当前位置: 首页 > news >正文

PyTorch的AI框架小白入门的学习点

逐行详解(重点解释你问的函数)

下面把你那段代码逐行注释并解释每个函数/调用的作用,同时给出一些形状、数学公式和调试技巧,帮助你“真正看懂”训练过程。

import torch
import torch.nn as nn
import torch.optim as optim# -----------------------
# 1. 数据(y = 2x + 1)
# -----------------------
x = torch.randn(100, 1)    # torch.randn(n, d) -> 从标准正态分布采样,返回形状为 (100,1) 的张量
y = 2 * x + 1              # 按元素运算,y 的形状同 x,表示我们要拟合的目标函数# -----------------------
# 2. 模型
# -----------------------
model = nn.Linear(1, 1)    # 全连接线性层:y = x * W^T + b# in_features=1, out_features=1# model.weight.shape == [out_features, in_features] -> [1,1]# model.bias.shape == [out_features] -> [1]# -----------------------
# 3. 损失 + 优化器
# -----------------------
criterion = nn.MSELoss()               # 均方误差损失:默认 reduction='mean'# loss = (1/N) * sum_i (y_pred_i - y_i)^2optimizer = optim.SGD(model.parameters(), lr=0.1)
# optim.SGD(...) 创建一个随机梯度下降优化器
# model.parameters() 返回模型中所有可学习参数(weight, bias)
# lr=0.1 是学习率# -----------------------
# 4. 训练循环
# -----------------------
for epoch in range(100):y_pred = model(x)                 # 等价于 model.forward(x)# 输入 x (shape [100,1]) -> 输出 y_pred (shape [100,1])loss = criterion(y_pred, y)       # 计算 MSE Loss(标量)optimizer.zero_grad()             # 清零所有参数的梯度(非常重要,PyTorch 默认梯度是累加的)loss.backward()                   # 自动求导:计算 loss 对参数的梯度,结果存到 param.gradoptimizer.step()                  # 根据 param.grad 更新参数(SGD:param -= lr * grad)# -----------------------
# 5. 查看训练结果
# -----------------------
print(model.weight, model.bias)       # 打印训练后的权重和偏置(接近 2 和 1)

关键函数与概念详解(逐项)

torch.randn(100, 1)

  • 从标准正态分布采样(均值0,方差1)。返回 torch.FloatTensor,形状 (100,1)。通常作为随机输入或初始化数据。

nn.Linear(in_features, out_features)

  • 创建一个线性(全连接)层,内部有两个 Parameterweight(形状 [out_features, in_features])和 bias(形状 [out_features])。计算 y = x @ weight.T + bias@ 表示矩阵乘法)。

nn.MSELoss()

  • 均方误差损失。默认 reduction='mean',所以
    在这里插入图片描述

    对于输出为 (100,1),它会对所有元素取均值。

optim.SGD(model.parameters(), lr=0.1)

  • 随机梯度下降优化器。model.parameters() 给出要更新的参数集合(weight 和 bias)。默认没有 momentum、没有 weight decay。
  • 在每次 optimizer.step() 时,执行类似:
    θ←θ−lr⋅θ.grad

model(x)

  • 等价于 model.forward(x)。触发模块的前向计算,返回一个 Tensor(其 requires_grad=True,并带 grad_fn,表示图上这个张量由哪些操作产生)。

optimizer.zero_grad()

  • 清零模型所有参数的 .grad。因为 PyTorch 的梯度是累加的(默认行为),如果不在每次更新前清零,会把多个 iteration 的梯度叠加在一起,导致错误更新。

loss.backward()

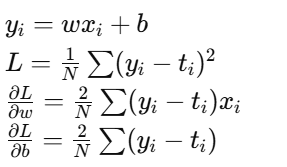
  • 核心的自动求导调用。它从 loss 节点沿计算图反向传播,计算出每个叶子张量(通常是 Parameter)的梯度并把结果累放到 param.grad
  • 对于本例(线性回归),数学公式为:
    在这里插入图片描述

optimizer.step()

  • 使用当前参数的 .grad 来更新参数(按优化器规则)。SGD 情况下执行 ( \theta \gets \theta - \text{lr} \cdot \theta.\text{grad} )。

训练过程从数学角度的简短流程

在这里插入图片描述

调试与观察技巧(好用)

  • 查看当前梯度:在 loss.backward() 之后可以打印 model.weight.grad / model.bias.grad 看数值与形状。

    loss.backward()
    print(model.weight.grad, model.bias.grad)
    
  • 不想计算梯度(推理):用 with torch.no_grad(): 包裹预测代码以节省内存。

  • 切换推理模式(用于 dropout/batchnorm):model.eval()(训练时用 model.train())。虽然线性层本身不受影响,但养成好习惯。

  • 若想在中途保存训练进度:torch.save(model.state_dict(), "ckpt.pth"),以后用 load_state_dict 恢复。

  • 若想查看训练过程(loss 曲线),在循环里记录 loss.item() 并画图。


为什么最后打印 model.weight, model.bias 会接近 2 和 1?

因为目标是 y = 2x + 1,通过多次迭代(且数据完整覆盖),优化器会调整 wb,使得预测最小化 MSE,从而 w → 2,b → 1(近似)。


什么是张量,什么是均方误差损失,什么是学习率,


1️⃣ 张量(Tensor)

🔹 定义

张量就是一种多维数组,它是 PyTorch 的基础数据结构。
可以理解为:

  • 0 维张量 → 标量(一个数字)
  • 1 维张量 → 向量(一个数字列表)
  • 2 维张量 → 矩阵
  • 3 维张量 → 图像(通道 × 高 × 宽)
  • … 多维张量 → 任意维度的数据集合

🔹 PyTorch 张量特点

  1. 可以像 NumPy 数组一样做数学运算(加、减、乘、矩阵乘法…)
  2. 可以记录梯度,用于自动求导 (requires_grad=True)
  3. 可以直接在 GPU 上计算,支持大规模并行运算

🔹 举例

import torch# 标量
a = torch.tensor(3.0)       # 0维
print(a.shape)  # torch.Size([])# 向量
v = torch.tensor([1.0, 2.0, 3.0])  # 1维
print(v.shape)  # torch.Size([3])# 矩阵
m = torch.tensor([[1.0, 2.0], [3.0, 4.0]])  # 2维
print(m.shape)  # torch.Size([2,2])# 三维张量(如一张 RGB 图片)
img = torch.randn(3, 64, 64)  # 通道 3, 高 64, 宽 64
print(img.shape)  # torch.Size([3,64,64])

在深度学习中,模型的输入、输出和参数(weight、bias)都是张量。


2️⃣ 均方误差损失(MSE Loss)

🔹 定义

均方误差损失(Mean Squared Error Loss)是回归问题常用的损失函数。
它衡量模型预测值 y_pred 与真实值 y 的差距:
在这里插入图片描述

🔹 解释

  • 对每个样本求平方误差 (预测值 - 真实值)^2
  • 再对所有样本取平均
  • 越小 → 模型预测越接近真实值

🔹 举例

import torch
import torch.nn as nny_true = torch.tensor([1.0, 2.0, 3.0])
y_pred = torch.tensor([1.5, 2.5, 2.0])criterion = nn.MSELoss()
loss = criterion(y_pred, y_true)
print(loss)  # 输出:0.4167

在训练过程中,我们用 MSE 来告诉模型“预测错了多少”,然后模型通过梯度下降调整参数。


3️⃣ 学习率(Learning Rate)

🔹 定义

学习率是优化器的一个超参数,表示每次参数更新的步长
数学公式:
0 <— 0 - η * ∂L/∂θ

  • θ → 参数(weight、bias)
  • η → 学习率
  • ∂L/∂θ → 梯度

🔹 作用

  • 学习率大 → 每次更新幅度大 → 训练可能更快,但可能不稳定、震荡
  • 学习率小 → 每次更新幅度小 → 训练更稳定,但可能收敛慢

🔹 举例

optimizer = torch.optim.SGD(model.parameters(), lr=0.1)  # lr=0.1 就是学习率

在训练时,PyTorch 会自动用:

param = param - lr * param.grad

去更新参数。

🔹 小技巧

  • 通常用 0.001 ~ 0.1 的范围调试
  • 训练大模型时常用 学习率衰减自适应优化器(Adam, RMSProp)
  • 如果 loss 不下降或震荡 → 尝试调小学习率

🔹 总结(最核心概念)

概念定义作用
张量 (Tensor)多维数组,可存梯度,可 GPU 计算模型输入、输出、参数
均方误差损失 (MSE)平方误差平均值衡量预测值与真实值差距
学习率 (lr)参数更新步长控制梯度下降速度,影响收敛稳定性

关系图

  • 张量:输入 x、输出 y、权重 w、偏置 b
  • 前向计算:y_pred = x * w + b
  • 损失:MSE Loss
  • 反向传播:梯度 ∂L/∂w, ∂L/∂b
  • 优化器:使用 学习率 更新参数

生成的流程图会清晰展示训练循环:输入 → 前向 → 损失 → 梯度 → 更新 → 下一轮。
在这里插入图片描述

http://www.dtcms.com/a/466374.html

相关文章:

  • 办公网站模板网站建设微信官网开发
  • 信誉好的合肥网站建设全网网站建设维护
  • 建设部网站 标准下载如何判断网站做的关键词
  • 诺奖相关的调节性T细胞怎么养?
  • 旺道网站优化重庆ppt制作
  • ps免抠素材网站大全免费制作h5页面平台
  • 反激电源实际设计
  • Java优雅停机指南
  • DDoS攻击演变趋势与企业应对策略
  • 新版本 python 3.14 性能到底如何?
  • 郑州网站推广平台一个外国人做的破解游戏网站
  • 合肥网站建设方案咨询wordpress本地搭建网站a
  • .net电子商务网站开发wordpress展示图片不显示
  • 射频技术领域的领航者,昂瑞微IPO即将上会审议
  • VonaJS AOP编程:全局中间件全攻略
  • 物联网技术第四节课学习笔记
  • 【MT6631】MT6631 WiFi跑流ping包延迟大问题解决方案
  • 一个网站做两种产品文创产品
  • 三坐标测量仪:汽车冲压件±0.3mm形位公差控制的解决方案
  • Notepad++实现列编辑/列粘贴
  • 建设大淘客网站厦门哪些企业做视频网站的
  • JS进阶(二):创建对象的方式、构造函数、实例成员静态成员、内置构造函数(Object、Array、String、Number)
  • 半监督学习:机器学习中的“半指导”学习范式
  • 广州网站建设 八爪鱼高层网络架构
  • [SIGCOMM‘25] Revisiting RDMA Reliability for Lossy Fabrics
  • Liunx入门(复习哈哈哈)
  • 南山区做网站公司h5商城网站是什么意思
  • 过拟合:机器学习中的“记忆“与“理解“之战
  • 网站有哪些类型和它的成功案例网站建设客户常见问题集锦
  • 贝叶斯压缩:智能模型压缩与不确定性管理的艺术