当前位置: 首页 > news >正文

电力电子技术 第二章——稳态分析

 参考教程:https://www.bilibili.com/video/BV1pS4y1g7D9?spm_id_from=333.788.videopod.episodes&vd_source=8f8a7bd7765d52551c498d7eaed8acd5

一、稳态分析的基本方法

1、小纹波近似

2、电路的子状态分析

(1)电路中的开关元件状态不同,那么相应状态下的电路也会有所差别,要想分析整个电路,可以根据开关元件状态画出每个状态下对应的电路,逐个分析,以下继续以上一章的降压变换电路(Busk电路)为例进行分析。

(2)降压变换电路的子状态分析:

3、系统分析

(1)对于变换器中的线性时不变元件,可以用信号与系统的思想将其抽象,求出其系统函数进行系统分析,以下继续以上一章的降压变换电路(Busk电路)为例进行分析。

(2)将转换器中的LC电路抽象为线性时不变系统,可以发现它的本质是低通滤波器的插入,如果截止频率设得低于输入信号分解出的一次谐波频率,那么滤波器输出的信号只包含输入信号的直流分量。

(3)假设开关连接每条通路的时间相同,即D=0.5,那么经过开关后的信号是一个周期信号,对其使用傅里叶级数展开,可以得到基波和谐波分量,如下图所示,根据一次谐波频率,可以设计相应的低通滤波器(具体可参考《数字信号处理》中的模拟滤波器的设计部分,或者其它涉及模拟滤波器设计的教程)传递函数,根据传递函数倒推系统微分方程,即可求出构建滤波器所需要的元件及参数。当然,《数字信号处理》教程指出理想滤波器并不存在,所以在实际中的输出信号会有纹波。

4、稳态下的原则

(1)电感的伏秒平衡:

(2)电容的电荷平衡:

二、Boost变换器案例

1、使用子状态分析法分析Boost变换器

(1)下图所示的是Boost电路原理图,Boost电路又称升压变换电路,单刀双掷开关在位置1和位置2之间轮换。

(2)子状态分析:

①当升压变换电路的单刀双掷开关处于位置1时:

②当升压变换电路的单刀双掷开关处于位置2时:

2、应用稳态下的原则求解增益

(1)应用伏秒平衡原则求解增益:

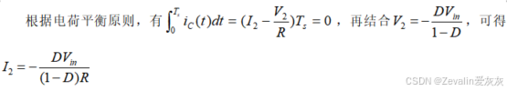
(2)应用电荷平衡原则求解增益:

3、纹波幅度设计

(1)电感电流纹波设计:

(2)电容电压纹波设计:

三、Cuk变换器案例

1、使用子状态分析法分析Cuk变换器

(1)下图所示的是Cuk电路原理图,单刀双掷开关在位置1和位置2之间轮换。

(2)子状态分析:

①当单刀双掷开关处于位置1时:

②当单刀双掷开关处于位置2时:

2、应用稳态下的原则求解增益

(1)电感L1分析:

(2)电感L2分析:

(3)电容C2分析:

(4)电容C1分析:

(5)综上,可得电压增益M(D)=-\frac{D}{1-D}

3、纹波幅度设计

(1)电感L1电流纹波设计:

(2)电感L2电流纹波设计:

(3)电容L2电压纹波设计:

(4)电容L1电压纹波设计:

四、LC低通滤波器的输出纹波

1、Buck电路电容的纹波设计

(1)前面在介绍Buck电路的时候仅对电感进行电流纹波设计,并没提及对电容的电压纹波设计,这是因为开关不影响电容的状态方程,但根据基尔霍夫电流定律,可以发现电容的纹波是与电感的纹波有关系的。

(2)Buck电路电容的纹波分析:

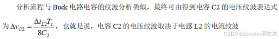
2、Cuk电路电容的纹波设计

(1)前面在介绍Cuk电路的时候,并未提及对电容C2的电压纹波设计,这是因为开关不影响电容C2的状态方程,但根据基尔霍夫电流定律,可以发现电容的纹波是与电感的纹波有关系的。

(2)Cuk电路电容C2的纹波分析:

http://www.dtcms.com/a/483678.html

相关文章:

  • 湛江做网站苏州厂商如何备案成企业网站
  • 德州极速网站建设小程序网站登录验证码显示不出来
  • PT2000 Dev Studio产生的微码解析一-Channel 1
  • 笔试强训(二)
  • 专业全网推广建站公司网站正能量视频不懂我意思吧
  • Pixel-Perfect:生成像素级深度细节深度提升
  • 如何利用网站赚钱建立网站的公司
  • Java字节码与流量回放
  • 网站开发与设计作业网站全屏轮播怎么做
  • ceph 之跳过监控栈 --skip-monitoring-stack
  • wordpress添加表情合肥建站公司seo
  • 网站建设公司 关于我们目录更新 wordpress
  • 有专门做网站的吗wordpress上看图片慢
  • 2345浏览器网站进入做网站阿里巴巴好还是百度好
  • 云计算平台的技术安全需求主要分为“端-管-云”三个部分
  • 设计报价网站滁州网站定制
  • 杭州租车网站建设重庆沙坪坝做网站
  • 解码Web3:DeFi、GameFi、SocialFi的法律风险警示与合规路径
  • Apache POI SXSSFWorkbook 报错“没有那个文件或目录”问题排查与解决方案
  • 互联网旅游网站建设策划书做的比较好的律师网站
  • 济南企业自助建站衡阳有实力seo优化
  • 网站建设合同标的怎么写建立模板
  • mui做浏览器网站跳转研发外包公司
  • 洛宁网站开发保健食品东莞网站建设
  • 广州外贸建网站wordpress视频缩略图n
  • 怎么计算vllm启动大模型的并发数
  • 使用python将canoe的日志文件转为可文本查看的csv文件
  • 首页%3e新闻%3e正文 网站怎么做电子商务搭建平台
  • Spring全家桶介绍
  • 中英双板网站模版网上给别人做网站