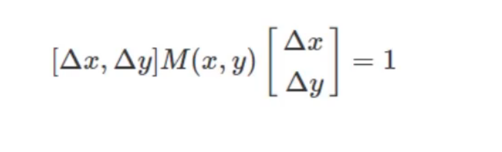
这些候选关键点是DOG空间的局部极值点,而且这些极值点均为离散的点,精确定位极值点的一种方法是,对尺度空间DoG函数进行曲线拟合,计算其极值点,从而实现关键点的精确定位。

估计出来的极值点可能不是真正极值点,所以要根据这些估计点,算出真实点的极值点
在这里插入图片描述
消除边界响应

在这里插入图片描述
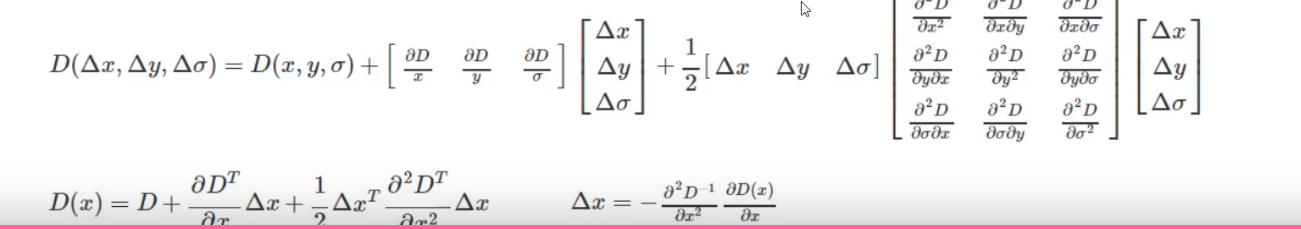
每个特征点可以得到三个信息(x,y,σ,θ),即位置、尺度和方向。具有多个方向的关键点可以被复制成多份,然后将方向值分别赋给复制后的特征点,一个特征点就产生了多个坐标、尺度相等,但是方向不同的特征点。

在这里插入图片描述
在这里插入图片描述

2.2 使用

pip list

可以查看自己安装的包

pip uninstall xxx

直接删除

import cv2
import numpy as npimg = cv2.imread('../test_1.jpg')
gray = cv2.cvtColor(img, cv2.COLOR_BGR2GRAY)
sift = cv2.SIFT_create()
kp = sift.detect(gray, None)

kp就是关键点

img = cv2.drawKeypoints(gray, kp, img)cv2.imshow('drawKeypoints', img)
cv2.waitKey(0)
cv2.destroyAllWindows()

在这里插入图片描述
计算特征

kp, des = sift.compute(gray, kp)

kp还是关键点

des是每个关键点的特征

在这里插入图片描述
128个特征
在这里插入图片描述

3 特征匹配

3.1 Brute-Force蛮力匹配

import cv2 
import numpy as np
import matplotlib.pyplot as plt
%matplotlib inline

在这里插入图片描述

在这里插入图片描述
在这里插入图片描述

sift = cv2.SIFT_create()
kp1, des1 = sift.detectAndCompute(img1, None)
kp2, des2 = sift.detectAndCompute(img2, None)
# crossCheck表示两个特征点要互相匹,例如A中的第i个特征点与B中的第j个特征点最近的,并且B中的第j个特征点到A中的第i个特征点也是 
#NORM_L2: 归一化数组的(欧几里德距离),如果其他特征计算方法需要考虑不同的匹配计算方式
bf = cv2.BFMatcher(crossCheck=True)

在这里插入图片描述
crossCheck=True的含义是这样的,i的最近是j,但是j的最近也就只能是i了,不能为z

3.2 1对1的匹配

matches = bf.match(des1, des2)
matches = sorted(matches, key=lambda x: x.distance)

返回的matches 是匹配出来的结果
排序的目的是给出匹配后的结果,比如第一个就是最相近的,第二个是第二相近的

img3 = cv2.drawMatches(img1, kp1, img2, kp2, matches[:10], None,flags=2)
cv_show('img3',img3)

在这里插入图片描述
matches[:10], # 要绘制的匹配对(这里只显示前10对)
None, # 输出图像(None表示自动创建)
flags=2 # 绘制标志(2表示只绘制匹配线,不显示单个特征点)

3.3 k对最佳匹配

bf = cv2.BFMatcher()
matches = bf.knnMatch(des1, des2, k=2)

这个就表示一个点对应两个相近的点了

good = []
for m, n in matches:if m.distance < 0.75 * n.distance:good.append([m])

在这里插入图片描述

这个就是过滤出距离比小于0.75的了

img3 = cv2.drawMatchesKnn(img1,kp1,img2,kp2,good,None,flags=2)
cv_show('img3',img3)

在这里插入图片描述
发现有些点配对错了----》过滤掉

如果需要更快速完成操作,可以尝试使用cv2.FlannBasedMatcher
在这里插入图片描述

在这里插入图片描述
在这里插入图片描述

4. 样例实战-图像全景拼接

不是简单的切割

在这里插入图片描述
H矩阵可以把图像进行弯曲的效果,就是变换矩阵
在这里插入图片描述

这两个拼接,,比如柱子也应该拼接为一个才行
就是先找很多特征点配对,然后就可以拼接了

在这里插入图片描述

4.1 流程解读

Stitcher.py:

import numpy as np
import cv2class Stitcher:#拼接函数def stitch(self, images, ratio=0.75, reprojThresh=4.0,showMatches=False):#获取输入图片(imageB, imageA) = images#检测AB图片的SIFT关键特征点,并计算特征描述子(kpsA, featuresA) = self.detectAndDescribe(imageA)(kpsB, featuresB) = self.detectAndDescribe(imageB)# 匹配两张图片的所有特征点,返回匹配结果M = self.matchKeypoints(kpsA, kpsB, featuresA, featuresB, ratio, reprojThresh)# 如果返回结果为空,没有匹配成功的特征点,退出算法if M is None:return None# 否则,提取匹配结果# H3x3视角变换矩阵      (matches, H, status) = M# 将图片A进行视角变换,result是变换后图片result = cv2.warpPerspective(imageA, H, (imageA.shape[1] + imageB.shape[1], imageA.shape[0]))self.cv_show('result', result)# 将图片B传入result图片最左端result[0:imageB.shape[0], 0:imageB.shape[1]] = imageBself.cv_show('result', result)# 检测是否需要显示图片匹配if showMatches:# 生成匹配图片vis = self.drawMatches(imageA, imageB, kpsA, kpsB, matches, status)# 返回结果return (result, vis)# 返回匹配结果return resultdef cv_show(self,name,img):cv2.imshow(name, img)cv2.waitKey(0)cv2.destroyAllWindows()def detectAndDescribe(self, image):# 将彩色图片转换成灰度图gray = cv2.cvtColor(image, cv2.COLOR_BGR2GRAY)# 建立SIFT生成器descriptor = cv2.xfeatures2d.SIFT_create()# 检测SIFT特征点,并计算描述子(kps, features) = descriptor.detectAndCompute(image, None)# 将结果转换成NumPy数组kps = np.float32([kp.pt for kp in kps])# 返回特征点集,及对应的描述特征return (kps, features)def matchKeypoints(self, kpsA, kpsB, featuresA, featuresB, ratio, reprojThresh):# 建立暴力匹配器matcher = cv2.BFMatcher()# 使用KNN检测来自AB图的SIFT特征匹配对,K=2rawMatches = matcher.knnMatch(featuresA, featuresB, 2)matches = []for m in rawMatches:# 当最近距离跟次近距离的比值小于ratio值时,保留此匹配对if len(m) == 2 and m[0].distance < m[1].distance * ratio:# 存储两个点在featuresA, featuresB中的索引值matches.append((m[0].trainIdx, m[0].queryIdx))# 当筛选后的匹配对大于4时,计算视角变换矩阵if len(matches) > 4:# 获取匹配对的点坐标ptsA = np.float32([kpsA[i] for (_, i) in matches])ptsB = np.float32([kpsB[i] for (i, _) in matches])# 计算视角变换矩阵(H, status) = cv2.findHomography(ptsA, ptsB, cv2.RANSAC, reprojThresh)# 返回结果return (matches, H, status)# 如果匹配对小于4时,返回Nonereturn Nonedef drawMatches(self, imageA, imageB, kpsA, kpsB, matches, status):# 初始化可视化图片,将AB图左右连接到一起(hA, wA) = imageA.shape[:2](hB, wB) = imageB.shape[:2]vis = np.zeros((max(hA, hB), wA + wB, 3), dtype="uint8")vis[0:hA, 0:wA] = imageAvis[0:hB, wA:] = imageB# 联合遍历,画出匹配对for ((trainIdx, queryIdx), s) in zip(matches, status):# 当点对匹配成功时,画到可视化图上if s == 1:# 画出匹配对ptA = (int(kpsA[queryIdx][0]), int(kpsA[queryIdx][1]))ptB = (int(kpsB[trainIdx][0]) + wA, int(kpsB[trainIdx][1]))cv2.line(vis, ptA, ptB, (0, 255, 0), 1)# 返回可视化结果return vis

ImageStiching.py:

from Stitcher import Stitcher
import cv2# 读取拼接图片
imageA = cv2.imread("left_01.png")
imageB = cv2.imread("right_01.png")# 把图片拼接成全景图
stitcher = Stitcher()
(result, vis) = stitcher.stitch([imageA, imageB], showMatches=True)# 显示所有图片
cv2.imshow("Image A", imageA)
cv2.imshow("Image B", imageB)
cv2.imshow("Keypoint Matches", vis)
cv2.imshow("Result", result)
cv2.waitKey(0)
cv2.destroyAllWindows()

5. 答题卡识别判卷

在这里插入图片描述
这个就是答题卡

#导入工具包
import numpy as np
import argparse
import imutils
import cv2# 正确答案,表示第一题选B,第二题选E
ANSWER_KEY = {0: 1, 1: 4, 2: 0, 3: 3, 4: 1}def order_points(pts):# 一共4个坐标点rect = np.zeros((4, 2), dtype = "float32")# 按顺序找到对应坐标0123分别是 左上,右上,右下,左下# 计算左上,右下s = pts.sum(axis = 1)rect[0] = pts[np.argmin(s)]rect[2] = pts[np.argmax(s)]# 计算右上和左下diff = np.diff(pts, axis = 1)rect[1] = pts[np.argmin(diff)]rect[3] = pts[np.argmax(diff)]return rectdef four_point_transform(image, pts):# 获取输入坐标点rect = order_points(pts)(tl, tr, br, bl) = rect# 计算输入的w和h值widthA = np.sqrt(((br[0] - bl[0]) ** 2) + ((br[1] - bl[1]) ** 2))widthB = np.sqrt(((tr[0] - tl[0]) ** 2) + ((tr[1] - tl[1]) ** 2))# 因为类似梯形,所以取最大值maxWidth = max(int(widthA), int(widthB))heightA = np.sqrt(((tr[0] - br[0]) ** 2) + ((tr[1] - br[1]) ** 2))heightB = np.sqrt(((tl[0] - bl[0]) ** 2) + ((tl[1] - bl[1]) ** 2))maxHeight = max(int(heightA), int(heightB))# 变换后对应坐标位置dst = np.array([[0, 0],[maxWidth - 1, 0],[maxWidth - 1, maxHeight - 1],[0, maxHeight - 1]], dtype = "float32")# 计算变换矩阵M = cv2.getPerspectiveTransform(rect, dst)warped = cv2.warpPerspective(image, M, (maxWidth, maxHeight))# 返回变换后结果return warped
def sort_contours(cnts, method="left-to-right"):# reverse:控制排序是升序还是降序(例如 "从左到右" 是升序,"从右到左" 是降序)。reverse = False# i:控制用边界框的 x 坐标(i=0)还是 y 坐标(i=1)作为排序依据(水平排序用 x,垂直排序用 y)。i = 0if method == "right-to-left" or method == "bottom-to-top":reverse = Trueif method == "top-to-bottom" or method == "bottom-to-top":i = 1#     cv2.boundingRect(c)返回轮廓c的最小外接矩形,格式为(x, y, width, height),其中(x, y)是矩形左上角坐标。boundingBoxes = [cv2.boundingRect(c) for c in cnts]# zip(cnts, boundingBoxes)将轮廓与其对应的边界框配对(cnts, boundingBoxes) = zip(*sorted(zip(cnts, boundingBoxes),key=lambda b: b[1][i], reverse=reverse))# 排序后的轮廓列表(cnts),对应的排序后边界框列表(boundingBoxes)return cnts, boundingBoxes
def cv_show(name,img):cv2.imshow(name, img)cv2.waitKey(0)cv2.destroyAllWindows()  # 预处理
image = cv2.imread("./images/test_01.png")
contours_img = image.copy()
gray = cv2.cvtColor(image, cv2.COLOR_BGR2GRAY)
# 高斯滤波---》去掉噪音点
blurred = cv2.GaussianBlur(gray, (5, 5), 0)
cv_show('blurred',blurred)
# 边缘检测
edged = cv2.Canny(blurred, 75, 200)
cv_show('edged',edged)# 轮廓检测,会返回两个值,[1]表示只需要轮廓
cnts = cv2.findContours(edged.copy(), cv2.RETR_EXTERNAL,cv2.CHAIN_APPROX_SIMPLE)[0]
cv2.drawContours(contours_img,cnts,-1,(0,0,255),3) 
cv_show('contours_img',contours_img)
docCnt = None# 确保检测到了
if len(cnts) > 0:# 根据轮廓大小进行排序cnts = sorted(cnts, key=cv2.contourArea, reverse=True)# 遍历每一个轮廓for c in cnts:# 近似,# 计算轮廓的周长,True表示轮廓是闭合的peri = cv2.arcLength(c, True)# 对轮廓进行多边形近似,参数0.02 * peri表示近似精度(周长的 2%)approx = cv2.approxPolyDP(c, 0.02 * peri, True)# 准备做透视变换# 当近似后的多边形有 4 个顶点时,认为找到了四边形(通常是矩形文档),将其保存到docCnt并跳出循环。if len(approx) == 4:docCnt = approxbreak# 执行透视变换,,因为手机照出来的不是真正的长方形,所以要投射变换
warped = four_point_transform(gray, docCnt.reshape(4, 2))
cv_show('warped',warped)# Otsu's 阈值处理,THRESH_OTSU自动计算阈值来划分,但是第二个参数要为0
thresh = cv2.threshold(warped, 0, 255,cv2.THRESH_BINARY_INV | cv2.THRESH_OTSU)[1] 
cv_show('thresh',thresh)
thresh_Contours = thresh.copy()# 找到每一个圆圈轮廓
cnts = cv2.findContours(thresh.copy(), cv2.RETR_EXTERNAL,cv2.CHAIN_APPROX_SIMPLE)[0]
cv2.drawContours(thresh_Contours,cnts,-1,(0,0,255),3) 
cv_show('thresh_Contours',thresh_Contours)
questionCnts = []# 遍历,只要圆形
for c in cnts:# 计算比例和大小,计算外接矩形boundingRect---》圆的外接矩形,h和w差不多一样大(x, y, w, h) = cv2.boundingRect(c)ar = w / float(h)# 根据实际情况指定标准if w >= 20 and h >= 20 and ar >= 0.9 and ar <= 1.1:questionCnts.append(c)# 按照从上到下进行排序
questionCnts = sort_contours(questionCnts,method="top-to-bottom")[0]
correct = 0# 每排有5个选项,生成步长为 5 的索引序列(0,5,10...),用于按排取轮廓
# q:当前是第几排(从 0 开始计数)
# i:当前排的起始索引(如第 1 排从 i=0 开始,第 2 排从 i=5 开始)
for (q, i) in enumerate(np.arange(0, len(questionCnts), 5)):# 排序# questionCnts[i:i + 5]:截取当前排的 5 个选项轮廓# sort_contours(...):调用之前的排序函数,默认按 "从左到右" 排序# [0]:取排序后的轮廓列表(因为sort_contours返回两个值:轮廓列表和边界框列表)cnts = sort_contours(questionCnts[i:i + 5])[0]bubbled = None# 遍历每一个结果# j:当前选项在这一排中的索引(0-4,对应 5 个选项)for (j, c) in enumerate(cnts):# 使用mask来判断结果mask = np.zeros(thresh.shape, dtype="uint8")cv2.drawContours(mask, [c], -1, 255, -1) #-1表示填充cv_show('mask',mask)# 通过计算非零点数量来算是否选择这个答案# mask与thresh进行and操作,, # 只保留掩码区域内的阈值图像内容mask = cv2.bitwise_and(thresh, thresh, mask=mask)# # 统计掩码区域内非零像素的数量(即被涂黑的像素数)total = cv2.countNonZero(mask)# 通过阈值判断。。。找出最大黑色像素点---》被涂的位置,j表示涂的哪个选项,j=1表示选的Bif bubbled is None or total > bubbled[0]:bubbled = (total, j)# 对比正确答案color = (0, 0, 255)k = ANSWER_KEY[q]# 判断正确,bubbled[1]就是jif k == bubbled[1]:color = (0, 255, 0)correct += 1# 绘图cv2.drawContours(warped, [cnts[k]], -1, color, 3)score = (correct / 5.0) * 100
print("[INFO] score: {:.2f}%".format(score))
cv2.putText(warped, "{:.2f}%".format(score), (10, 30),cv2.FONT_HERSHEY_SIMPLEX, 0.9, (0, 0, 255), 2)
cv2.imshow("Original", image)
cv2.imshow("Exam", warped)
cv2.waitKey(0)

总结

http://www.dtcms.com/a/486799.html

相关文章:

  • 计算机网络经典问题透视:以太网发送512bit后,碰撞还可能发生吗?
  • 免费网站管理系统昌邑建设网站
  • 初始Spring
  • wordpress站点标题看不到合肥建站企业
  • 网站空间哪家公司的好上海专业网站建设价
  • 考研数学笔记(概率统计篇)
  • HT6809:重塑音频体验的立体声 D 类功率放大器
  • Flutter对话框AlertDialog使用指南
  • 玩Android Flutter版本,通过项目了解Flutter项目快速搭建开发
  • 大数据毕业设计选题推荐-基于大数据的商店购物趋势分析与可视化系统-大数据-Spark-Hadoop-Bigdata
  • 网站标题符号的应用龙岩整站优化
  • 运维知识图谱的构建与应用
  • MySQL中RUNCATE、DELETE、DROP 的基本介绍
  • php企业网站 源码asp网站耗资源
  • 【LeetCode】四数之和
  • 网站进不去怎么解决网络营销策略
  • 旗讯 OCR:破解全行业表格处理痛点,让数据从 “识别” 到 “可用” 一步到位
  • 测试开发笔试
  • 数据库的创建,查看,修改,删除,字符集编码和校验操作
  • C语言初步学习:数组的增删查改
  • 【组队学习】Post-training-of-LLMs TASK02
  • 系统设计相关知识总结
  • 做视频的模板下载网站xunsearch做搜索网站
  • 做企业网站需要人维护么电子商务推广
  • Linux驱动开发原理详解:从入门到实践
  • HarmonyOS之Environment
  • 鸿蒙仓颉:如何获取全局定义的Context以及使用方法
  • 银河麒麟V10的X86架构部署postgresql,解决信创离线部署兼容问题
  • 如何建设物流网站智慧团建官网手机版登录
  • 寄生虫网站代做工程公司取名字大全