当前位置: 首页 > news >正文

为什么格林公式二重积分一侧的被积函数是两项相减

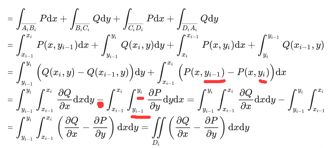
为什么格林公式二重积分一侧的被积函数是\frac{\partial Q}{\partial x} - \frac{\partial P}{\partial y},而不是\frac{\partial Q}{\partial x} + \frac{\partial P}{\partial y}

(图来自知乎博主马同学)

为了统一\frac{\partial Q}{\partial x}, \frac{\partial P}{\partial y}的二重积分的上下限,\frac{\partial P}{\partial y}的y的上下限本来是从i到i-1,为了和\frac{\partial Q}{\partial x}统一成i-1到i,所以\frac{\partial P}{\partial y}前面要加负号。

http://www.dtcms.com/a/486261.html

相关文章:

  • 成都网站建设软件石家庄模板网站
  • 【实战-12】flink版本表
  • ‌MyBatis-Plus 的 LambdaQueryWrapper 可以实现 OR 条件查询‌
  • 带你了解STM32:SPI通信(硬件部分)
  • CentOS下安装配置JDK24和tomcat11
  • springboot mybatisplus 配置SQL日志,但是没有日志输出
  • Windows下安装配置JDK24和tomcat11
  • 建个大型网站要多少钱房产信息网网站
  • 贵阳建站公司做的不错的h5高端网站
  • 实践 3:Vim 编辑器的使用
  • UG(NX)转换为3DXML全流程技术指南,附迪威模型网在线方案,适用于技术人员与学生
  • Python爬虫第4课:XPath与lxml高级解析技术
  • 使用 EasyExcel 封装通用 Excel 导出工具类
  • asp.net做网站的流程百度标注平台怎么加入
  • 怎么做同学录的网站电子商务公司简介模板
  • Redis(63)Redis的Lua脚本如何使用?
  • 鸿蒙NEXT输入设备开发指南:从触摸屏到游戏手柄的完整解决方案
  • 鸿蒙Harmony实战开发教学Day2-鸿蒙新项目创建+目录配置!(新手入门指南)
  • Lua中,表、元表、对象、类的解析
  • 在易语言里面做网站做二手物资哪个网站好
  • excel和word文件默认用office打开而不是用wps
  • 万网上传网站企业信用信息查询网官网
  • python学习之路(二)
  • IDEA弹框 Server‘s certificate is not trusted /服务器的证书不可信如何解决
  • ​rxn_yields 仓库介绍(https://rxn4chemistry.github.io/rxn_yields/)​
  • 前端视频课程添加水印,全屏不消失解决方法
  • 湖州网站建设哪家好google云平台 wordpress
  • Spring Boot性能优化详解
  • leetcode 329 矩阵中的最长递增路径
  • 生成模型实战 | 实时任意风格迁移