当前位置: 首页 > news >正文

PyTorch深度学习(入门笔记)

本文参考:
《PyTorch深度学习实践》完结合集
特别感谢 刘二大人 给我的帮助

Backward

反向传播
在这里插入图片描述前馈 & 反馈在跟新的时候我们要的就是梯度

绿色的是模块,我们只需要先把模块搞定。

Eg

y^=x×w\widehat{y}=x \times wy=x×w

在这里插入图片描述

pytorch核心数据结构

tensor

简单来说,Tensor(张量)是一个多维数组,它是 PyTorch 中最基本的数据结构,所有模型的输入、输出和参数都是用 Tensor 来表示的。

特性:

  1. 多维性:Tensor 可以表示各种维度的数据。

  2. 加速计算:Tensor 可以被方便地移动到 GPU(或其它硬件加速器,如 MPS)上,利用其并行计算能力极大地加速运算。

非常重要的属性:

  1. grad:存储的是梯度(Gradient)。注意这个也是Tensor
    • 关键特性
      • 初始状态下,.gradNone
      • 只有在调用 .backward() 方法后,它才会被填充为梯度 Tensor。
      • 它也不要求梯度(requires_grad=False),因为梯度本身通常是计算的终点,不需要再对它求导。
  2. data**:是 Tensor 的"数据"部分,它不包含计算历史。**注意这个也是Tensor
    • 关键特性:对 .data 的操作不会被自动求导系统(Autograd)跟踪。它的 requires_grad 属性为 False

怎么使用?

首先 import torch

Eg: y^=w×x\widehat{y} = w \times xy=w×x

设置权重

w = torch.Tensor([1.0])

ps:需要用[]括起来

w.requires_grad = true

意思是它是需要计算梯度的,默认是不计算梯度的。

import torch
# y = wx
x_data = [1.0, 2.0, 3.0]
y_data = [2.0, 4.0, 6.0]
k = 0.01    #learning rate
w = torch.Tensor([1.0])
w.requires_grad = True
def forward(x):return w * x    #自动把 x 变成Tensor再参加计算def loss(x, y):return (y - forward(x)) ** 2# Core operationfor epoch in range(1000):for x, y in zip(x_data, y_data):l = loss(x, y)l.backward()    #backwardw.data = w.data - k * w.grad.dataw.grad.data.zero_() #w.grad清零,即释放,用于下次计算print('progress:', epoch, l.item())print("predict (after training):", 4, forward(4).item())

用pytorch实现线性回归

  1. 先构建数据集
  2. 设计模型 (计算y^\widehat{y}y)
  3. 构造损失函数 & 优化器 (using PyTorch API)
  4. 训练周期,前馈 反馈 更新

构建数据集

使用 mini-batch 的风格

在这里插入图片描述

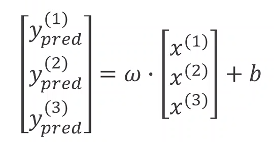
y^=w⋅x+by^1=w⋅x1+by^2=w⋅x2+by^3=w⋅x3+b\begin{gathered}\hat{y}=w \cdot x+b \\ \hat{y}_1=w \cdot x_1+b \\ \hat{y}_2=w \cdot x_2+b \\ \hat{y}_3=w \cdot x_3+b\end{gathered}y^=wx+by^1=wx1+by^2=wx2+by^3=wx3+b

[Loss 1Loss 2Loss 3]=([y^1y^2y^3]−[y1y2y3])23×1\left[\begin{array}{l}\text { Loss } _1 \\ \text { Loss } _2 \\ \text { Loss } _3\end{array}\right]=\underset{3 \times 1}{\left(\left[\begin{array}{l}\hat{y}_1 \\ \hat{y}_2 \\ \hat{y}_3\end{array}\right]-\left[\begin{array}{l}y_1 \\ y_2 \\ y_3\end{array}\right]\right) ^ 2} Loss 1 Loss 2 Loss 3=3×1y^1y^2y^3y1y2y32

import torch
x_data = torch.tensor([[1.0], [2.0], [3.0]])
y_data = torch.tensor([[2.0], [4.0], [6.0]])

设计模型

把模型定义成一个类

class LinearModel(torch.nn.Module):def __init__(self):super(LinearModel, self).__init__()	#构造函数 这一步是必须要有的self.linear = torch.nn.Linear(1, 1) #torch.nn.Linear一个类,(1, 1)构造对象def forward(self, x):	#必须实现 前馈y_pred = self.linear(x)return y_predmodel = LinearModel()

在这里插入图片描述

在这里插入图片描述

构造损失函数 & 优化器

criterion = torch.nn.MSELoss(size_average=True)
optimizer = torch.optim.SGD(model.parameters(), lr = 0.01)

MSELoss 也是继承 nn.Module

之后使用 criterion(y^,y\widehat{y}, yy,y) 就可以把损失算出来

在这里插入图片描述


model.parameters() 告诉优化器哪些参数需要进行随机梯度下降

lr = 0.01 学习率

在这里插入图片描述

训练的过程

for epoch in range(10000):y_pred = model(x_data)	#算出 y_hatloss = criterion(y_pred, y_data)	#算出损失print(epoch, loss)	#loss是一个对象,打印的时候会自动调用__str__(),所以不会产生计算图,是安全的optimizer.zero_grad()	#把所以权重的梯度都归0loss.backward()		#反向传播optimizer.step()	#更新 Update

总结:

  1. 计算 y^\widehat{y}y

  2. loss

    1 & 2 forward

    梯度归零

  3. backward

  4. Update

逻辑蒂斯回归

torchvison

在这里插入图片描述

在这里插入图片描述

目录、训练集还是测试集、是否需要下载(第一次运行或者目录没有)

The database of handwritten digits

  • Training set: 60,000 examples,

  • Test set: 10,000 examples.

  • Classes: 10
    在这里插入图片描述
    在这里插入图片描述

  • Training set: 50,000 examples

  • Test set: 10,000 examples.

  • Classes: 10

Logistic Function

sigmoid

σ(x)=11+e−x\sigma(x) = \frac{1}{1+e^{-x}}σ(x)=1+ex1

y^\widehat{y}y 处理到 [0, 1] 这个区间

在这里插入图片描述

在这里插入图片描述

这种函数在数学里面叫做:饱和函数

当一个函数的导数在输入值趋向于正无穷或负无穷时趋近于零,该函数就被称为饱和函数

other

在这里插入图片描述

BCE损失(二分类的损失函数)

loss⁡=−(ylog⁡y^+(1−y)log⁡(1−y^))\operatorname{loss}=-(y \log \hat{y}+(1-y) \log (1-\hat{y}))loss=(ylogy^+(1y)log(1y^))

真实标签 (y)预测概率 (y^\widehat{y}y)BCE Loss
10.21.6094
10.80.2231
00.30.3567
00.71.2040

Mini-Batch Loss: 0.8483

Mini-Batch Loss Function for Binary Classification:

loss =−1N∑n=1ynlog⁡y^n+(1−yn)log⁡(1−y^n)=-\frac{1}{N} \sum_{n=1} y_n \log \hat{y}_n+\left(1-y_n\right) \log \left(1-\hat{y}_n\right)=N1n=1ynlogy^n+(1yn)log(1y^n)

如何使用

数据准备

x_data =torch.Tensor([[1.0],[2.0],[3.0]])
y_data = torch.Tensor([[0],[0],[1]])    #分类

设计模型

import torch
import torch.nn.functional as F
class LogisticRegressionModel(torch.nn.Module):def __init__(self):super(LogisticRegressionModel, self).__init__()self.linear = torch.nn.Linear(1, 1)##因为sigma没有参数所以上面与之前是一样的def forward(self, x):y_pred = F.sigmoid(self.linear(x))return y_pred
model = LogisticRegressionModel()

构造损失函数 & 优化器

criterion = torch.nn.BCELoss(size_average=False)
optimizer = torch.optim.SGD(model.parameters(), lr=0.01)

训练过程

for epoch in range(1000):y_pred = model(x_data)loss = criterion(y_pred, y_data)print(epoch, loss.item())optimizer.zero_grad()loss.backward()optimizer.step()

多维度特征的输入处理

Eg:

在这里插入图片描述

[x][y][x][y][x][y] 就是输入

Logistic Regression Model:

y^(i)=σ(x(i)∗ω+b)\hat{y}^{(i)}=\sigma\left(x^{(i)} * \omega+b\right)y^(i)=σ(x(i)ω+b)

y^(i)=σ(∑n=18xn(i)⋅ωn+b)\hat{y}^{(i)}=\sigma\left(\sum_{n=1}^8 x_n^{(i)} \cdot \omega_n+b\right)y^(i)=σ(n=18xn(i)ωn+b)

∑n=18xn(i)⋅ωn=[x1(i)⋯x8(i)][ω1⋮ω8]\sum_{n=1}^8 x_n^{(i)} \cdot \omega_n=\left[\begin{array}{lll}x_1^{(i)} & \cdots & x_8^{(i)}\end{array}\right]\left[\begin{array}{c}\omega_1 \\ \vdots \\ \omega_8\end{array}\right]n=18xn(i)ωn=[x1(i)x8(i)]ω1ω8

y^(i)=σ([x1(i)⋯x8(i)][ω1⋮ω8]+b)=σ(z(i))\begin{align*} \hat{\mathbf{y}}^{(i)} &= \sigma\big(\begin{bmatrix}x_1^{(i)} & \cdots & x_8^{(i)}\end{bmatrix}\begin{bmatrix}\omega_1\\\vdots\\\omega_8\end{bmatrix}+b\big) \\ &= \sigma(z^{(i)}) \end{align*} y^(i)=σ([x1(i)x8(i)]ω1ω8+b)=σ(z(i))

Mini-Batch

[y^(1)⋮y^(N)]=[σ(Z(1))⋮σ(Z(N))]=σ([Z(1)⋮Z(N)])\begin{bmatrix} \hat{\mathbf{y}}^{(1)} \\ \vdots \\ \hat{\mathbf{y}}^{(N)} \end{bmatrix} = \begin{bmatrix} \sigma(Z^{(1)}) \\ \vdots \\ \sigma(Z^{(N)}) \end{bmatrix} = \sigma\left(\begin{bmatrix} Z^{(1)} \\ \vdots \\ Z^{(N)} \end{bmatrix}\right) y^(1)y^(N)=σ(Z(1))σ(Z(N))=σZ(1)Z(N)

Z(1)=[x1(1)⋯x8(1)][ω1⋮ω8]+bZ(N)=[x1(N)⋯x8(N)][ω1⋮ω8]+b\begin{aligned} Z^{(1)} &= \begin{bmatrix} x_1^{(1)} & \cdots & x_8^{(1)} \end{bmatrix} \begin{bmatrix} \omega_1 \\ \vdots \\ \omega_8 \end{bmatrix} + b \\ Z^{(N)} &= \begin{bmatrix} x_1^{(N)} & \cdots & x_8^{(N)} \end{bmatrix} \begin{bmatrix} \omega_1 \\ \vdots \\ \omega_8 \end{bmatrix} + b \end{aligned}Z(1)Z(N)=[x1(1)x8(1)]ω1ω8+b=[x1(N)x8(N)]ω1ω8+b

[Z(1)⋮Z(N)]=[x1(1)⋯x8(1)⋮⋱⋮x1(N)⋯x8(N)][ω1⋮ω8]+[b⋮b]\begin{bmatrix} Z^{(1)} \\ \vdots \\ Z^{(N)} \end{bmatrix} = \begin{bmatrix} x_1^{(1)} & \cdots & x_8^{(1)} \\ \vdots & \ddots & \vdots \\ x_1^{(N)} & \cdots & x_8^{(N)} \end{bmatrix} \begin{bmatrix} \omega_1 \\ \vdots \\ \omega_8 \end{bmatrix} + \begin{bmatrix} b \\ \vdots \\ b \end{bmatrix} Z(1)Z(N)=x1(1)x1(N)x8(1)x8(N)ω1ω8+bb

class Model(torch.nn.Module):def __init__(self):super(Model, self).__init__()self.linear = torch.nn.Linear(8, 1)	#维度self.sigmoid = torch.nn.Sigmoid()def forward(self, x):x = self.sigmoid(self.linear(x))return xmodel = Model()

Eg:

image-20250924153106885
import torchclass Model(torch.nn.Module):def __init__(self):super(Model, self).__init__()self.linear1 = torch.nn.Linear(8, 6)self.linear2 = torch.nn.Linear(6, 4)self.linear3 = torch.nn.Linear(4, 1)self.sigmoid = torch.nn.Sigmoid()def forward(self, x):x = self.sigmoid(self.linear1(x))x = self.sigmoid(self.linear2(x))x = self.sigmoid(self.linear3(x))return xmodel = Model()

现在这是一个完整的 PyTorch 神经网络模型代码。这个模型包含:

  • 3个全连接层:8→6→4→1
  • 每层后都使用 Sigmoid 激活函数
  • 最终输出一个标量值

损失 & 优化器没有变化

criterion = torch.nn.BCELoss(size_average=False)
optimizer = torch.optim.SGD(model.parameters(), lr=0.01)

训练

for epoch in range(100):# Forwardy_pred = model(x_data)loss = criterion(y_pred, y_data)print(epoch, loss.item())# Backwardoptimizer.zero_grad()loss.backward()# Updateoptimizer.step()

注意这里使用的仍然是Batch而不是Mini-Batch

NOTICE:
This program has not use Mini-Batchfor training.

We shall talk about DataLoader later.

加载数据集

Dataset and DataLoader

Dataset 和 DataLoader 是 PyTorch 中用于数据加载和处理的核心组件

# Training cycle
for epoch in range(training_epochs):# Loop over all batchesfor i in range(total_batch):    #Mini-Batch

一些定义

Epoch定义

对所有训练样本进行一次前向传播(前馈)和一次反向传播(反馈)

Batch-Size

一次前向传播和反向传播中的训练样本数量

Iteration

每次迭代使用 [批量大小] 数量的示例,进行的遍历次数

Eg:

10000个样本

Batch-Size = 1000

Iteration = 10


DataLoader: batch_size = 2, shuffle = True

其中 shuffle = True 表示需要打乱顺序

  1. 第一步进行Shuffle

  1. 第二步进行分组

    Batch_Size = 2

    在这里插入图片描述

代码实现

import torch
from torch.utils.data import Dataset
from torch.utils.data import DataLoader
# DataLoader是一个帮助我们在PyTorch中加载数据的类
# Dataset一个抽象类,我们可以定义一个继承自该类的子类
class DiabetesDataset(Dataset): #DiabetesDataset继承自抽象类 数据集def __init__(self):passdef __getitem__(self, index):   #表达式dataset[index]将调用这个魔术函数,通过索引把数据拿到passdef __len__(self):  #这个魔术函数返回数据集的长度pass
'''
在构建这个数据集的时候,一般有两种选择
1.  在 init 的时候我们把所有的数据都读到内存里面(适合数据不大的)
2.  定义一个列表把数据的地址放进去,等getitem读取的时候现去文件里读出来再返回
'''
dataset = DiabetesDataset()
train_loader = DataLoader(dataset=dataset,  #传递数据集batch_size=32,    #一个小批量的容量是多少shuffle=True,     #是否要打乱num_workers=2)    #读的是否需要多线程(并行化),需要几个进程

注意:多进程的实现方式在Windows上有所不同,它使用的是spawn而不是fork,所有运行的时候可能会出现问题

如何解决?

if __name__=='_main_':	#添加这个#下面放主程序for epoch in range(100)for i, data in enumerate(train_loader, 0)# 1. Prepare data

多进程安全(就是刚才遇到的问题)

在 Windows 系统下使用多进程时,必须要有这个保护,否则子进程会重复执行主模块代码。

主要步骤

  1. 准备数据集 (主要改动)
  2. 使用继承自nn.Module的类设计模型
  3. 使用PyTorch API构建损失和优化器
  4. 训练周期 前馈、反馈、更新 (主要改动)

完整代码

import numpy as np
import torch
from torch.utils.data import Dataset
from torch.utils.data import DataLoaderclass DiabetesDataset(Dataset):def __init__(self, filepath):xy = np.loadtxt(filepath, delimiter=',', dtype=np.float32)self.len = xy.shape[0]  #(N,9) 第一个就是样本数量self.x_data = torch.from_numpy(xy[:, :-1])self.y_data = torch.from_numpy(xy[:, [-1]])def __getitem__(self, index):return self.x_data[index], self.y_data[index]def __len__(self):return self.lenclass Model(torch.nn.Module):def __init__(self):super(Model, self).__init__()self.linear1 = torch.nn.Linear(8, 6)self.linear2 = torch.nn.Linear(6, 4)self.linear3 = torch.nn.Linear(4, 1)self.sigmoid = torch.nn.Sigmoid()def forward(self, x):x = self.sigmoid(self.linear1(x))x = self.sigmoid(self.linear2(x))x = self.sigmoid(self.linear3(x))return xif __name__=='__main__':	#添加这个dataset = DiabetesDataset('diabetes.csv.gz')train_loader = DataLoader(dataset=dataset,batch_size=32,shuffle=True,num_workers=2)model = Model()criterion = torch.nn.BCELoss(size_average=True)optimizer = torch.optim.SGD(model.parameters(), lr=0.01)for epoch in range(100):for i, data in enumerate(train_loader, 0):  #(可迭代对象,起始索引)# 1.Prepare datainputs, labels = data# 2. Forwardy_pred = model(inputs)loss = criterion(y_pred, labels)print(epoch, i, loss.item())# 3. Backwardoptimizer.zero_grad()loss.backward()# 4. Updateoptimizer.step()
  • shape[0]是第 0 维的大小,即样本的数量(行数)。
  • shape[1]是第 1 维的大小,即每个样本的特征数量(列数)。

多分类问题

在这里插入图片描述

相比二分类我们要改变一下

P(y=1)=0.8P(y=1) = 0.8P(y=1)=0.8

P(y=2)=0.6P(y=2) = 0.6P(y=2)=0.6

P(y=3)=0.9P(y=3) = 0.9P(y=3)=0.9

… …

这种存在相互矛盾,就比如 y=1y = 1y=1y=2y = 2y=2

所以我们应该让概率和等于1,相当于引入竞争机制

因此在最后一层使用 Softmax Later,他可以满足两个条件:

  1. 每一个输出都是 ≥0\geq 00
  2. 概率和等于1

Softmax

P(y=i)=∣ezi∣∑j=0K−1ezj,i∈{0,...,K−1}P(y = i) = \frac{\left| e^{z_i} \right|}{\sum_{j=0}^{K-1} e^{z_j}}, \quad i \in \{0, ..., K-1\}P(y=i)=j=0K1ezjezi,i{0,...,K1}

在这里插入图片描述

Loss

Loss(Y,Y^)=−Ylog⁡(Y^)\text{Loss}(Y, \hat{Y}) = -Y \log(\hat{Y})Loss(Y,Y^)=Ylog(Y^)

在这里插入图片描述

import numpy as np
y = np.array([1, 0, 0])
z = np.array([0.2, 0.1, -0.1])
y_pred = np.exp(z) / np.exp(z).sum()
loss = (-y * np.log(y_pred)).sum()
print(loss)

交叉熵损失

Torch.nn.CrossEntropyLoss()

在这里插入图片描述

注意:最后一步不需要进行非线性变化直接给交叉熵损失函数即可,因为这个函数里面就有Softmax

import torch
y = torch.LongTensor([0])
z = torch.Tensor([[0.2, 0.1, -0.1]])
criterion = torch.nn.CrossEntropyLoss()
loss = criterion(z, y)
print(loss)
import torch
criterion = torch.nn.CrossEntropyLoss()
Y = torch.LongTensor([2, 0, 1])Y_pred1 = torch.Tensor([[0.1, 0.2, 0.9],[1.1, 0.1, 0.2],[0.2, 2.1, 0.1]])
Y_pred2 = torch.Tensor([[0.8, 0.2, 0.3],[0.2, 0.3, 0.5],[0.2, 0.2, 0.5]])l1 = criterion(Y_pred1, Y)
l2 = criterion(Y_pred2, Y)
print('\t',l1.data, '\t', l2.data)
# 	 tensor(0.4966) 	 tensor(1.2389)

LogSoftmax和NLLLoss

  1. LogSoftmax
  • 所在位置:torch.nn.LogSoftmax
  • 作用:对网络输出(logits)做 softmax,再取对数。
  • 输入:通常是未经过归一化的 logits(shape: [batch_size, num_classes])。
  • 输出:对数概率(log-probabilities),shape 和输入一致。

公式:
LogSoftmax(xi)=log⁡(exi∑jexj)\text{LogSoftmax}(x_i) = \log\left(\frac{e^{x_i}}{\sum_j e^{x_j}}\right) LogSoftmax(xi)=log(jexjexi)
特点:

  • 输出的是 对数形式的概率
  • 常和 NLLLoss 搭配,因为 NLLLoss 需要输入 log-prob。

  1. NLLLoss (Negative Log Likelihood Loss)
  • 所在位置:torch.nn.NLLLoss
  • 作用:计算 负对数似然损失,用来训练分类模型。
  • 输入:
    • input:log-probabilities(一般来自 LogSoftmax,shape: [batch_size, num_classes])。
    • target:类别标签(shape: [batch_size],值是类别下标)。
  • 输出:一个标量 loss。

公式:
对于单一样本:
NLLLoss(x,y)=−input[y]\text{NLLLoss}(x, y) = - \text{input}[y] NLLLoss(x,y)=input[y]
也就是取正确类别 y 的 log-prob,然后加个负号。


  1. 两者的关系
  • LogSoftmax 把 logits 转换为 对数概率分布
  • NLLLoss 取目标类别对应的对数概率,取负号,做平均。

因此:

  • 常见组合是 LogSoftmax + NLLLoss
  • 为了方便,PyTorch 提供了 CrossEntropyLoss,它 = LogSoftmax + NLLLoss 的合体,不需要手动分开写。

图像处理

transforms

from torchvision import transforms

from torchvision import transforms# 定义一个常见的图像预处理流水线
transform = transforms.Compose([transforms.Resize(256),                 # 调整大小transforms.CenterCrop(224),             # 中心裁剪transforms.ToTensor(),                  # 转换为Tensor,并将像素值从[0,255]缩放到[0,1]transforms.Normalize(mean=[0.485, 0.456, 0.406],        # ImageNet数据集的RGB均值std=[0.229, 0.224, 0.225]          # ImageNet数据集的RGB标准差)
])# 然后将这个 transform 应用到你的图像上
# from PIL import Image
# image = Image.open("path_to_image.jpg").convert('RGB')
# input_tensor = transform(image)

这里的 meanstd 不是随便设定的,它们应该是你所使用的训练数据集的统计值。

  • 使用预训练模型:如果你在使用在大型数据集(如 ImageNet)上预训练的模型,必须使用该数据集提供的标准值。这是因为预训练模型的权重是基于这些统计值学习得到的。PyTorch官方推荐的ImageNet统计值就是上面例子中的:

    • mean = [0.485, 0.456, 0.406]
    • std = [0.229, 0.224, 0.225]
  • 在自己的数据集上训练:如果你是从头开始训练模型,那么你应该计算自己训练集的均值和标准差。计算方法如下:

    python

    # 假设你的训练数据加载器是 train_loader
    # 数据已经是 ToTensor() 后的,范围在 [0,1]channels_sum, channels_squared_sum, num_batches = 0, 0, 0
    for data, _ in train_loader:# 按维度 (0, 2, 3) 计算均值和平方均值# 即:对每个通道,在所有批次、所有高度、所有宽度上求和channels_sum += torch.mean(data, dim=[0,2,3])channels_squared_sum += torch.mean(data**2, dim=[0,2,3])num_batches += 1mean = channels_sum / num_batches
    # 方差 = E(X^2) - [E(X)]^2
    std = (channels_squared_sum / num_batches - mean ** 2) ** 0.5print("Mean:", mean)
    print("Std:", std)
    

总结

特性说明
功能对图像张量进行标准化,使其各通道数据变为均值为0、标准差为1的分布。
公式output = (input - mean) / std
目的加速模型收敛,提升训练稳定性,提高模型性能。
使用顺序必须在 ToTensor() 之后。
参数选择使用预训练模型时,遵循模型训练时的统计值(如ImageNet的统计值)。自己训练时,计算自己数据集的统计值。
可视化需要反标准化操作才能正确显示。

view()

view() 函数的目的是改变张量的形状(shape),也就是重构(reshape) 张量,而不改变其实际的数据内容。它相当于 NumPy 中的 reshape() 操作。

关键特性: view() 返回的是一个新视图(new view),这意味着返回的张量与原始张量共享底层数据存储。修改新张量会影响原始张量,反之亦然。

new_tensor = tensor.view(*shape)
  • tensor:要进行形状变换的原始张量。

  • *shape:目标形状。可以是一个整数序列,也可以是多个整数参数。

使用 -1 自动计算维度

-1 是一个非常有用的占位符,它表示 “请自动计算这个维度的大小,以保证总元素个数不变”。

规则很简单:新形状中所有维度的乘积必须等于原始张量的总元素数

例如,一个包含 12 个元素的张量:

  • view(3, 4) -> 3*4=12
  • view(2, -1) -> 2*6=12 (系统自动算出是6)
  • view(-1, 3) -> 4*3=12 (系统自动算出是4)
  • view(2, 2, -1) -> 223=12 (系统自动算出是3)

注意: 在形状参数中,最多只能有一个 -1

Minist

import torch
from torchvision import transforms
from torchvision import datasets
from torch.utils.data import DataLoader
import torch.nn.functional as F
import torch.optim as optim #关于构建关键优化器
class Net(torch.nn.Module):def __init__(self):super(Net, self).__init__()self.l1 = torch.nn.Linear(784, 512)self.l2 = torch.nn.Linear(512, 256)self.l3 = torch.nn.Linear(256, 128)self.l4 = torch.nn.Linear(128, 64)self.l5 = torch.nn.Linear(64, 32)self.l6 = torch.nn.Linear(32, 10)def forward(self, x):x = x.view(-1, 784)x = F.relu((self.l1(x)))x = F.relu((self.l2(x)))x = F.relu((self.l3(x)))x = F.relu((self.l4(x)))x = F.relu((self.l5(x)))return self.l6(x)
#下载数据 &  原始图像处理
batch_size = 64
transform = transforms.Compose([transforms.ToTensor(),  #将 PIL图像转换成张量 Tensortransforms.Normalize((0.1307, ), (0.3081, )) #单通道灰度图片# 核心作用是对张量(通常是图像张量)进行标准化(或称归一化)
])
'''
datasets.MNIST 内部已经实现了 Dataset 类!您可以把它想象成:
# torchvision.datasets.mnist.py 内部的简化实现
class MNIST(VisionDataset):def __init__(self, root, train=True, transform=None, target_transform=None, download=False):super().__init__(root, transform=transform, target_transform=target_transform)self.train = trainself.data, self.targets = self._load_data()def __getitem__(self, index):img = self.data[index]target = self.targets[index]# 转换为PIL图像img = Image.fromarray(img.numpy(), mode='L')# 应用transformif self.transform is not None:img = self.transform(img)return img, targetdef __len__(self):return len(self.data)
'''
train_dataset = datasets.MNIST(root='./dataset/mnist/',train=True,download=True,transform=transform)
train_loader = DataLoader(train_dataset,batch_size=batch_size,shuffle=True)
test_dataset = datasets.MNIST(root='./dataset/mnist/',train=False,download=True,transform=transform)
test_loader = DataLoader(test_dataset,shuffle=False,batch_size=batch_size)model = Net()
criterion = torch.nn.CrossEntropyLoss()
optimizer = optim.SGD(model.parameters(), lr=0.01, momentum=0.5)    #引入动量 带动量的随机梯度下降(SGD with Momentum)def train(epoch):running_loss = 0.0for batch_idx, data in enumerate(train_loader, 0):inputs, target = dataoptimizer.zero_grad()output = model(inputs)loss = criterion(output, target)loss.backward()optimizer.step()running_loss += loss.item()if batch_idx % 300 == 299:print('[%d, %5d] loss: %.3f' %(epoch+1, batch_idx + 1, running_loss / 300))running_loss = 0.0def test():correct = 0total = 0with torch.no_grad():for data in test_loader:images, labels = dataoutputs = model(images)_, predicted = torch.max(outputs, dim = 1)total += labels.size(0)correct += (predicted == labels).sum().item()print('Accuracy on test set: %d %%' % (100 * correct / total))if __name__=='__main__':for epoch in range(10):train(epoch)test()

卷积神经网络 CNN(基础篇)

CNN 与 DNN 对比

CNN是为处理具有网格状拓扑结构的数据(如图像)而专门设计的,它通过“卷积”操作高效地提取空间特征;而DNN是一种通用的网络结构,它将输入数据视为一维向量,忽略了空间信息。

特性卷积神经网络 (CNN)全连接神经网络 (DNN)
核心思想局部连接权重共享。一个神经元只连接输入数据的局部区域(如图像的一小块),并且使用同一组权重(卷积核)在整个输入上滑动扫描。全局连接。相邻层的每一个神经元都与上一层的所有神经元相连。
处理数据方式保持空间结构。将数据(如图像)视为二维或三维的网格结构进行处理。破坏空间结构。必须将输入数据(如图像)展平 成一个一维长向量,丢失了所有的空间信息。
参数数量相对较少。由于局部连接和权重共享,大大减少了需要学习的参数数量。极其庞大。随着输入尺寸和网络深度的增加,参数数量会爆炸性增长,容易导致过拟合和计算困难。
主要应用领域图像处理(分类、检测、分割)、视频分析自然语言处理(文本分类、机器翻译)等。通用,但在处理图像等高维数据时效率低下。常用于表格数据、简单的分类和回归任务。
特征提取方式自动、分层提取。浅层网络学习边缘、角落等低级特征;深层网络组合低级特征形成纹理、物体部件等更高级别的特征。手动或依赖网络自己学习。如果输入是原始像素,网络需要从零开始学习所有特征组合,效率低且困难。
平移不变性天生具备。同一个物体在图像的不同位置,CNN都能识别出来,因为卷积核是滑动工作的。不具备。一个物体如果移动了位置,对于展平后的输入向量来说,像素的排列完全不同,网络可能认为这是一个新模式。

CNN

在这里插入图片描述

单通道

在这里插入图片描述

在这里插入图片描述

多通道(3通道为例)

在这里插入图片描述

在这里插入图片描述

在这里插入图片描述

权重维度

在这里插入图片描述

import torch
in_channels, out_channels = 5, 10
width, height = 100, 100
kernel_size = 3
batch_size = 1input = torch.randn(batch_size,in_channels,width,height)
conv_layer = torch.nn.Conv2d(in_channels,out_channels,kernel_size)
output = conv_layer(input)print(input.shape)
print(output.shape)
print(conv_layer.weight.shape)

padding

在这里插入图片描述

import torch
input = [3, 4, 6, 5, 7,2, 4, 6, 8, 2,1, 6, 7, 8, 4,9, 7, 4, 6, 2,3, 7 ,5, 4, 1]
input = torch.Tensor(input).view(1, 1, 5, 5)    #B C W Hconv_layer = torch.nn.Conv2d(1, 1, kernel_size=3, padding=1, bias=False)kernel = torch.Tensor([1, 2, 3, 4, 5, 6, 7, 8, 9]).view(1, 1, 3, 3)  #O I W H
conv_layer.weight.data = kernel.dataoutput = conv_layer(input)
print(output)

padding小技巧:

padding = kernel_size / 2 整除

stride

在这里插入图片描述

import torch
input = [3, 4, 6, 5, 7,2, 4, 6, 8, 2,1, 6, 7, 8, 4,9, 7, 4, 6, 2,3, 7 ,5, 4, 1]
input = torch.Tensor(input).view(1, 1, 5, 5)    #B C W Hconv_layer = torch.nn.Conv2d(1, 1, kernel_size=3, stride=2, bias=False)kernel = torch.Tensor([1, 2, 3, 4, 5, 6, 7, 8, 9]).view(1, 1, 3, 3)  #O I W H
conv_layer.weight.data = kernel.dataoutput = conv_layer(input)
print(output)

下采样

MaxPooling

在这里插入图片描述

import torch
input = [3, 4, 6, 5,2, 4, 6, 8,1, 6, 7, 5,9, 7, 4, 6,]
input = torch.Tensor(input).view(1, 1, 4, 4)    #B C W Hmaxpooling_layer = torch.nn.MaxPool2d(kernel_size=2)output = maxpooling_layer(input)
print(output)
输出高度 = (输入高度 + 2×padding - kernel_size) / stride + 1
输出宽度 = (输入宽度 + 2×padding - kernel_size) / stride + 1

手写数字(实例)

在这里插入图片描述

在这里插入图片描述

如何在GPU上跑

model = Net()
device = torch.device("cuda:0" if torch.cuda.is_available() else "cpu")
model.to(device)# 在训练\测试中
inputs, target = inputs.to(device), target.to(device)

mnist_CNN

import torch
import torch.nn.functional as F
import numpy
import torch.optim as optim #关于构建关键优化器
from torch.utils.data import DataLoader, Dataset
from torchvision import transforms
from torchvision import datasets
class Net(torch.nn.Module):def __init__(self):super(Net, self).__init__()self.conv1 = torch.nn.Conv2d(1, 10, kernel_size=5)self.conv2 = torch.nn.Conv2d(10, 20, kernel_size=5)self.pooling = torch.nn.MaxPool2d(2)self.fc = torch.nn.Linear(320, 10)def forward(self, x):# Flatten data from (n, 1, 28, 28) to (n, 784)batch_size = x.size(0)x = self.pooling(F.relu(self.conv1(x)))x = self.pooling(F.relu(self.conv2(x)))x = x.view(batch_size, -1)x = self.fc(x)return xmodel = Net()
device = torch.device("cuda:0" if torch.cuda.is_available() else "cpu")
model.to(device)
batch_size = 64
transform = transforms.Compose([transforms.ToTensor(),  #将 PIL图像转换成张量 Tensortransforms.Normalize((0.1307, ), (0.3081, )) #单通道灰度图片# 核心作用是对张量(通常是图像张量)进行标准化(或称归一化)
])
train_dataset = datasets.MNIST(root='./dataset/mnist/',train=True,download=True,transform=transform)
train_loader = DataLoader(train_dataset,batch_size=batch_size,shuffle=True)
test_dataset = datasets.MNIST(root='./dataset/mnist/',train=False,download=True,transform=transform)
test_loader = DataLoader(test_dataset,shuffle=False,batch_size=batch_size)
criterion = torch.nn.CrossEntropyLoss()
optimizer = optim.SGD(model.parameters(), lr=0.01, momentum=0.5)
#引入动量 带动量的随机梯度下降(SGD with Momentum)
def train(epoch):running_loss = 0.0for batch_idx, data in enumerate(train_loader, 0):inputs, target = datainputs, target = inputs.to(device), target.to(device)optimizer.zero_grad()output = model(inputs)loss = criterion(output, target)loss.backward()optimizer.step()running_loss += loss.item()if batch_idx % 300 == 299:print('[%d, %5d] loss: %.3f' %(epoch+1, batch_idx + 1, running_loss / 300))running_loss = 0.0def test():correct = 0total = 0with torch.no_grad():for data in test_loader:images, labels = dataimages, labels = images.to(device), labels.to(device)outputs = model(images)_, predicted = torch.max(outputs, dim = 1)total += labels.size(0)correct += (predicted == labels).sum().item()print('Accuracy on test set: %d %%' % (100 * correct / total))if __name__=='__main__':for epoch in range(10):train(epoch)test()

CNN(高级篇)

GoogLeNet

在这里插入图片描述

Inception Module

提供候选

Inception Module的核心思想是:在同一个层级上使用多种不同尺寸的卷积核,让网络自动学习选择最合适的特征尺度

在这里插入图片描述

Concatenate:

在这里插入图片描述

cat

在这里 outputs张量 [B, in_channels, H, W] [batch_size, 输入通道数, 高度, 宽度]

torch.cat(outputs, dim=1)

torch.cat() 用于沿指定维度拼接多个张量。

torch.cat(tensors, dim=0, *, out=None) → Tensor
  • tensors: 要拼接的张量序列(list或tuple)

  • dim: 沿哪个维度进行拼接

  • out: 可选的输出张量

在这里插入图片描述

CODE

import torch
import torch.nn.functional as F
class InceptionA(torch.nn.Module):def __init__(self, in_channels):super(InceptionA, self).__init__()#1self.branch1x1 = torch.nn.Conv2d(in_channels, 16, kernel_size=1)#2self.branch5x5_1 = torch.nn.Conv2d(in_channels, 16, kernel_size=1)self.branch5x5_2 = torch.nn.Conv2d(16, 24, kernel_size=5, padding=2)#3self.branch3x3_1 = torch.nn.Conv2d(in_channels, 16, kernel_size=1)self.branch3x3_2 = torch.nn.Conv2d(16, 24, kernel_size=3, padding=1)self.branch3x3_3 = torch.nn.Conv2d(24, 24, kernel_size=3, padding=1)#4self.branch_pool = torch.nn.Conv2d(in_channels, 24, kernel_size=1)def forward(self, x):#1branch1x1 = self.branch1x1(x)#2branch5x5 = self.branch5x5_1(x)branch5x5 = self.branch5x5_2(branch5x5)#3branch3x3 = self.branch3x3_1(x)branch3x3 = self.branch3x3_2(branch3x3)branch3x3 = self.branch3x3_3(branch3x3)#4branch_pool = F.avg_pool2d(x, kernel_size=3, stride=1, padding=1)'''输出高度 = (输入高度 + 2×padding - kernel_size) / stride + 1输出宽度 = (输入宽度 + 2×padding - kernel_size) / stride + 1'''branch_pool = self.branch_pool(branch_pool)#catoutputs = [branch1x1, branch5x5, branch3x3, branch_pool]return torch.cat(outputs, dim=1)class Net(torch.nn.Module):def __init__(self):super(Net, self).__init__()self.conv1 = torch.nn.Conv2d(1, 10, kernel_size=5)self.conv2 = torch.nn.Conv2d(88, 20, kernel_size=5)self.incep1 = InceptionA(in_channels=10)self.incep2 = InceptionA(in_channels=20)self.mp = torch.nn.MaxPool2d(2)self.fc = torch.nn.Linear(1408, 10)def forward(self, x):in_size = x.size(0)x = F.relu(self.mp(self.conv1(x)))x = self.incep1(x)x = F.relu(self.mp(self.conv2(x)))x = self.incep2(x)x = x.view(in_size, -1)x = self.fc(x)return x

Deep Residual Learning 深度残差学习

在这里插入图片描述

用来解决梯度消失问题

H(x)=F(x)+xH(x) = F(x) + xH(x)=F(x)+x

这个要满足一个前提:输出张量维度 = 输入张量维度

在这里插入图片描述

在这里插入图片描述

图中虚线是指: 输入张量维度不等于输出张量维度,这个地方要单独处理

  1. 直接不跳连接
  2. 将 x 进行最大池化操作
  3. 其他

EG

在这里插入图片描述

import torch
import torch.nn.functional as Fclass ResidualBlock(torch.nn.Module):def __init__(self, channels):super(ResidualBlock, self).__init__()self.channels = channelsself.conv1 = torch.nn.Conv2d(channels, channels, kernel_size=3, padding=1)self.conv2 = torch.nn.Conv2d(channels, channels, kernel_size=3, padding=1)def forward(self, x):y = F.relu(self.conv1(x))y = self.conv2(y)return F.relu(x + y)class Net(torch.nn.Module):def __init__(self):super(Net, self).__init__()self.conv1 = torch.nn.Conv2d(1, 16, kernel_size=5)self.conv2 = torch.nn.Conv2d(16, 32, kernel_size=5)self.mp = torch.nn.MaxPool2d(2)self.rblock1 = ResidualBlock(16)self.rblock2 = ResidualBlock(32)self.fc = torch.nn.Linear(512, 10)def forward(self, x):in_size = x.size(0)x = self.mp(F.relu(self.conv1(x)))x = self.rblock1(x)x = self.mp(F.relu((self.conv2(x))))x = self.view(in_size, -1)x = self.fc(x)return x

可以阅读文献以来扩展

  1. He K, Zhang X, Ren S, et al. Identity Mappings in Deep Residual Networks[C]

  2. Huang G, Liu Z, Laurens V D M, et al. Densely Connected Convolutional NetworksIJl. 2016:2261-2269.

循环神经网络RNN(基础篇)

1.基本概念

RNN 是一种 处理序列数据 的神经网络模型。它的最大特点是:

  • 引入循环结构:当前时刻的输出不仅依赖于当前输入,还依赖于上一个时刻的隐藏状态。
  • 这样网络就能“记住”一定的历史信息,适合处理 时间序列上下文相关 的任务。

公式可以简单表示为:
ht=f(Wxhxt+Whhht−1+bh)h_t = f(W_{xh} x_t + W_{hh} h_{t-1} + b_h) ht=f(Wxhxt+Whhht1+bh)
其中:

  • xtx_txt:当前输入
  • hth_tht:当前隐藏状态
  • ht−1h_{t-1}ht1:前一时刻隐藏状态
  • yty_tyt:输出

2. 应用场景

RNN 特别适合处理顺序相关的任务:

  • 自然语言处理:机器翻译、文本生成、语音识别
  • 时间序列预测:股票预测、传感器数据分析
  • 序列标注任务:词性标注、命名实体识别

3. 局限性

  • 梯度消失/爆炸:在长序列训练时,RNN 难以捕捉长距离依赖。
  • 并行性差:计算依赖前一时刻,训练效率低。

4. 改进模型

为了解决上述问题,出现了很多改进版本:

  • LSTM(Long Short-Term Memory):引入门控机制,能记忆更长的序列。
  • GRU(Gated Recurrent Unit):简化版的 LSTM,效果接近但结构更简单。

在这里插入图片描述

在这里插入图片描述

如何实现

自己设置 RNN Cell

cell = torch.nn.RNNCell(input_size=input_size, hidden_size=hidden_size)

需要两个值:

  1. 输入的维度
  2. 隐层的维度

有了这两个值就可以把权重的维度和偏置的维度确定下来

本质上还是一个线形层

在这里插入图片描述

在这里插入图片描述

Eg:

在这里插入图片描述
在这里插入图片描述

在这里插入图片描述

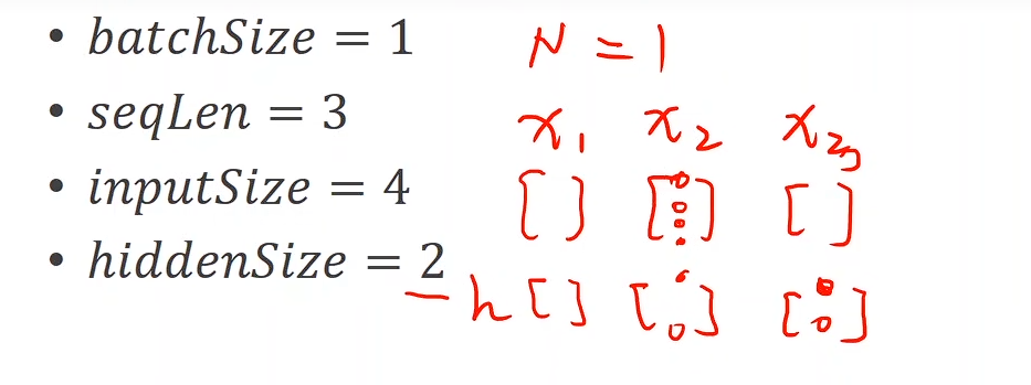
import torch# Set Parameters
batch_size = 1
seq_len = 3
input_size = 4
hidden_size = 2# Construction of RNNCell
cell = torch.nn.RNNCell(input_size=input_size, hidden_size=hidden_size)# (seq, batch, features)
dataset = torch.randn(seq_len, batch_size, input_size)
hidden = torch.zeros(batch_size, hidden_size)   #Initializing the hidden to zerofor idx, input in enumerate(dataset):print('=' * 20, idx, '=' * 20)print('Input size:', input.shape)hidden = cell(input, hidden)print('hidden size', hidden.shape)print(hidden)

torch.randn(...)

  • 生成一个张量(tensor),元素来自 标准正态分布 N(0,1)(均值为 0,方差为 1)。
  • 每次运行会得到不同的随机数。

使用RNN

cell = torch.nn.RNN(input_size=input_size, hidden_size= = hidden_size, num_layers = num_layers)

在这里插入图片描述

在这里插入图片描述

  • Suppose we have sequence with below properties:
    • batchSize
    • seqLen
    • inputSize, hiddenSize
    • numLayers

  • The shape of input and h₀ of RNN:
    • input.shape = (seqLen, batchSize, inputSize)
    • h₀.shape = (numLayers, batchSize, hiddenSize)

  • The shape of output and hₙ of RNN:
    • output.shape = (seqLen, batchSize, hiddenSize)
    • hₙ.shape = (numLayers, batchSize, hiddenSize)
RNN - numLayers

在这里插入图片描述

import torchbatch_size = 1
seq_len= 3
input_size = 4
hidden_size = 2
num_layers = 1cell = torch.nn.RNN(input_size=input_size, hidden_size=hidden_size, num_layers=num_layers)# (seqLen, batchSize, inputSize)
inputs = torch.randn(seq_len, batch_size, input_size)
hidden = torch.zeros(num_layers, batch_size, hidden_size)out, hidden = cell(inputs, hidden)print('Output size:', out.shape)
print('Output', out)
print('Hidden size:', hidden.shape)
print('Hidden:', hidden)
batch_first

有时候这样操作后更好构造

在这里插入图片描述

Eg:

Train a model to learn:

$ hello\ \to \ ohlol$

在这里插入图片描述

RNN 单元的输入应该是数字向量:

在这里插入图片描述

InputSize = 4

在这里插入图片描述

RNN单元的输出应为预测向量

OutputSize = 4

RNN_Cell方法:
import torchinput_size = 4
hidden_size = 4
batch_size = 1
# Prepare data
idx2char = ['e', 'h', 'l', 'o']
x_data = [1, 0, 2, 2, 3]
y_data = [3, 1, 2, 3, 2]one_hot_lookup = [[1, 0, 0, 0],[0, 1, 0, 0],[0, 0, 1, 0],[0, 0, 0, 1]]
x_one_hot = [one_hot_lookup[x] for x in x_data]inputs = torch.Tensor(x_one_hot).view(-1, batch_size, input_size)
labels = torch.LongTensor(y_data).view(-1, 1)class Model(torch.nn.Module):def __init__(self, input_size, hidden_size, batch_size):super(Model, self).__init__()# self.num_layers = num_layersself.batch_size = batch_sizeself.input_size = input_sizeself.hidden_size = hidden_sizeself.rnncell = torch.nn.RNNCell(input_size = self.input_size,hidden_size=hidden_size)def forward(self, input, hidden):hidden = self.rnncell(input, hidden)return hiddendef init_hidden(self):return torch.zeros(self.batch_size, self.hidden_size)net = Model(input_size, hidden_size, batch_size)criterion = torch.nn.CrossEntropyLoss()
optimizer = torch.optim.Adam(net.parameters(), lr=0.1)for epoch in range(20):loss = 0optimizer.zero_grad()hidden = net.init_hidden()print('Predicted string:', end = '')for input, label in zip(inputs, labels):hidden = net(input, hidden)loss += criterion(hidden, label)_, idx = hidden.max(dim = 1)print(idx2char[idx.item()], end='')loss.backward()optimizer.step()print(', Epoch [%5d/20] loss=%.4f' % (epoch + 1, loss.item()))
使用RNN方法
import torchinput_size = 4
hidden_size = 4
batch_size = 1
num_layers = 1
seq_len = 5
# Prepare data
idx2char = ['e', 'h', 'l', 'o']
x_data = [1, 0, 2, 2, 3]
y_data = [3, 1, 2, 3, 2]one_hot_lookup = [[1, 0, 0, 0],[0, 1, 0, 0],[0, 0, 1, 0],[0, 0, 0, 1]]
x_one_hot = [one_hot_lookup[x] for x in x_data]inputs = torch.Tensor(x_one_hot).view(seq_len, batch_size, input_size)
labels = torch.LongTensor(y_data)class Model(torch.nn.Module):def __init__(self, input_size, hidden_size, batch_size, num_layers=1):super(Model, self).__init__()self.num_layers = num_layersself.batch_size = batch_sizeself.input_size = input_sizeself.hidden_size = hidden_sizeself.rnn = torch.nn.RNN(input_size = self.input_size,hidden_size=hidden_size,num_layers = num_layers)def forward(self, input):hidden = torch.zeros(self.num_layers,self.batch_size,self.hidden_size)out, _ = self.rnn(input, hidden)return out.view(-1, self.hidden_size)net = Model(input_size, hidden_size, batch_size, num_layers)criterion = torch.nn.CrossEntropyLoss()
optimizer = torch.optim.Adam(net.parameters(), lr=0.1)for epoch in range(100):optimizer.zero_grad()outputs = net(inputs)loss = criterion(outputs, labels)loss.backward()optimizer.step()_, idx = outputs.max(dim = 1)idx = idx.data.numpy()print('Predicted:', ''.join(idx2char[x] for x in idx), end='')print(', Epoch [%5d/100] loss=%.4f' % (epoch + 1, loss.item()))

EMBEDDING

在这里插入图片描述

将高维稀疏的样本 映射到 稠密低维的 (常说的数据降维,当然这个操作可以降维也可以升维)

import torchnum_class = 4
input_size = 4
hidden_size = 8
embedding_size = 10
num_layers = 2
batch_size = 1
seq_len = 5
idx2char = ['e', 'h', 'l', 'o']
x_data = [[1, 0, 2, 2, 3]]
y_data = [3, 1, 2, 3, 2]inputs = torch.LongTensor(x_data)
labels = torch.LongTensor(y_data)
class Model(torch.nn.Module):def __init__(self):super(Model, self).__init__()self.emb = torch.nn.Embedding(input_size, embedding_size)self.rnn = torch.nn.RNN(input_size=embedding_size,hidden_size=hidden_size,num_layers=num_layers,batch_first=True)self.fc = torch.nn.Linear(hidden_size, num_class)def forward(self, x):hidden = torch.zeros(num_layers, x.size(0), hidden_size)x = self.emb(x)x, _ = self.rnn(x, hidden)x = self.fc(x)return x.view(-1, num_class)net = Model()criterion = torch.nn.CrossEntropyLoss()
optimizer = torch.optim.Adam(net.parameters(), lr=0.05)for epoch in range(20):optimizer.zero_grad()outputs = net(inputs)loss = criterion(outputs, labels)loss.backward()optimizer.step()_, idx = outputs.max(dim=1)idx = idx.data.numpy()print('Predicted:', ''.join(idx2char[x] for x in idx), end='')print(', Epoch [%5d/20] loss=%.4f' % (epoch + 1, loss.item()))

LSTM

1. LSTM 的基本概念

LSTM(Long Short-Term Memory)是一种特殊的循环神经网络(RNN),专门设计用来解决传统RNN的梯度消失/爆炸问题,能够学习长期依赖关系。

2. LSTM 的核心结构

LSTM 的关键在于其门控机制,包含三个门:

三个门控结构:

import torch
import torch.nn as nn# LSTM 单元的基本运算
class LSTMCell(nn.Module):def __init__(self, input_size, hidden_size):super().__init__()# 输入门、遗忘门、输出门、候选细胞状态self.linear = nn.Linear(input_size + hidden_size, 4 * hidden_size)def forward(self, x, h, c):# x: 当前输入, h: 隐藏状态, c: 细胞状态combined = torch.cat([x, h], dim=1)gates = self.linear(combined)# 分割为四个部分i, f, g, o = gates.chunk(4, 1)# 激活函数i = torch.sigmoid(i)  # 输入门f = torch.sigmoid(f)  # 遗忘门g = torch.tanh(g)     # 候选值o = torch.sigmoid(o)  # 输出门# 更新细胞状态c_new = f * c + i * g# 更新隐藏状态h_new = o * torch.tanh(c_new)return h_new, c_new

3. LSTM 的三个门详解

遗忘门(Forget Gate)

决定从细胞状态中丢弃什么信息

f_t = σ(W_f · [h_{t-1}, x_t] + b_f)

输入门(Input Gate)

决定什么新信息被存储到细胞状态中

i_t = σ(W_i · [h_{t-1}, x_t] + b_i)
g_t = tanh(W_g · [h_{t-1}, x_t] + b_g)

输出门(Output Gate)

基于细胞状态决定输出什么信息

o_t = σ(W_o · [h_{t-1}, x_t] + b_o)
h_t = o_t * tanh(c_t)

4. PyTorch 中的 LSTM 使用

基本用法:

import torch.nn as nn# 定义 LSTM
lstm = nn.LSTM(input_size=100,    # 输入特征维度hidden_size=128,   # 隐藏层维度num_layers=2,      # LSTM 层数batch_first=True,  # 输入形状为 (batch, seq, feature)dropout=0.2,       # 层间dropoutbidirectional=False # 是否双向
)# 前向传播
input_data = torch.randn(32, 10, 100)  # (batch, seq_len, input_size)
h0 = torch.zeros(2, 32, 128)  # (num_layers, batch, hidden_size)
c0 = torch.zeros(2, 32, 128)  # (num_layers, batch, hidden_size)output, (hn, cn) = lstm(input_data, (h0, c0))
print(f"Output shape: {output.shape}")  # (32, 10, 128)
print(f"Hidden state shape: {hn.shape}")  # (2, 32, 128)

Eg:

import torchnum_class = 4
input_size = 4
hidden_size = 8
embedding_size = 10
num_layers = 2
batch_size = 1
seq_len = 5
idx2char = ['e', 'h', 'l', 'o']
x_data = [[1, 0, 2, 2, 3]]
y_data = [3, 1, 2, 3, 2]inputs = torch.LongTensor(x_data)
labels = torch.LongTensor(y_data)class Model(torch.nn.Module):def __init__(self):super(Model, self).__init__()self.emb = torch.nn.Embedding(input_size, embedding_size)self.lsrm = torch.nn.LSTM(input_size=embedding_size,hidden_size=hidden_size,num_layers=num_layers,batch_first=True)self.fc = torch.nn.Linear(hidden_size, num_class)def forward(self, x):hidden = torch.zeros(num_layers, x.size(0), hidden_size)x = self.emb(x)x, _ =self.lsrm(x)x = self.fc(x)return x.view(-1, num_class)net = Model()criterion = torch.nn.CrossEntropyLoss()
optimizer = torch.optim.Adam(net.parameters(), lr=0.05)for epoch in range(20):optimizer.zero_grad()outputs = net(inputs)loss = criterion(outputs, labels)loss.backward()optimizer.step()_, idx = outputs.max(dim=1)idx = idx.data.numpy()print('Predicted:', ''.join(idx2char[x] for x in idx), end='')print(', Epoch [%5d/20] loss=%.4f' % (epoch + 1, loss.item()))

5. LSTM 的优势

相比传统RNN的优势:

  1. 解决梯度消失:通过门控机制和细胞状态
  2. 长期记忆:可以记住数百个时间步之前的信息
  3. 选择性记忆:自动学习记住重要信息,忘记不重要信息

应用场景:

  • 自然语言处理:机器翻译、文本生成、情感分析
  • 时间序列预测:股票价格、天气预测
  • 语音识别:音频序列处理
  • 视频分析:动作识别

GRU

重置门(Reset Gate)

决定如何将新的输入与之前的记忆结合

r_t = σ(W_r · [h_{t-1}, x_t] + b_r)

更新门(Update Gate)

决定多少之前的信息传递到当前状态

z_t = σ(W_z · [h_{t-1}, x_t] + b_z)

候选隐藏状态

h̃_t = tanh(W · [r_t * h_{t-1}, x_t] + b)

最终隐藏状态

h_t = z_t * h_{t-1} + (1 - z_t) * h̃_t

4. PyTorch 中的 GRU 使用

基本用法:

import torch.nn as nn# 定义 GRU
gru = nn.GRU(input_size=100,    # 输入特征维度hidden_size=128,   # 隐藏层维度num_layers=2,      # GRU 层数batch_first=True,  # 输入形状为 (batch, seq, feature)dropout=0.2,       # 层间dropoutbidirectional=False # 是否双向
)# 前向传播
input_data = torch.randn(32, 10, 100)  # (batch, seq_len, input_size)
h0 = torch.zeros(2, 32, 128)  # (num_layers, batch, hidden_size)output, hn = gru(input_data, h0)
print(f"Output shape: {output.shape}")  # (32, 10, 128)
print(f"Hidden state shape: {hn.shape}")  # (2, 32, 128)

Eg:

import torchnum_class = 4
input_size = 4
hidden_size = 8
embedding_size = 10
num_layers = 2
batch_size = 1
seq_len = 5
idx2char = ['e', 'h', 'l', 'o']
x_data = [[1, 0, 2, 2, 3]]
y_data = [3, 1, 2, 3, 2]inputs = torch.LongTensor(x_data)
labels = torch.LongTensor(y_data)class Model(torch.nn.Module):def __init__(self):super(Model, self).__init__()self.emb = torch.nn.Embedding(input_size, embedding_size)self.gru = torch.nn.GRU(input_size=embedding_size,hidden_size=hidden_size,num_layers=num_layers,batch_first=True)self.fc = torch.nn.Linear(hidden_size, num_class)def forward(self, x):hidden = torch.zeros(num_layers, x.size(0), hidden_size)x = self.emb(x)x, _ =self.gru(x)x = self.fc(x)return x.view(-1, num_class)net = Model()criterion = torch.nn.CrossEntropyLoss()
optimizer = torch.optim.Adam(net.parameters(), lr=0.05)for epoch in range(20):optimizer.zero_grad()outputs = net(inputs)loss = criterion(outputs, labels)loss.backward()optimizer.step()_, idx = outputs.max(dim=1)idx = idx.data.numpy()print('Predicted:', ''.join(idx2char[x] for x in idx), end='')print(', Epoch [%5d/20] loss=%.4f' % (epoch + 1, loss.item()))

GRU vs LSTM

结构对比:

特性GRULSTM
参数数量较少较多
训练速度较快较慢
门控数量2个(重置门、更新门)3个(输入门、遗忘门、输出门)
状态数量1个(隐藏状态)2个(隐藏状态、细胞状态)
性能在大多数任务上与LSTM相当在某些需要长期记忆的任务上略优

相比LSTM的优势:

  1. 参数更少:少了1个门和细胞状态,计算更高效
  2. 训练更快:更简单的结构意味着更快的训练速度
  3. 内存占用更小:只需要维护一个隐藏状态
  4. 在某些任务上表现更好:特别是小数据集

应用场景:

  • 文本生成:比LSTM训练更快
  • 机器翻译:在很多翻译模型中替代LSTM
  • 语音识别:实时性要求高的场景
  • 时间序列预测:需要快速训练的场景

RNN(高级篇)

Name Classification

在这里插入图片描述

在这里插入图片描述

在这里插入图片描述

在这里插入图片描述

在这里插入图片描述

import os
os.environ["KMP_DUPLICATE_LIB_OK"] = "TRUE"
import math
import timeimport matplotlib.pyplot as plt
import numpy as np
import torch
from torch.nn.utils.rnn import pack_padded_sequence
from torch.utils.data import Dataset, DataLoader
import pandas as pdN_CHARS = 128
HIDDEN_SIZE =100
BATCH_SIZE = 256
N_LAYER = 2
N_EPOCHS = 100
USE_GPU = Trueclass NameDataset(Dataset):def __init__(self, is_train_set=True):filename = './dataset/name_classification/names_train.csv' if is_train_set else './dataset/name_classification/names_test.csv'df = pd.read_csv(filename, header=None, names=['name', 'country'])self.names = df['name'].valuesself.len = len(self.names)self.countries = df['country'].valuesself.country_list = list(sorted(set(self.countries)))self.country_dict = self.getCountryDict()self.country_num = len(self.country_list)def __getitem__(self, idx):return self.names[idx], self.country_dict[self.countries[idx]]def __len__(self):return self.lendef getCountryDict(self):country_dict = dict()for idx, country_name in enumerate(self.country_list, 0):country_dict[country_name] = idxreturn country_dictdef idx2country(self, idx):return self.country_list[idx]def getCountriesNum(self):return self.country_numclass RNNClassifier(torch.nn.Module):def __init__(self, input_size, hidden_size, output_size, n_layers=1, bidirectional=True):super(RNNClassifier, self).__init__()self.hidden_size = hidden_sizeself.n_layers = n_layersself.n_directions = 2 if bidirectional else 1self.embedding = torch.nn.Embedding(input_size, hidden_size)self.gru = torch.nn.GRU(hidden_size, hidden_size, n_layers, bidirectional=bidirectional)self.fc = torch.nn.Linear(hidden_size * self.n_directions, output_size)def _init_hidden(self, batch_size):hidden = torch.zeros(self.n_layers * self.n_directions, batch_size, self.hidden_size)return create_tensor(hidden)def forward(self, input, seq_lengths):# input shape: B x S -> S x Binput = input.t()batch_size = input.size(1)hidden = self._init_hidden(batch_size)embedding = self.embedding(input)#pack them upgru_input = pack_padded_sequence(embedding, seq_lengths)output, hidden = self.gru(gru_input, hidden)if self.n_directions == 2:hidden_cat = torch.cat([hidden[-1], hidden[-2]], dim=1)else:hidden_cat = hidden[-1]fc_output = self.fc(hidden_cat)return fc_outputdef time_since(since):s = time.time() - sincem = math.floor(s / 60)s -= m * 60return '%dm %ds' % (m, s)def name2list(name):arr = [ord(c) for c in name]return arr, len(arr)def create_tensor(tensor):if USE_GPU:device = torch.device("cuda:0")tensor = tensor.to(device)return tensordef make_tensors(names, countries):sequences_and_lengths = [name2list(name) for name in names]name_sequences = [sl[0] for sl in sequences_and_lengths]seq_lengths = torch.LongTensor([sl[1] for sl in sequences_and_lengths])countries = countries.long()#make tensor of name, BatchSize x Seqlenseq_tensor = torch.zeros(len(name_sequences), seq_lengths.max().item()).long()for idx, (seq, seq_len) in enumerate(zip(name_sequences, seq_lengths), 0):seq_tensor[idx, :seq_len] = torch.LongTensor(seq)# sort by length to use pack_padded_sequenceseq_lengths, perm_idx = seq_lengths.sort(dim=0, descending=True)seq_tensor = seq_tensor[perm_idx]countries = countries[perm_idx]return create_tensor(seq_tensor), seq_lengths, create_tensor(countries)def trainModel():total_loss = 0for i, (names, countries) in enumerate(trainloader, 1):inputs, seq_lengths, target = make_tensors(names, countries)output = classifier(inputs, seq_lengths)optimizer.zero_grad()loss = criterion(output, target)loss.backward()optimizer.step()total_loss += loss.item()if i % 10 == 0:print(f'[{time_since(start)}] Epoch {epoch}', end='')print(f'[{i * len(inputs)} / {len(trainset)}]', end='')print(f'loss={total_loss / (i * len(inputs))}')return total_lossdef testModel():correct = 0total = len(testset)print("evaluating trained model...")with torch.no_grad():for i, (names, countries) in enumerate(testloader, 1):inputs, seq_lengths, target = make_tensors(names, countries)output = classifier(inputs, seq_lengths)pred = output.max(dim=1, keepdim=True)[1]correct += pred.eq(target.view_as(pred)).sum().item()percent = '%.2f' % (100 * correct / total)print(f'Test set: Accuracy {correct} / {total} {percent}%')return  correct / totaltrainset = NameDataset(is_train_set=True)
trainloader = DataLoader(trainset, batch_size=BATCH_SIZE, shuffle=True)
testset = NameDataset(is_train_set=False)
testloader = DataLoader(testset, batch_size=BATCH_SIZE, shuffle=False)N_COUNTRY = trainset.getCountriesNum()if __name__ == '__main__':classifier = RNNClassifier(N_CHARS, HIDDEN_SIZE, N_COUNTRY, N_LAYER)if USE_GPU:device = torch.device("cuda:0")classifier.to(device)criterion = torch.nn.CrossEntropyLoss()optimizer = torch.optim.Adam(classifier.parameters(), lr=0.001)start = time.time()print("Training for %d epochs..." % N_EPOCHS)acc_list = []for epoch in range(1, N_EPOCHS + 1):trainModel()acc = testModel()acc_list.append(acc)# 训练完成后画图epoch = np.arange(1, len(acc_list) + 1, 1)acc_list = np.array(acc_list)plt.figure(figsize=(8,5))plt.plot(epoch, acc_list, marker='o', label='Accuracy')plt.xlabel('Epoch')plt.ylabel('Accuracy')plt.title('RNN Name Classifier Accuracy Curve')plt.grid(True)plt.legend()plt.tight_layout()plt.savefig("accuracy_curve.png")plt.show(block=True)
http://www.dtcms.com/a/461295.html

相关文章:

  • SikuliX实战指南:可视化自动化与测试的核心!
  • 【ShiMetaPi M4-R1】OpenHarmony应用开发01:RArkUI 框架
  • 10.8考研笔记
  • auracast音箱-新标准新体验
  • 网站建设素材网页常州市钟楼区建设局网站
  • 网站付费怎么做海南学校网站建设
  • 前端学习 JavaScript(2)
  • Zookeeper删除提供者服务中的指定IP节点
  • 浦东建设网站制作来宾网站建设
  • 网站模板用什么打开wordpress移动广告不显示不出来
  • ArrayList和LinkedList的区别是什么?
  • 有没有做底单的网站做网站优化选阿里巴巴还是百度
  • 读写分离中间件简介
  • MR(混合现实)与AI(人工智能)结合的自主飞行技术
  • 鸿蒙:WaterFlow瀑布流组件的使用
  • Git高级操作:提升开发效率的实用别名设置
  • C++分布式语音识别服务实践——架构设计与关键技术
  • Hadoop YARN 与 MapReduce 基础关系及 YARN 核心架构细化解析
  • 网站续费模版秦皇岛网站建设价格
  • 16.链路聚合手动配置(2025年10月9日)
  • 做网站的技术门槛高吗做营销型网站费用
  • 做网站的网页图片素材怎么找海南省人才在线
  • opencv中旋转角度使用atan函数或atan2函数计算角度
  • 做详情页到那个网站找模特素材《高性能网站建设指南
  • 【蓝牙协议栈】蓝牙核心规范6.0新特性学习
  • vue中的 watchEffect、watchAsyncEffect、watchPostEffect的区别
  • Python从入门到实战:全面学习指南2
  • 今天我们开始学习python3编程之python基础
  • jenkins更新了gitlab后出现报错
  • 【OS笔记06】:进程和线程4-进程调度的核心算法