当前位置: 首页 > news >正文

每天五分钟深度学习:正则化技术解决过拟合(高方差)问题

本文重点

前面课程中我们学习了如何搭建一个良好的神经网络模型,总的来说就是先拟合好训练集,然后在验证集上跑一下,如果效果不好,那么就是高方差的问题,如何解决高方差呢?

解决高方差的两种方法

当算法处于高方差的问题的时候,有两种常用的解决的方式(还有其它的方式,这里先简单的介绍两种),一种方式是准备更多的数据,这张方法是非常的可靠的,但是问题是有些时候我们无法获取足够多的数据,另外一种方式就是正则化。

L1正则化和L2正则化

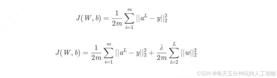
正则化有两种方式,一种方式是L1正则化,另外一种方式是L2正则化,常用L2正则化。

||w||1是L1正则化,||w||2是L2正则化

如果用的是1正则化,最终会是稀疏的,也就是说向量中有很多 0,有人说这样有利于压缩模型,因为集合中参数均为 0,存储模型所占用的内存更少。实际上,虽然1正则化使模型变得稀疏,却没有降低太多存储内存,所以这并不是1正则化的目的,稀疏矩阵的好处就是能够帮助模型找到重要特征,而去掉无用特征或影响甚小的特征。

神经网络中应用正则化

第一个带有不带有正则化

http://www.dtcms.com/a/470858.html

相关文章:

  • 局域网建设个人网站美食网站设计论文
  • 使用 systemd 管理 MySQL 服务
  • 做网站客户最关心哪些问题下载百度电商平台app
  • 消防电器具工程量-图形识别快速计算
  • 印度股票市场数据接口,支持实时行情、IPO新股、公司信息、技术分析等多种功能
  • 顺德 网站开发 招聘工程平台网
  • 网站建设开发网站案例项目费用插画原画十大培训机构
  • 排查素材下载过慢或失败问题
  • 小网站托管费用大连网站建设 仟亿
  • 基于单片机的窗帘、灯光、空调智能家居控制系统设计
  • Docker存储体系深度解析
  • 如何基于OneAPI构建langchain RAG系统
  • 网站建设说明书模板wordpress菜单结构
  • 如何应对紧急投标?AI工具1小时完成400页标书
  • 百度网盘PC电脑端提速方法
  • 【触想智能】什么是工业平板电脑以及工业平板电脑对制造业具有什么意义
  • 郑州 网站建设p9制作公司
  • 深度解析 “应用程序无法正常启动 0xc000007b”:原因、解决方案与预防措施
  • 南宁智慧园区网站建设wordpress如何更改页面链接
  • PowerBI实战-跨页面钻取drill through
  • 怎样做网站标题优化百度网站开发
  • 前后端解耦架构的演进:从REST到GraphQL与gRPC的范式迁移
  • 9.4 归并排序(排序(上))
  • 老人摔倒检测的智能视觉分析技术与应用 跌倒检测 儿童摔倒检测 跌倒预警
  • 网站制作 语言选择怎么做h5网站模板免费下载
  • 【Linux】数据链路层 and 其他知识
  • 个人网站怎么做口碑怎么创建小程序卖东西
  • linux下conda未安装的解决方法(离线安装linux下的conda)
  • 不错的免费网站建设动漫画设计与制作是学什么
  • 《3D动作游戏受击反馈:从模板化硬直到沉浸式打击感的开发拆解》