当前位置: 首页 > news >正文

深度学习入门(三)——优化算法与实战技巧


一、前言:为什么我们需要“优化算法”?

在前两篇文章中,我们已经了解了深度学习的基本结构:
神经元、层、前向传播,以及通过链式法则实现的反向传播。理论上,只要我们能计算出梯度,就能通过不断调整权重,让模型逼近最优解。

但问题在于:

梯度只是方向,不是道路。

在真实的神经网络中,参数成千上万,甚至上亿。损失函数是一个极其复杂的高维空间,里面充满了局部极小值、鞍点、平原区(Plateau)
如果你只是用最朴素的梯度下降法(Gradient Descent),那你会发现模型要么收敛极慢,要么直接震荡,要么陷入局部极小值出不来。

于是,人们开始研究各种“优化算法”——它们不是在改动神经网络的本质,而是在改变梯度如何被利用

我们这篇文章的目标就是搞清楚:

  1. 梯度下降为什么难用?

  2. 各种改进算法(SGD、Momentum、Adam 等)究竟改了什么?

  3. 实际训练中,我们应该怎么选择优化器、怎么调整超参数?


二、从梯度下降出发

让我们先从最基础的**Batch Gradient Descent(批量梯度下降)**说起。

假设我们有一个损失函数 L(w)L(w)L(w),它关于权重 www 可导。
我们希望找到一个 w∗w^*w∗ 使得 L(w∗)L(w^*)L(w∗) 最小。

基本更新规则如下:

其中:

  • η\etaη 称为 学习率 (learning rate)

  • ∇wL(wt)\nabla_w L(w_t)∇w​L(wt​) 是损失函数在当前点的梯度;

  • 更新方向为梯度的反方向。

这就是最核心的思想:我们让权重往能最快降低损失的方向移动一点点。

但这个公式有三个致命问题:

  1. 需要整个数据集的梯度
    每一次更新都要计算所有样本的梯度,计算量巨大。

  2. 学习率难以选择
    太大了会震荡甚至发散,太小了又收敛太慢。

  3. 复杂地形中容易迷路
    损失函数像一座山,有峡谷、有平原,有陡坡;光靠梯度就像盲人摸索,方向经常不靠谱。

于是我们引出了第一种改进——随机梯度下降法(SGD)


三、随机梯度下降(SGD):小步快跑的策略

**随机梯度下降(Stochastic Gradient Descent)**的核心思想是:

不必每次都用整个训练集,只用一小部分样本(mini-batch)近似估计梯度。

更新公式:

好处:

  • 每次更新更快;

  • 梯度中带有噪声,可以“跳出”局部最小值;

  • 训练可以边走边学,不必等完整一轮。

缺点:

  • 梯度噪声太大,会导致收敛轨迹抖动;

  • 在鞍点附近容易来回晃动,甚至陷在平原地带。

举个直观例子:

假设你在山谷中骑自行车下山,批量梯度下降是“用地图规划最优路线”,但耗时太久;SGD 就像是“边滑边观察地形”,虽快,但方向不稳定,经常走几步又回头。

所以我们需要想办法让它“稳定一点”,这就引出了动量(Momentum)。


四、Momentum:惯性让梯度更聪明

动量算法的灵感来自物理世界。

我们知道,一个物体如果有质量 mmm,受到重力后会不断加速。即使地形有小的起伏,物体的惯性也会让它顺势滑过。

在优化中,SGD 每一步都是完全独立的,而 Momentum 引入了“惯性”,让梯度的历史方向也参与决策。

其更新规则:

这里:

  • vtv_tvt​ 是速度;

  • β∈[0,1)\beta \in [0, 1)β∈[0,1) 是动量系数(通常取 0.9);

  • 它让梯度的平均方向主导更新。

直觉上:

  • 如果梯度一直往同一方向,速度会越来越快;

  • 如果梯度方向经常反转,速度会互相抵消,从而平滑抖动。

这就让参数更新更加平滑、效率更高。

伪代码如下:

v = 0
for each batch:grad = compute_gradient(L, w)v = beta * v + (1 - beta) * gradw = w - lr * v

Momentum 可以看作是 SGD 的“加速版”。
它不改变最终收敛点,但能显著加快收敛速度、减少震荡。


五、Nesterov 动量(NAG):提前预判未来的加速版

Nesterov Momentum(NAG)是对 Momentum 的进一步优化。

普通 Momentum 是“到点再修正”;NAG 是“先预判再修正”。
更新逻辑如下:

解释一下:

  • 我们先假设沿着动量方向走一步;

  • 再计算“预判位置”的梯度;

  • 这样能更快修正方向,避免走过头。

这就像开车转弯时提前打方向,而不是撞到弯道才反应。

实践中,NAG 比普通 Momentum 在收敛初期表现更快、更稳,因此被广泛应用于如 RNN、CNN 的训练中。


六、学习率的艺术:η 并非越小越好

学习率 η\etaη 是深度学习中最敏感的超参数之一。
它决定了更新步伐的大小,也决定了能否找到最优解。

太小 → 训练像蜗牛一样;
太大 → 一不小心就“飞出山谷”。

于是人们又提出了自适应学习率(Adaptive Learning Rate)

其核心思想是:

不同参数的重要性不同,更新幅度也该不同。

这类算法包括 AdaGrad、RMSProp、Adam 等。


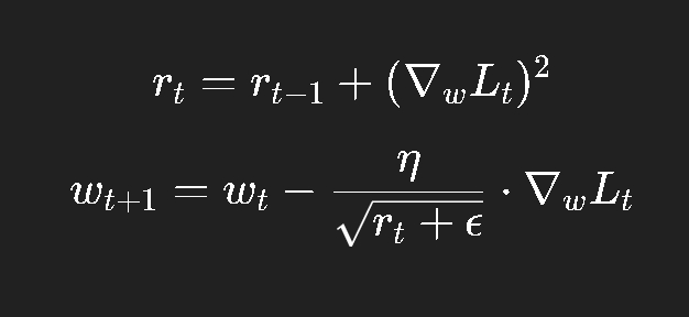
七、AdaGrad:学会“少动一点”的自适应方法

AdaGrad 的思想非常简单:

如果某个参数更新次数多了,说明它已经比较稳定,就该让它动得更慢。

更新规则如下:

其中:

  • rtr_trt​ 记录了每个参数梯度的平方和;

  • 分母中的 rt\sqrt{r_t}rt​​ 会让频繁更新的参数步伐越来越小。

直觉上,这就像“踩刹车”:

  • 梯度变化大的参数更新得慢;

  • 梯度稳定的参数更新得快。

优点:

  • 对稀疏特征特别有效(如 NLP 中的词向量训练)。

缺点:

  • rtr_trt​ 会持续累加,导致学习率单调下降,最终几乎停止更新。

于是 RMSProp 诞生了。


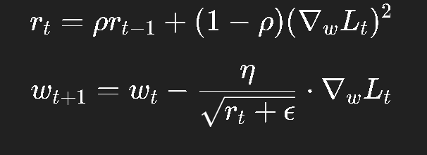
八、RMSProp:让 AdaGrad 不再“刹过头”

RMSProp(Root Mean Square Propagation)由 Hinton 提出。

它保留了 AdaGrad 的思想,但不再无限累加梯度平方,而是用指数滑动平均

  • 其中 ρ\rhoρ 通常取 0.9;

  • 这样旧的梯度影响会随时间衰减;

  • 学习率保持动态平衡。

它的效果非常稳定,是目前 RNN、LSTM 等结构中非常常用的优化器之一。


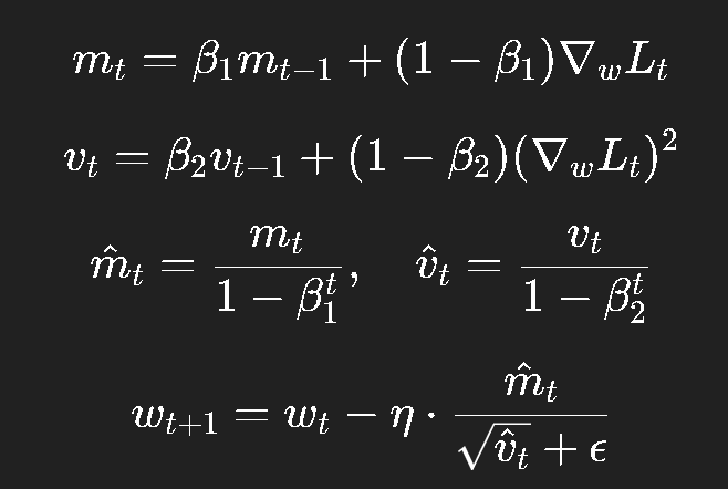
九、Adam:现代深度学习的默认选择

Adam(Adaptive Moment Estimation)几乎是当代深度学习的“默认优化器”。
它融合了 Momentum 和 RMSProp 的优点。

核心思想:

  • 一阶矩:记录平均梯度(动量);

  • 二阶矩:记录平均平方梯度(自适应学习率);

  • 并加上偏差修正(bias correction)。

公式如下:

典型参数:

  • β1=0.9,β2=0.999,ϵ=10−8\beta_1 = 0.9, \beta_2 = 0.999, \epsilon = 10^{-8}β1​=0.9,β2​=0.999,ϵ=10−8

伪代码:

m, v = 0, 0
for each batch:grad = compute_gradient(L, w)m = beta1 * m + (1 - beta1) * gradv = beta2 * v + (1 - beta2) * grad**2m_hat = m / (1 - beta1**t)v_hat = v / (1 - beta2**t)w = w - lr * m_hat / (sqrt(v_hat) + eps)

Adam 在收敛速度、稳定性、超参数敏感度上几乎全面优于 SGD。
但它也有潜在缺点:过度自适应可能导致最终解偏离全局最优。
因此在大模型训练中,也常使用 AdamW(带权重衰减的 Adam)。


十、实践经验与调参建议

理论我们讲了很多,实际训练时更重要的是经验与策略

1. 学习率的设定与调整

  • 初始学习率建议从 1e−31e^{-3}1e−3 或 1e−41e^{-4}1e−4 开始;

  • 若损失在初期震荡或不降,可减半;

  • 若损失下降太慢,可适当增大;

  • 建议配合 学习率调度(Scheduler)

    • Step Decay:每隔固定 epoch 降低学习率;

    • Cosine Annealing:模拟退火式衰减;

    • Warmup:初期先慢后快,防止梯度爆炸。

2. Batch 大小的选择

  • 小 batch:收敛快但不稳定;

  • 大 batch:稳定但可能陷入局部最小值;

  • 通常取 32、64、128 等,视显存而定。

3. 正则化与防过拟合

  • L2 权重衰减;

  • Dropout;

  • 数据增强;

  • Early stopping。

4. 梯度裁剪(Gradient Clipping)

  • 在 RNN、Transformer 等模型中防止梯度爆炸;

  • 例如限制梯度模长不超过某阈值(如 5.0)。

5. 实战中优化器选择

场景推荐优化器
传统小模型SGD + Momentum
深度 CNNAdam / AdamW
NLP TransformerAdamW + Warmup
稀疏特征(词向量)AdaGrad / FTRL

十一、结语:从算法到感觉

理解优化算法的过程,其实就是从“数学”走向“直觉”的过程。
它们的目标从未改变:让神经网络在复杂地形中更聪明地前进。

SGD 是探索者;
Momentum 是惯性的加速者;
RMSProp 是调速的工匠;
Adam 是现代化的自动驾驶系统。

但真正的工程师不会迷信算法,而是根据任务、数据、硬件、时间,选择最合适的工具。

深度学习不是单纯的数学游戏,它是一场与复杂性抗衡的修行。


下一篇预告:

深度学习入门(四)——常见模块与工程问题:
从激活函数到 BatchNorm,从 Dropout 到 Attention,我们将进入“现代神经网络工程”的领域。

http://www.dtcms.com/a/470061.html

相关文章:

  • 最新短视频AI智能营销询盘获客系统源码及搭建教程 源码开源可二次开发
  • 易优cms仿站教程wordpress文章搜索排序
  • 什么网站能免费做简历wordpress汉字注册
  • 喜报!网易灵动荣获2025全球数贸创新大赛机器人赛道金奖
  • AI IDE/插件(二)
  • 一文掌控系统网络性能:Linux环境时延与带宽测试指南
  • Effective Python 第44条:用纯属性与修饰器取代旧式的 setter 与 getter 方法
  • 中国网站排名站长之家有哪些好玩的网页游戏
  • 从零开始:Godot打造2D像素冒险游戏
  • 全球十大互联网企业深圳网站设计专家乐云seo品牌
  • 如何进行后端开发:一个详细指南
  • 基于Spring Boot的酒店管理系统
  • 怎么用腾讯云服务器做网站建个人网站做导购怎么备案
  • 单页面网站设计有人做网站吗
  • 编程与数学 03-007 《看潮资源管理器》项目开发 03 技术选型
  • LeetCode每日一题,20251011
  • Linux c 在内存中创建zip,最后写入测试
  • 做品牌推广用什么网站眉山网站开发
  • 静态网站源码下载东营免费网站制作
  • 智能体架构设计
  • 2025年三个月自学手册 网络安全(黑客技术),新手小白看这一篇就够了!
  • 无锡做网站要多少钱织梦网站栏目不能更新
  • 网站设计制作公司需要什么资质西部数码网站管理助手 破解版
  • 物联网卡的TAC
  • 学习物联网可以做什么工作?
  • [嵌入式系统-100]:IoT(物联网)与AIoT(人工智能物联网)
  • 网站目录链接怎么做巩义服务专业网站建设
  • 查看apk应用包名
  • 代做淘宝联盟网站东莞网站建设排名公司
  • React 在使用antd的RangePicker时,解决季度选择不是按照当前季度的第一天显示问题