当前位置: 首页 > news >正文

深度学习优化算法深入分析:从 SGD 到 LAMB

(深度学习入门·进阶篇)


一、前言

在深度学习训练的世界里,优化算法 是模型能否成功学习的核心。
神经网络的本质,是一个巨大的参数空间搜索问题。我们希望找到那组参数,使得模型在训练集与验证集上都能尽可能地拟合数据,同时保持良好的泛化能力。

优化算法的任务,就是在高维非凸空间中,引导模型的参数逐步收敛到一个合理的点
这听起来抽象,但可以这样理解:
模型训练就像在一座山谷中行走,我们想找到最低点。每一次迭代,就是在地形上迈出一步。优化算法的不同之处在于,它决定了——

“往哪个方向走、走多远、是否该加速、是否该减速、是否该暂缓片刻”。

本篇文章,我们将系统地梳理从 SGD(随机梯度下降)LAMB(Layer-wise Adaptive Moments optimizer for Batching training) 的演化脉络,
并以实际训练经验为落脚点,深入分析它们的数学原理、直觉理解、伪代码结构与适用场景


二、SGD:最基础也最重要的优化器

2.1 基本思想

最早的优化算法源于梯度下降(Gradient Descent),核心思想非常简单:

其中:

  • θt\theta_tθt​:当前参数;

  • η\etaη:学习率;

  • ∇θL(θt)\nabla_\theta L(\theta_t)∇θ​L(θt​):当前参数下的损失函数梯度。

梯度告诉我们“往哪个方向上升最快”,所以我们反方向更新参数,让损失下降。

然而,在深度学习中,数据量巨大,无法每次都计算全量梯度。于是我们引入“随机性”:
SGD(Stochastic Gradient Descent,随机梯度下降) 每次仅取一个小批次(batch)来估计梯度。

更新公式变为:

这种方法简单、高效,但也存在两个显著问题:

  1. 噪声大:由于每次只用部分样本,梯度方向带有随机性;

  2. 收敛慢:在损失面复杂的情况下,容易“抖动”或陷入局部低谷。


2.2 伪代码实现(SGD)

# Pseudocode: Simple SGD
initialize parameters θ randomly
for epoch in range(EPOCHS):for batch in data_loader:grad = compute_gradient(Loss, θ, batch)θ = θ - lr * grad

这段伪代码几乎是所有优化算法的骨架。接下来我们在此基础上,逐步引入各种改进。


三、Momentum:让优化不再“颤抖”

SGD 在陡峭或狭长的损失面上会剧烈震荡。为了解决这个问题,人们引入了动量(Momentum) 概念。

3.1 思路来源

物理直觉上,一个物体在斜坡上滚动时,速度不会突然变成 0,它会保留之前的动量。
在优化中,我们希望让参数更新“具有惯性”,不要每次都完全依赖当前梯度。

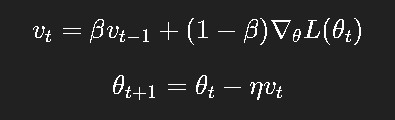
公式:

 

其中:

  • vtv_tvt​:动量项,代表梯度的“历史平均”;

  • β\betaβ:动量衰减系数(常取 0.9)。

3.2 效果

  • 在平缓方向上,动量叠加能加速收敛

  • 在震荡方向上,正负梯度相互抵消,抑制抖动

可以把 Momentum 看作是在 SGD 的基础上加了“惯性系统”。


3.3 伪代码实现(Momentum SGD)

v = 0
for batch in data_loader:grad = compute_gradient(Loss, θ, batch)v = beta * v + (1 - beta) * gradθ = θ - lr * v

动量的引入,让训练更加平滑,但它仍然无法适应不同参数尺度的差异。
这引出了下一位主角——AdaGrad


四、AdaGrad:自适应学习率的启示

4.1 动机

SGD 和 Momentum 的学习率 η\etaη 是固定的,这导致:

  • 参数变化大的维度,更新过快;

  • 参数变化小的维度,更新过慢。

于是,AdaGrad 提出:为每个参数引入独立的学习率,并根据历史梯度自动调整。

4.2 更新公式

其中:

  • rtr_trt​ 是梯度平方的累积和;

  • 分母越大,说明该参数的梯度经常很大,于是自动降低学习率。

4.3 伪代码实现(AdaGrad)

r = 0
for batch in data_loader:grad = compute_gradient(Loss, θ, batch)r += grad ** 2θ -= lr / (sqrt(r) + eps) * grad

4.4 问题与改进方向

AdaGrad 的核心问题是:学习率会不断衰减,最终几乎停止更新。

为了克服这一点,后来出现了 RMSProp。


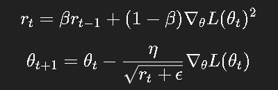
五、RMSProp:平衡记忆与遗忘

RMSProp(Root Mean Square Propagation)通过指数加权移动平均取代累积和,
让优化器既能记住近期梯度信息,又能逐渐忘记久远的梯度。

5.1 更新公式

这就像 AdaGrad 的“滑动窗口版本”,不再让学习率无限衰减。

5.2 实践意义

  • 对非平稳目标函数表现良好;

  • 更适用于深度神经网络;

  • 被许多框架(如 TensorFlow)设为默认优化器之一。


六、Adam:实用主义的胜利

2014 年,Kingma 和 Ba 发布了著名的论文《Adam: A Method for Stochastic Optimization》,
该算法几乎成为深度学习的默认选择。

Adam 综合了 MomentumRMSProp 的优点:
既保留一阶矩(动量),又保存二阶矩(平方梯度均值)。

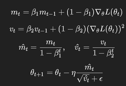
6.1 更新公式

其中:

  • mtm_tmt​:一阶动量;

  • vtv_tvt​:二阶动量;

  • mt^,vt^\hat{m_t}, \hat{v_t}mt​^​,vt​^​:偏差修正版本(用于抵消初始化偏差)。

6.2 Adam 的特性

  • 自动调节学习率;

  • 训练收敛快;

  • 对超参数不敏感(通常 β1=0.9,β2=0.999\beta_1=0.9, \beta_2=0.999β1​=0.9,β2​=0.999)。


6.3 伪代码实现(Adam)

m, v = 0, 0
for t, batch in enumerate(data_loader, 1):grad = compute_gradient(Loss, θ, batch)m = beta1 * m + (1 - beta1) * gradv = beta2 * v + (1 - beta2) * (grad ** 2)m_hat = m / (1 - beta1 ** t)v_hat = v / (1 - beta2 ** t)θ -= lr * m_hat / (sqrt(v_hat) + eps)

七、AdamW 与 LAMB:大模型时代的优化进化

7.1 AdamW:权重衰减的正确打开方式

在常规 Adam 中,使用 weight_decay 通常等价于给参数添加 L2 正则项。
然而,由于 Adam 有自适应学习率,这种正则化方式会被扭曲。

AdamW(Loshchilov & Hutter, 2017)提出了更合理的权重衰减:

即在梯度更新后直接进行权重衰减,从而保持优化与正则化的独立性。
这使得 AdamW 成为 Transformer、BERT 等模型训练的标准选择。


7.2 LAMB:为大批量训练而生

随着 BERT、GPT 等超大模型的出现,单机显然无法容纳庞大的 batch。
当批次过大时,Adam 的梯度更新方向会被“稀释”,学习率调整失效。

LAMB(Layer-wise Adaptive Moments optimizer for Batch training)
在 Adam 的基础上,对每一层引入了自适应的归一化因子

这样,每层都能根据自身权重尺度,动态控制更新步幅。
实践表明,LAMB 在大规模并行训练中显著提升了收敛稳定性。


八、实践经验与调参建议

  1. SGD + Momentum

    • 推荐用于卷积网络(如 ResNet)。

    • 学习率通常较大(0.1 左右),配合学习率衰减。

  2. Adam / AdamW

    • 推荐用于 Transformer、NLP 模型。

    • 默认参数一般就能收敛;但若过拟合,考虑增大 weight decay。

  3. RMSProp

    • 适用于 RNN 或非平稳任务。

    • 与 Adam 相比收敛略慢,但噪声较小。

  4. LAMB / LARS

    • 用于大规模训练(batch ≥ 8192)。

    • 可线性增大学习率以匹配批次扩展。


九、结语

优化算法的历史,其实就是“在噪声与速度之间找平衡”的历史。
从最初的 SGD 到如今的大模型优化器,人们不断地在权衡“收敛稳定性、泛化能力与训练效率”。

没有一种优化器是万能的。
真正的关键是:理解算法背后的思想,知道它“为什么能收敛”、“何时可能失效”,
并在具体任务中灵活选择。

http://www.dtcms.com/a/475196.html

相关文章:

  • 建外贸营销型网站WordPress的light
  • 案例较少如何做设计公司网站视频网站开发费用
  • Shiro
  • 【2025PC端多模态大模型部署推荐】
  • [数据集][xlsx]电力变压器油色谱数据集介绍
  • 基于LoRa的果园智能灌溉无线控制系统的设计(论文+源码)
  • 网站自助服务建设策划佛山电脑培训班哪里有
  • 网站的统计代码是什么意思交互设计要学什么
  • 视频网站怎么做服务器网页代码怎么写
  • 站点可用性监测实验
  • 教育一对一直播网站建设有做火币网这种网站的吗
  • JVM字节码与类的加载(二):类加载器
  • 两轮自平衡车原理详解与代码实现
  • 手机网站开源系统wordpress 商务主题
  • 网站建设体会心得wordpress文章图片本地化
  • 长春市做网站的公司比较好的网页制作公司
  • 网站推广营销策略erp系统有哪些软件
  • 深圳网站官网建设wordpress如何建栏目
  • linux下添加zookeeper开机自动启动流程引擎camunda集群部署方案
  • 工业设计作品集网站微信点赞网站怎么做
  • 《Java异步编程实战从CompletableFuture到虚拟线程的架构演进》
  • 【完整源码+数据集+部署教程】 路面落叶检测系统源码和数据集:改进yolo11-AggregatedAtt
  • 爱站网排名扬中企业网站优化哪家好
  • 吕邵苍设计公司网站广告机自建站模板
  • 制定网站响应时间开源模板网站
  • Spring AI实战:SpringBoot项目结合Spring AI开发——结构化输出(StructuredOutputConverter)
  • 我不想找之前做网站的续费郑州seo代理商
  • flash素材网站网站推广策划
  • 跨公有云业务数据加解密协同方案:基于KSP密钥管理系统的统一安全架构
  • 网站贸易表格怎么做南京做企业网站