当前位置: 首页 > news >正文

《信号与系统》的积分变换·理论总结

第 2 章 线性时不变系统·表征&&性质

2.3.6 因果线性时不变系统

1.6.3节已经介绍过因果性质:即一个因果系统的输出只取决于现在和过去的输入值

  • 实际系统一般是因果系统;
  • 对图象、已记录数据处理以及平均处理的系统不是因果系统。

一个离散时间线性时不变系统若要是因果的,y[n]就必须与k>n的x[k]无关。

由式(2.39)可以看出,为此乘以x[k]的所有系数h[n-k]对于k>n都必须为零,那么这就要求因果离散时间线性时不变系统的冲激响应满足下面条件:

根据式(2.77):

一个因果(线性时不变)系统的冲激响应在冲激出现之前必须为零。

这就与因果性的直观概念相一致。



更一般的情况如习题1.44所指出的。

一个线性系统的因果性就等效于初始松弛(initial rest)的条件;

也就是说,如果一个因果系统的输入在某个时刻点以前是零,那么其输出在那个时刻以前也必须是零。

要强调的是,因果性和初始松驰条件的等效仅适合于线性系统。

y[n]与x[n+k](k>0)无关,这个系统就是因果的。

2.4 用微分方程和差分方程描述的因果线性时不变系统

  • 一类重要的连续时间系统:输入输出关系用线性常系数微分方程描述的系统
  • 一类重要的离散时间系统:输入输出关系用线性常系数差分方程描述的系统

全书将会经常考虑和研究:由线性常系数微分方程和差分方程描述的系统。

由线性常系数微分(差分)方程描述的系统一定是线性时不变系统。

这一节只是介绍这类系统在涉及微分和差分方程解法上的一些基本概念,并揭示和剖析由这类方程所描述的系统的某些性质。在以后的各章中,将要继续深入研究。

  • 信号的表示:
    • ① 移位单位脉冲串
    • ② 傅里叶级数
  • LTI系统的表示:
    • ① 单位脉冲响应、单位冲激响应
    • ② 单位阶跃响应
    • ③ 线性常系数微分、差分方程
    • ④ 方框图
    • ⑤ 频率响应、系统函数

2.4.1 线性常系数微分方程

对于微分方程,它们所给出的是该系统的一种隐含的特性:即所描述的输入和输出的关系,并不是将系统输出作为输入函数的一种明确的表达式。

为了得到一个明确的表达式,就必须解这个微分方程。


要求得一个解,就需要比单独由这个微分方程提供的信息更多的信息。一般来说,为了求解一个微分方程,必须给定一个或多个附加条件(微分方程的初始条件);

一旦这些条件给定,原则上就能得到一个用输入表示输出的明确的表达式。

换句话说:

  • 一个微分方程描述的只是系统输入和输出间的一种约束关系
  • 但是为了完全表征系统,就必须同时给出附加条件

对于附加条件的不同选择,可以导致输入和输出间的不同关系。


本书的绝大部分都关注的是将微分方程用于描述因果线性时不变系统,而对这样一类系统,附加条件是取一种特殊而简单的形式——初始松弛条件





微分方程的全解,即系统的完全响应。

系统的全解齐次解yh(t)特解yp(t)

系统的完全响应自然响应yn(t)受迫响应yf(t)

系统的完全响应零输入响应yzi(t)零状态响应yzs(t)

一个N阶线性常系数微分方程由如下方程给出:

阶次:指的是出现在这个方程中输出y(t)的最高阶导数。

当N=0时,式(2.109)就变为:

这时,y(t)就是输入x(t)及其导数的一个明确的函数。

对于N≥1,式(2.109)就以隐含的形式用输入来给出输出,这时这个方程的分析就需要分析齐次解和特解。

① 齐次解yh(t)的形式

② 常见激励信号对应的特解形式




2.4.2 线性常系数差分方程

……

2.4.3 用微分方程和差分方程描述的一阶系统的方框图表示

由线性常系数差分和微分方程描述的系统的一个重要的特点是:能以很简单而且很自然的方式用若干基本运算的方框图互联来表示

除了利用数学表达式描述系统模型外,也可以借助方框图表示系统模型。

  • 每个方框图反映了某种数学运算,描述了其输入与输出信号的关系。
  • 若干个方框图组成一个完整的系统。
  • 方框图:形象化、便于理解;便于仿真。

【例1】一阶差分方程

三种基本运算:相加、乘以系数、延迟。

因此,我们来定义三种基本网络单元,如图2.27所示。

这样这个方程可用图2.28形象化地表示出来。

这就是一个反馈系统的例子,因为输出经由一个延迟并乘以一个系数反馈回来,然后与bx[n]相加。反馈的存在是式(2.127)递归性质的一个直接结果。

图2.28的方框图很清楚地表明这个系统要求有记忆(存储),这样就必然需要初始条件。特别是,一个延迟就对应于一个记忆单元,因为它必须保留它的输入的前一个值。因此,这个记忆单元的初始值就可作为一个必要的初始条件提供给图2.28或式(2.127)表示的递归运算。当然,如果由式(2.126)描述的系统是初始松弛的,存储在该记忆单元内的初始值就为零。


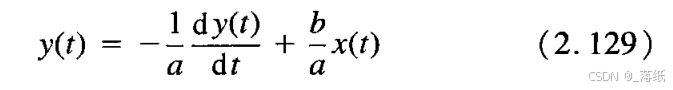
【例2】一阶微分方程

第一步就是对该系统确定一种方框图表示,先将方程改写为递归形式的表达:

三种基本运算:相加、乘以系数、微分。

定义三种基本网络:

基本运算单元的互联表示方程如图所示:

虽然图2.30是由式(2.128)描述的因果系统的一种正确表示,但是它并不是最常用的或者直接导致实际实现的表示,这是因为微分器不仅实现困难,并且对误差和噪声又极为灵敏


更为广泛应用的另一种实现是先将式(2.128)写成

然后从-∞到t积分。若假设由式(2.130)描述的系统是初始松弛的,那么dy( t)/dt从-∞到t的积分就是y(t),因为y( -∞)的值是零,结果可得:

这种表示形式的系统就可以用图2.29中的相加器系数相乘器,以及由图2.31定义的积分器来实现。

图2.32就是利用这些基本单元对该系统的一种方框图表示:

因为积分器可以很方便地用运算放大器来实现,因此图2.32的表示就直接导致了模拟实现;

应该注意,在连续时间情况下,积分器就代表了该系统的记忆存储单元,若将式(2.130)的积分考虑为从某一有限点t0开始,或许能更加容易地看出这一点,这时

式(2.132)清楚地表明:y(t)的表征要求有一个初始条件,即y(t0)值,这个值就是积分器在t0时刻存储的值。

尽管我们只是说明了最简单的一阶微分和差分方程的方框图构成,但是对高阶系统同样可以构成这样的方框图表示,这些都对系统的直观认识和各种可能的实现提供了有价值的启示。

第 3 章 周期函数的傅里叶级数表示

3.1 周期信号的傅里叶展开

【“宇宙社会学的”两条基本公理】

  • 复杂的周期函数可以用简单周期函数的线性组合来表示。
  • LTI系统对简单周期函数的响应具有特别简单的形式。
  • LTI系统对简单周期函数的线性组合的响应就是对简单周期函数的响应的线性组合。

前言:把信号表示成移位单位冲激的线性组合,LTI系统对单位冲激δ(t)具有简单响应h(t),利用h(t)可以得到任意输入信号,经过LTI系统后的,卷积形式的输出信号。

现语:把信号表示成复指数信号的线性组合……。





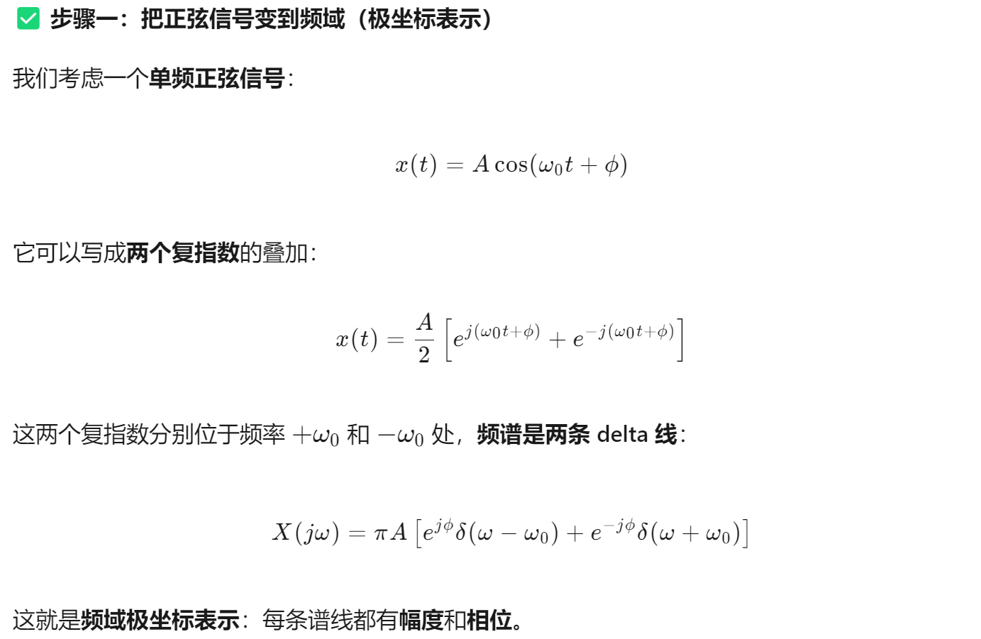
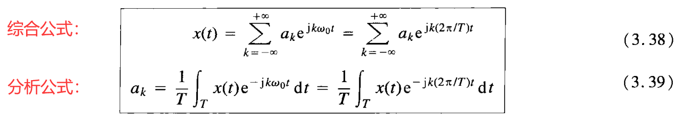
周期函数x(t) = x(t + T)的傅里叶级数展开——三种形式:


a0:直流分量;

a1:基波分量;(ω0基波(角)频率)

ak、Ak、Bk(Ck):k次谐波分量;

【注意】

  • 三角形式的k从1到∞;(只讨论正频率)
  • 复指数形式的k从-∞到+∞;(引入负频率的概念)

其中:a_{k}是复常数,Ak、Bk、CkA_{k}是实常数。

针对于实周期函数


或者幅值相同,相位相反


  • 关于后两种三角形式的傅里叶变换,在《微积分》课程中见证了充分的应用(数学领域)
  • 关于第一种复指数形式的傅里叶变换,来看看两个相关的问题。(信号领域)

【问题1】傅里叶级数的三角形式好理解,如何理解傅里叶级数的复指数形式的i,怎么从实域到复域能相等的???



【问题2】傅里叶级数的复指数形式,把实函数表示成复函数的线性组合,意义在哪???




3.2 连续时间·周期信号·傅里叶展开表示的确定

  • 频谱系数:系数ak称为x(t)的傅里叶级数系数,简称为傅里叶系数,或称为x(t)的频谱系数、或称频谱函数——ak是频率的函数,它反映了组成信号各正弦谐波的幅度和相位随频率变化的规律,称频谱函数。
  • 频谱图频谱的表示,直接画出信号各次谐波对应的ak,随频率变化的离散线状分布图形,这种图形称为信号的频谱图。

3.3 周期信号的频谱特点

  • 周期信号的频谱是由间隔为ω0的谱线组成的。信号周期T越大,ω0就越小,则谱线越密。反之,T越小,ω0越大,谱线则越疏。——推导出非周期函数的傅里叶变换
  • 周期方波的幅度(频)谱·衰减特性:
  • 矩形脉冲函数(理想的低通滤波器)的有效带宽

3.4 傅里叶级数收敛条件

周期信号可以展开为傅里叶级数的条件(分析公式积分收敛条件)

3.5 连续时间傅里叶级数的性质

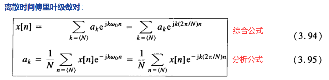
3.6 离散时间·周期信号·傅里叶级数展开

  • 连续时间周期信号情况下是一个无穷级数。
    (时域周期→变换域离散)
  • 离散时间周期信号的傅里叶级数是有限项级数。
    (时域周期→变换域离散、时域离散→变换域周期)
  • 其结果就是在离散时间情况下不存在曾在3.4节讨论的数学上的收敛问题。

3.7 连续、离散、周期、非周期

周期连续信号”的傅里叶分析工具是傅里叶级数(FS 或 CTFS),它的频谱天然是离散的。
CTFT(Continuous-Time Fourier Transform)严格对应非周期连续信号,得到的频谱是连续的。

一句话:
周期 → 级数(CTFS)
非周期 → 变换(CTFT)

但是在第4章会介绍周期信号的傅里叶变换,在统一框架内考虑周期和非周期信号。

x.x 两个问题



3.8 频谱图

……

3.9 频谱特性

……

第 4 章 连续时间傅里叶变换

4.0 引言

第3章建立了周期信号作为复指数信号线性组合的表示。

这一章和下一章将把这些概念推广应用到非周期信号中。

读者将会看到,相当广泛的一类信号,其中包括全部有限能量的信号——也能够经由复指数信号的线性组合来表示。

  • 周期信号而言,这些复指数基本信号构造单元全是成谐波关系的;
  • 非周期信号,它们则是在频率上无限小地靠近的。
    因此,作为线性组合表示所取的形式是一个积分,而不是求和
    在这种表示中所得到的系数谱称为
    傅里叶变换
    而利用这些系数,将信号表示为,复指数信号线性组合,的综合积分式本身,则称为
    傅里叶逆变换

一个重要思想是,一个非周期信号能够看成周期无限长的周期信号这一点。

更确切地说,在一个周期信号的傅里叶级数表示中,当周期增加时,基波频率就减小,成谐波关系的各分量在频率上愈趋靠近……当周期变成无穷大时,这些频率分量就形成了一个连续域,从而傅里叶级数的求和也就变成了一个积分。!!!

4.1 非周期信号的表示:连续时间傅里叶变换


傅里叶级数 推导 傅里叶变换:

由此得出:

函数X(jω)称为x(t)的傅里叶变换(傅里叶积分)

综合公式(4.8)对非周期信号所起的作用与式(3.38)对周期信号所起的作用相同:把一个信号表示为一组复指数信号的线性组合。

  • 对周期信号来说,这些复指数信号的幅度为{ak},由式(3.39)给出,并且在成谐波关系的一组离散点kω0, k =0,±1,±2,…上出现。
  • 对非周期信号而言,这些复指数信号出现在连续频率上,并且,根据综合公式(4.8),其“幅度”为X(jω)( dω/2π)
  • 这个“幅度意义”的差异,造就了从级数角度的幅频图,和从变换角度的幅频图的差异。

频谱

  • 与周期信号傅里叶级数系数所用的术语类似,一个非周期信号x(t)的变换X(jω)通常称为x(t)的频谱。
  • 因为X(jω)告诉我们将x(t)表示为不同频率正弦信号的线性组合(就是积分)所需要的信息。

4.2 傅里叶变换收敛

条件1:如果x(t)能量有限,也即x(t)平方可积。

那么就可以保证X(jω)是有限的,即式(4.9)收敛

条件2:狄里赫利条件。

尽管这两组条件都给出了一个信号存在傅里叶变换的充分条件。

但是下一节将会看到,倘若在变换过程中可以使用冲激函数,那么,在一个无限区间内,既不绝对可积,又不具备平方可积的周期信号也可以认为具有傅里叶变换。

这样,就有可能把傅里叶级数和傅里叶变换纳入一个统一的框架内

在以后的各章讨论中将会发现这样做是非常方便的。

4.3 周期信号的傅里叶变换


例:方波信号的傅里叶级数、傅里叶变换对比

【同一个函数·傅里叶级数·傅里叶变换·幅频图差异】

  • 不同的仅仅是比例因子2π;
  • 以及用的是冲激函数而不是条线图;

x.x 奇点

这是激发我研究傅里叶变换的点:

为什么cosωt的傅里叶级数三角表示、复指数表示、傅里叶变换,出来的幅频图不一致???

严格来说,最狭义的幅频图:
将信号展开为纯余弦三角级数后,各三角函数的振幅关于频率的函数图。

① 也就是傅里叶级数纯余弦表示的函数图,是Ak关于ω的函数,或者关于k的函数(ω=kω0),或者关于ω0的函数。

一般而言,傅里叶级数都选k作为横轴。

② 傅里叶级数的复指数形式的函数图,是ak关于ω的函数,由与引入了负频率,其值关于纵轴左右对称,恰好是Ak的一半。

③ 傅里叶变换的函数图,是X(jω)关于ω的函数,而X(jω)又与ak存在着2π的关系,且是冲激图像。


补充:




4.4 连续时间傅里叶变换的性质


4.5 基本傅里叶变换对

第 5 章 离散时间傅里叶变换





第 6 章 信号与系统的时域和频域特性

【证明】

  • 法1:
  • 法2:





频域理想,时域不理想。


x.x 奇点·幅频特性

(1)输入信号的幅频特性:反应了构成信号的各频率分量的占比情况,如果中间高,则代表低频分量多;如果两边高(或者右边高->正频率),则代表高频分量多;同时,振幅情况也反映了各频率分离的能量大小。

(2)系统的幅频特性:即系统的单位冲激响应的傅里叶变换的幅频图,它反映的情况是系统对于各频率分量的通过情况。

原因(很重要):因为这是系统的单位冲激响应的傅里叶变换图,而系统输出转换关系的傅里叶表达式里面,Y(ω) = H(ω)X(ω),是乘积关系:

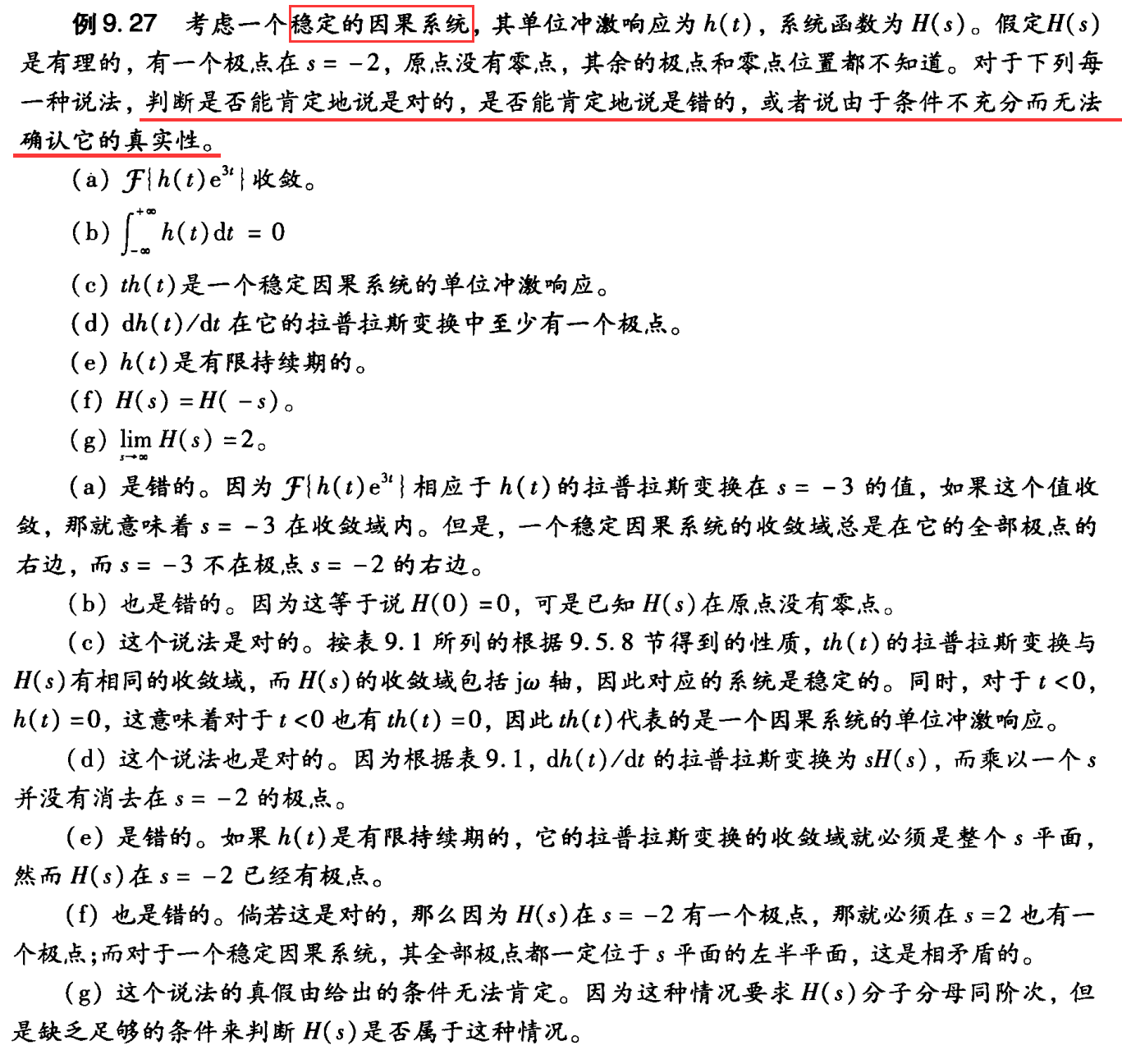
第 9 章 拉普拉斯变换

9.0 引言

相当广泛的一类信号,都能用周期复指数信号e^st(纯虚复指数信号e^jωt)的线性组合来表示。

复指数信号又是线性时不变系统的特征函数,故而傅里叶分析工具对于分析LTI系统很有用。

连续时间傅里叶变换提供了将信号表示成形如e^st, s=jω 的复指数信号的线性组合;然而,由3.2节引入的特征函数性质及其他很多结果对任意s值都是适用的,而并不是将它仅限于纯虚数的情况。

这样的看法就导致了连续时间傅里叶变换的推广,称为拉普拉斯变换,这正是本章要讨论的。

下一章将建立对应的离散时间傅里叶变换的推广,称为z变换

这些变换不仅仅为那些能用傅里叶变换进行分析的信号与系统提供了另一种分析工具和分析角度,而且在一些不能应用傅里叶变换的重要方面,它们也能够应用。

简而言之,拉普拉斯变换和z变换,能用于许多不稳定系统的分析,从而在系统的稳定性或不稳定性的研究中起着重要的作用。

这一事实再与拉普拉斯变换、z变换(与傅里叶变换共有)的代数性质组合在一起,就形成了一整套重要的系统分析工具。

尤其是在第11章要讨论的反馈系统分析中更是如此。

9.1 拉普拉斯变换

在第3章中已经知道,一个单位冲激响应为h(t)的线性时不变系统,对e^st复指数输入信号的响应y(t)是

其中,

当s为纯虚数,即s=jω,则式(9.2)的积分就对应于h(t)的
傅里叶变换

当s为一般的复变量,式(9.2)就称为单位冲激响应h(t)的拉普拉斯变换(Laplace transform)

一个信号x(t)的拉普拉斯变换定义如下:

应该特别注意到,这是一个自变量为s的函数,而s是在e^st中指数的复变量。


复变量s一般可写成s = σ + jω,其中σ和ω分别是它的实部和虚部。为方便起见,常将拉普拉斯变换表示为算子  的形式,而把x(t)和X(s)之间的变换关系记为

当s = jω 时,式(9.3)就变成

这就是x(t)的傅里叶变换,即


当复变量s不为纯虚数时,拉普拉斯变换与傅里叶变换也有一个直接的关系。为了看出这一点,将式(9.3)的X(s)中的s表示成s = σ + jω,则有

或者

我们可以把式(9.8)的右边看成x(t)e^-σt的傅里叶变换——

  • 这就是说,x(t)的拉普拉斯变换可以看成x(t)乘以个实指数信号以后的傅里叶变换
  • 这个实指数e^-σt在时间上可以是衰减的,或者是增长的,这取决于σ是正还是负的。

为了说明拉普拉斯变换,以及它与傅里叶变换的关系,考虑下面的例子。

【例1】单边实指数信号的傅里叶变换在a>0时收敛。

根据之前的结论,拉普拉斯变换就是a→a+σ:

等价于


当a=0,就是阶跃函数的拉普拉斯变换


从这个例子应该特别注意到,正如傅里叶变换不是对所有信号都收敛一样,拉普拉斯变换也可能对某些Re{s}值收敛,而对另一些Re{s}值则不收敛。——收敛域

在式(9.13)中,该拉普拉斯变换仅对 σ=Re{s} > -a收敛。

(1)如果a为正值,那么X(s)就能在σ=0求值,从而得到

如式(9.6)所指出的:

对于σ=0(虚轴),拉普拉斯变换就等于傅里叶变换。

这只要将式(9.9)和式(9.15)比较一下就能看出。

(2)如果a是负的或为零,则拉普拉斯变换仍然存在,但傅里叶变换却不存在。


【例2】负单边实指数的拉普拉斯变换

对这个例子,为保证收敛,则要求Re{s+a} <0,或者Re{s} < -a,这就是说

比较一下式(9.14)和式(9.19)可见,对例9.1和例9.2中的两个信号:

  • 它们的拉普拉斯变换代数表示式都是一样的;
  • 然而,这个代数表示式能成立的s域却大不相同。

这就说明,在给出一个信号的拉普拉斯变换时,代数表示式和该表示式能成立的变量s值的范围都应该给出。

  • 拉普拉斯变换的收敛域(ROC):一般把使积分式(9.3)收敛的s值的范围称为拉普拉斯变换的收敛域(region of convergence),特简记为ROC
  • 也就是说,收敛域是由这样一些s = σ + jω组成的,对这些s来说,x(t)e^-σt的傅里叶变换收敛。

随着我们深入讨论拉普拉斯变换的性质,关于收敛域将有更多的话要说。

表示收敛域的一个简便方法如图9.1所示。——阴影表示收敛域

变量s是一个复数,在图9.1上展示出的复平面,一般称为与这个复变量有关的s平面

沿水平轴是Re{s}轴,沿垂直轴是Im{s}轴,水平轴和垂直轴有时分别称为σ轴 jω 轴

图9.1 ( a)的阴影部分就是对应例9.1的收敛域;而图9.1(b)的阴影部分指出了例9.2的收敛域。


【例3】实指数信号和的拉普拉斯变换

为了确定它的收敛域,我们注意到,x(t)是两个实指数信号的和,而X(s)是单独每一项的拉普拉斯变换之和。

于是,使这两项拉普拉斯变换都收敛的那些Re{s}值的集合,就是Re{s} > -1,这样把式(9.22)右边这两项合起来,就得到


【例4】实指数与复指数的和

转化为

拉普拉斯变换



  • 以上4个例子中的每一个,其拉普拉斯变换式都是有理的。
  • 也即都是复变量s的两个多项式之比,具有如下形式:
  • 其中,N(s)和D(s)分别是分子多项式和分母多项式。
  • 正如在例9.3和例9.4中所见到的,只要x(t)是实指数或复指数信号的线性组合,X(s)就一定是有理的

并且,在9.7节中将会看到,当LTI系统用线性常系数微分方程表征时,也会见到有理变换。

除去一个常数因子外,在一个有理拉普拉斯变换式中,分子与分母多项式都能够用它们的根来表示。

据此,在s平面内标出N(s)和D(s)根的位置,并指出收敛域,就提供了一种描述拉普拉斯变换的方便而形象的表示。

例如:
① 用“×"来表示式(9.23)中分母多项式的每个根的位置;
② 用“○"来表示式(9.23)中分子多项式的每个根的位置;

在图9.2(a)中就展示了例9.3的拉普拉斯变换的s平面表示。图9.2(b)则是例9.4的拉普拉斯变换式分子和分母多项式的根所对应的图。每一个例子的收敛域都在相应的图上用阴影区给出。

对于有理拉普拉斯变换来说:

零点:因为在分子多项式的那些根上X(s)=0,故称其为X(s)的零点(zero);

极点:而在分母多项式的那些根上X(s)变成无界的,故称分母多项式的根为X(s)的极点(pole)。


在有限s平面内,X(s)的零点和极点,除了一个常数因子外,可以完全表征X(s)的代数表示式。

零-极点图(pole-zero plot):通过s平面内的极点和零点的X(s)的表示就称为X(s)的零-极点图。


然而,正如在例9.1和例9.2中所看到的,X(s)的代数表示式本身,并不能确认该拉普拉斯变换的收敛域。

这也就是说,除了一个常数因子外,一个有理拉普拉斯变换的完全表征是由该变换的零-极点图与它的收敛域一起组成的(一般在s平面内,收敛域用阴影区表示,如图9.1和图9.2所示)。

另外,虽然不一定都需要给出一个有理变换X(s)的代数表示式,但是有时为了指明X(s)在无限远点的极点或零点,有了代数表示式倒是较为方便的。

也就是说:

【无穷远点】

  • 如果分母多项式的阶次高于分子多项式的阶次,那么X(s)将随s趋于无穷大而变为零,无穷远处为零点。
  • 如果分子多项式的阶次高于分母多项式的阶次,那么X(s)将随s趋于无穷大而变成无界,无穷远处为极点

例如,在式(9.23)中的拉普拉斯变换的分母的阶为2,而分子的阶仅为1,所以在这种情况下,X(s)在无穷远点有一个零点。同样,在式(9.30)中的拉普拉斯变换的分子的阶为2,而分母的阶为3,在无穷远点也有一个零点。

k阶零点:如果分母的阶次超出分子的阶次为k次,则X(s)在无穷远点一定有k阶零点;

k阶极点:如果分子的阶次超出分母的阶次为k次,则X(s)在无穷远点一定有k阶极点。


【例5】如下信号的拉普拉斯变换

单位冲激的拉普拉斯变换

收敛域是整个s平面

整体的拉普拉斯变换

或者

其中,这个收敛域是对x(t)的三项拉普拉斯变换都收敛的s值的集合。

该例的零-极点图及其收敛域如图9.3所示。

另外,因为X(s)的分子、分母同阶次,所以X(s)在无穷远点既无极点,也无零点


回顾式(9.6),当s=jω时,拉普拉斯变换就是傅里叶变换。然而:

如果这个拉普拉斯变换的收敛域不包括 jω轴,即Re{s}=0不在收敛域,那么傅里叶变换就不收敛。

正如从图9.3中所看到的,事实上这就是例9.5的情况,与在x(t)中(1/3)e^2t·u(t)这一项没有傅里叶变换是一致的。

同时,从这个例子还可看到,式(9.35)中的两个零点出现在同一个s值上。一般都用零点或极点标志的重复次数来指出它们的阶数。在例9.5中有一个二阶零点在s=1,并且有两个一阶极点分别在s = -1和s =2。在这个例子中,收敛域位于最右边极点的右边。

一般来说,对于一个有理拉普拉斯变换,在极点位置和与一个给定的零-极点图有关的收敛域之间存在一种紧密的关系,并且一些具体的限制都与x(t)的时域性质密切有关。

下一节将说明这些限制和有关的性质。

9.2 拉普拉斯变换收敛域

从前面的讨论已经看到,拉普拉斯变换的全部特性不仅要求X(s)的代数表示式,而且还应该伴随着收敛域的说明。

这一点在例9.1和例9.2中体现得最为明显:

  • 两个很不相同的信号,能够有完全相同的X(s)代数表示式;
  • 因此它们的拉普拉斯变换只有靠收敛域才能区分。

这一节将说明对各种信号,在收敛域上的某些具体限制——理解了这些限制往往使我们,仅仅从X(s)的代数表示式,和x(t)在时域中的某些一般特征,就能明确地给出或构成收敛域。

这一性质来自于这样一个事实:X(s)的收敛域是由这样一些s=σ + jω所组成的,在那里x(t)e^-σt的傅里叶变换收敛。

也就是说,x(t)的拉普拉斯变换的收敛域是由这样一些s值组成的,对于这些s值,x(t)e^-σt是绝对可积的,即

因为这个条件只与σ,即s的实部有关,所以就得到性质1。

这个性质,在到目前为止所研究的例子中都能很容易地看出。因为,在一个极点处,X(s)为无限大,式(9.3)的积分显然在极点处不收敛,所以收敛域内不能包括属于极点的s值。

这个结果背后的直观性由图9.4和图9.5可以想到。

也就是说:

一个有限持续期的信号具有这个性质:它在某一有限区间之外都是零。

如图9.4所示。

在图9.5(a)中画出了图9.4这样的x(t)乘以一个衰减的指数函数,而在图9.5(b)中则画出同一类型的信号乘以一个增长的指数函数。因为,x(t)为非零的区间,是有限长的,所以指数加权永远不会无界,这样x(t)的可积性不会由于这个指数加权而破坏就是合情合理的了。

性质3的一个更加正规的证明如下:假设x(t)是绝对可积的,所以有

对于在收敛域内的s=σ+jω,就要求x(t)e^-σt是绝对可积的,即

式(9.37)表明当Re{s} =σ=0时的s平面在收敛域内。对于σ >0,e^-σt在x(t)为非零的区间内的最大值是e^-σT1,因此可以写成

因为式(9.39)的右边是有界的,所以左边也就是有界的;因此当Re{s} >0时的s平面必须也在收敛域内。

依类似的证明方法,若σ<0,那么

x(t)e^-σt也是绝对可积的。因此,收敛域包括整个s平面。


【例9.6】设x(t)为

傅里叶变换

在这个例子中,因为x(t)是有限长的,由性质3,其收敛域就是整个s平面。

在式(9.42)中,形式上好像X(s)有一个极点在s=-a,而这与根据性质3与收敛域由整个s平面所组成是不一致的。

然而,事实上式(9.42)的代数表示式在s=-a都是分子和分母的零点!为了确定s = -a处的X(s)值,可以应用洛必达法则而得

所以

在x(t)为非零的区间上,保证指数型权函数是有界的,认识到这一点很重要,上面的讨论主要依据这一事实:x(t)是有限持续期的。

下面两个性质要讨论有关这一结果的一种变形,即x(t)具有的有限范围仅仅在正时间或负时间方向上。

右边信号:若在某有限时间T1之前,x(t)=0,则称该信号为右边信号。

如图9.6所示。

对于这样一个信号,有可能不存在任何s值,使其拉普拉斯变换收敛。

一个例子就是x(t)=


然而,假如拉普拉斯变换对某一σ值收敛,比如σ0,那么

或者,因为x(t)是右边信号,可等效为

如果σ1>σ0,由于随t→+∞,e^-σ1t衰减得比e^-σ0t快,如图9.7所示。

那么x(t)e^-σ1t也就一定绝对可积。正规一些,可以说,由于σ1>σ0,而有

因为T1是有限值,根据式(9.45),在式(9.46)不等式的右边就是有限的,所以x(t)e^-σ1t就是绝对可积的。


应该注意到,在以上的证明中明显依赖这一事实:x(t)是右边信号。

因而即使σ1>σ0,随着t→-∞,e^-σ1t发散快于e^-σ0t,但是由于t<T1时,x(t)=0,x(t)e^-σ1t在负的时间轴方向也不能无界地增长。同时,在这种情况下,如果有某一点s在收敛域内,那么所有位于这个s点右边的点,也就是所有具有更大实部的点,都在收敛域内。

为此,这时一般就说收敛域是在右半平面

左边信号:若在某一有限时间T2以后,x(t)=0,则称该信号为左边信号。

如图9.8所示。

这个性质的证明和直观性完全与性质4所做的类似。同时,对于一个左边信号,如果有某一点s在收敛域内,那么所有位于这个s点左边的点也都在收敛域内。

因此一般就说收敛域是在左半平面

双边信号:对t > 0和t < 0都具有无限范围的信号,如图9.9(a)所示。

对于这样一个信号,其收敛域可以这样求出:选取任一时间T0,然而将x(t)分成右边信号xR(t)和左边信号xL(t)之和,如图9.9(b)和图9.9(c)所示。x(t)的拉普拉斯变换的收敛域就是能使xR(t)和xL(t)两者的拉普拉斯变换都收敛的区域。

根据性质4,对于某σR值,的收敛域由Re{s} > σR的半平面组成;

根据性质5,对于某σL值,的收敛域由Re{s} < σL的半平面组成;

的收敛域就是这两个半平面的重叠部分,如图9.10所示。

当然,这里假设σR<σL,因而这两半平面有某些重合。

如果不是这种情况,那么即使xR(t)和xL(t)的拉普拉斯变换存在,x(t)的拉普拉斯变换也不存在


【例9.7】设x(t)为

对于b>0和b<0均如图9.11所示。因为这是一个双边信号,可将它分为右边信号和左边信号之和,即




虽然,式(9.48)中每一单独项的拉普拉斯变换都有一个收敛域。

但如果b≤0,就没有公共的收敛域,于是对这样一些b值,x(t)就没有拉普拉斯变换。

如果b>0,则α(t)的拉普拉斯变换是

相应的零-极点图如图9.12所示,阴影区所指为收敛域。

  • 一个信号要么没有拉普拉斯变换,否则就一定属于由性质3到性质6这4类情况中的某一种
    • 有限持续期;
    • 右边信号;
    • 左边信号;
    • 双边信号。
  • 于是对具有某一拉普拉斯变换的信号而言,收敛域一定是:
    • 整个s平面(有限长信号);
    • 某一左半平面(左边信号);
    • 某一右半平面(右边信号);
    • 一条带状收敛域(双边信号)
  • 这4种中的一种

在所有已经讨论过的例题中,收敛域都有一个另外的性质:收敛域在每一个方向上都是被极点所界定的,或者延伸到无限远。事实上,对有理拉普拉斯变换来说,下面这个性质总是成立的。

对于这一性质的正规证明有些烦琐,但它基本上是由于如下事实的一个结果:一个具有有理拉普拉斯变换的信号均由指数信号的线性组合构成,并且根据例9.1和例9.2,该线性组合中的每一项变换的收敛域一定有这一性质。


作为性质7的一个结果,再与性质4和性质5结合在一起就有如下性质。


为了说明不同的收敛域如何与相同的零-极点图相联系,考虑下面这个例子。

【例9.8】设有一拉普拉斯变换代数表达式

其零-极点图如图9.13(a)所示。

正如在图9.13(b)~图9.13(d)中所指出的,与这个代数表示式有关的有三种可能的收敛域,对应着三种不同的信号

图9.13(b)零-极点图有关的是右边信号。因为收敛域包括jω轴,所以该信号的傅里叶变换收敛。

图9.13(c)对应于一个左边信号。

图9.13(d)对应于一个双边信号。

后面这两个信号没有傅里叶变换,因为它们的收敛域都不包括jω轴。


9.3 拉普拉斯逆变换

9.1节讨论了把一个信号的拉普拉斯变换看成该信号经指数加权后的傅里叶变换;

也就是说,将s表示成s=σ+jω,一个信号x(t)的拉普拉斯变换是

其中,s = σ+jω在收敛域中。


可以利用式(4.9)的傅里叶逆变换关系对式(9.53)求逆变换为

或者将两边各乘以e^σt,可得

这就是说,可以这样从拉普拉斯变换中来恢复x(t):在收敛域内,将σ固定不变,在ω从-∞到+∞变化的这一组s=σ+jω值上按式(9.55)求值。

若将变量在式(9.55)中从ω改变为s,并利用σ是常数这一点,可以将该式的意义更为突出,并对根据X(s)恢复x(t)有更深刻的认识。

因为σ是常数,所以ds = jdω,可得拉普拉斯逆变换的基本关系式

上式说明,
x(t)可以用一个复指数信号的加权积分来表示

  • 式(9.56)的积分路径是在s平面内对应于满足Re{s}=σ的全部s点的这条直线,该直线平行于jω轴。
  • 再者,在收敛域内可以选取任何这样一条直线
  • 也就是说,在收致域内可以选取任何σ值,而使X(σ+jω)收敛。

对于一般的X(s)来说,这个积分的求值要求利用复平面的围线积分(在此不讨论)。


然而,对于有理变换,求其拉普拉斯逆变换不必直接计算式(9.56),而可以像在第4章求傅里叶逆变换所做的那样,采用部分分式展开法

这一过程基本上就是把一个有理代数表示式展开成低阶次项的线性组合。

例如,假设没有重阶极点,并假设分母多项式的阶高于分子多项式的阶(真分式),那么X(s)就可以展开为如下形式:

根据X(s)的收敛域,该式中每一项的收敛域都能推演出来,然后由例9.1和例9.2,每一项的拉普拉斯逆变换都可被确定。在式(9.57)中每一项的逆变换都有两种可能的选择:

  • 若收敛域位于极点s = -ai的右边,那么这一项的逆变换就是,是一个右边信号;
  • 若收敛域位于极点s = -ai的左边,那么这一项的逆变换就是,是一个左边信号。

将式(9.57)中每一项的逆变换相加,就得到X(s)的逆变换。


【例9.9】设有X(s)

部分分式展开

因为X(s)的收敛域是Re{s} > -1,那么式(9.62)中的每一项的收敛域都应包括Re{s} > -1

拉普拉斯变换


【例9.10】假设X(s)同上,收敛域Re{s}<-2。

拉普拉斯变换

【例9.11】假设X(s)同上,收敛域-2<Re{s}<-1。

拉普拉斯变换


正如在附录A中所讨论的,当X(s)有重阶极点,或者分母的阶次不高于分子的阶次(假分式)时,部分分式展开式中除了在例9.9到例9.11中考虑的一次项外,还应包括其他项。

到9.5节,当讨论完拉普拉斯变换的性质以后,还将讨论其他一些拉普拉斯变换对,连同拉普拉斯变换的性质起,就能将例9.9所给出的求逆变换的方法推广到任意有理变换中去。


真分式:

假分式:

简单真分式:


9.4 由零-极点图对傅里叶变换进行几何求值

在9.1节已经看到,一个信号的傅里叶变换就是拉普拉斯变换在jω轴上的求值。

这一节将讨论由与一个有理拉普拉斯变换有关的零-极点图,来求傅里叶变换的一种求值方法。

并且更一般地说,求拉普拉斯在任意s点上的值,的几何求值法


为了建立这一方法,首先考虑只有单个零点的拉普拉斯变换[即X(s)= (s-a)]在某一给定的s,如s =s1处求值。

【原则】

  • 这个代数表示式s1-a是两个复数的和(向量求和),一个是s1,另一个是-a;
  • 它们中的每一个都能在复平面内用一个向量来表示,如图9.15所示。

然后,代表这个复数(s1- a)的向量,就是向量s1和-a之和;在图9.15中可以看出,这个向量就是从s=a这个零点到点s1的向量s1-a。

这样,X(s1)的模,就是这个向量的长度,而相位就是这个向量对于实轴的角度。


如果X(s)在s=a是一个极点,即X(s)=1/(s-a),那么X(s)的分母就是上面讨论的同一向量。

这时X(s)的模,是该向量(从极点s=a到s=s1点)长度的倒数,而相位则是该向量相对于实轴角度的负值。


一个更一般的有理拉普拉斯变换是由上述讨论的零点和极点项的乘积所组成的,也就是说,一个有理拉普拉斯变换可以因式分解成

为了求取X(s)在s=s1的值,乘积中的每一项都可用一个从零点或极点到s1点的向量来表示。

那么:

【结论】

  • X(s)的模就是各零点向量(从各个零点到s1的向量)长度乘积的M倍被各极点向量(从各个极点到s1的向量)长度的积相除;
  • 复数X(s)的相角则是这些零点向量相角的和减去这些极点向量相角的和。

补充1:如果在式(9.70)中比例因子M是负的,则对应有一个附加相角π。

补充2:如果X(s)有多阶极点或零点(或均有),即相应于某些αi 或/和 βi是相等的,那么这些多阶极点或零点向量的长度和相角在X(s1)中都应包括相应的倍数(等于极点或零点的阶)。


【例9.12】设X(s)为

傅里叶变换

X(s)的零-极点图如图9.16所示。

为了用几何法确定傅里叶变换,在图中构造了一个极点向量。

  • 傅里叶变换在频率ω处的模,就是从极点到虚轴上 jω 点向量长度的倒数;
  • 傅里叶变换的相位就是该向量相角的负值。

由图9.16,从几何上可写出

傅里叶变换几何确定的价值往往在于近似观察整体特性。例如,在图9.16中很快能看出,极点向量的长度随ω的增加而单调增加,因此傅里叶变换的模将随ω的增加而单调下降。

由零-极点图对傅里叶变换特性得出一般性结论的能力,下面会用一阶和二阶系统作为例子进一步说明。

9.4.1 一阶系统

……

9.4.2 二阶系统

……

9.4.3 全通系统

……

9.5 拉普拉斯变换的性质

这一节,将考虑相应的一组拉普拉斯变换的性质。很多结果的导出都和傅里叶变换中相应性质的导出是类似的,因此这里不进行详细推导。

有些将在本章末习题中作为课后作业(见习题9.52至习题9.54)。

  • 补充1(线性)
    • 函数x和函数y的的L变换F(s)的收敛域是取交集;
    • 如果存在零极相消,F(s)的收敛域也可能比这个“交”大;
  • 补充2(共轭)
    • 实函数的L变换的零/极点一定在实轴上、或相对于实轴对称。
  • 补充3(卷积)
    • 函数x和函数y的的L变换F(s)的收敛域是取交集;
    • 如果存在零极相消,F(s)的收敛域也可能比这个“交”大;
  • 补充4(t域微分)
    • sX(s)的收敛域包括X(s)的收敛域;
    • 并且如果X(s)中有一个s=0的一阶极点被乘以s(零点)抵消了,还可以比X(s)的收敛域更大;

9.6 常用拉普拉斯变换对

正如9.3节所指出的,把X(s)分解成较简单的一些项的线性组合,拉普拉斯逆变换往往很容易求得,因为这些简单项的拉普拉斯变换可以直接写出来,或者极易求得。

表9.2列出了若干常用的拉普拉斯变换对。

9.7 用拉普拉斯变换分析与表征线性时不变系统

拉普拉斯变换的重要应用之一是对LTI的分析与表征。对于LTI系统,拉普拉斯变换的作用直接来自于卷积性质(见9.5.6节)。

根据这一性质就可以得到:

  • 一个线性时不变系统输入和输出的拉普拉斯变换是通过乘以系统单位冲激响应的拉普拉斯变换联系起来的。
  • 即:
  • 其中,X(s),Y(s)和H(s)分别是系统输入、输出和单位冲激响应的拉普拉斯变换。

式(9.112)是与傅里叶变换场合的式(4.56)相对应的。事实上,当s = jω时,式(9.112)拉普拉斯变换中的每一项都变成相应的傅里叶变换,这样式(9.112)就完全相当于式(4.56)。


另外,根据3.2节关于线性时不变系统对复指数信号响应的讨论,若一个线性时不变系统的输入是x(t)= e^st,那么其输出就一定是H(s)e^st;也就是说,e^st是系统的一个特征函数,而其特征值就等于单位冲激响应的拉普拉斯变换。

当s = jω时,H(jω)就是这个线性时不变系统的频率响应

在拉普拉斯变换的范畴内,一般称H(s)为系统函数(转移函数、传递函数)


线性时不变系统的很多性质都与系统函数在s平面的特性密切有关。

下面将通过几个重要的系统性质和几类重要系统来说明这一点。

9.7.1 因果性

对于一个因果线性时不变系统,其单位冲激响应在t<0时为零,因此是一个右边信号。

这样根据9.2节的讨论,可见有

应该强调的是,
相反的结论未必是成立的

s域右半收敛的单位冲激响应,不一定是因果响应信号,但一定是右边响应信号。


如例9.19所说明的,位于最右边极点的右边的收敛域并不保证系统是因果的,它只保证单位冲激响应是右边的。

  • 因果系统:t < 0 时,有h(t)=0。
  • 右边信号:t < t0 时,有h(t)=0。

然而,如果H(s)是有理的,那么如例9.17和例9.18所表明的,只须看它的收敛域是否是右半平面的,就能确定该系统是否是因果的,从而有


【结论】

因果性确实意味着收敛域位于最右边极点的右边,但是相反的结论一般是不成立的,除非系统函数是有理的。


可以用完全类似的方式来处理有关反因果性的概念。

反因果系统:如果系统的单位冲激响应在t>0,h(t)=0,就说该系统是反因果的。

因为在这种情况下,h(t)是左边信号,由9.2节知道,系统函数H(s)的收敛域就必须是某个左半平面。

同样,一般来说其相反的结论是不成立的。


也就是说,如果H(s)的收敛域是某个左半平面,那么我们所知道的只是h(t)是左边的。

然而,如果H(s)是有理的,那么收敛域位于最左边极点的左边就等效于系统是反因果的。

有理的:H(s)是s的幂的多项式之比——不含e^s、lns……


9.7.2 稳定性

H(s)的收敛域也可以与系统的稳定性联系起来。


正如2.3.7节曾提到的,一个线性时不变系统的稳定性等效于它的单位冲激响应是绝对可积的,这时单位冲激响应的傅里叶变换收敛(见4.4节)。

因为一个信号的傅里叶变换就等于拉普拉斯变换沿jω轴求值,所以就有

【例9.20】考虑一个线性时不变系统,其系统函数为

因为没有给出收敛域,那么根据9.2节的讨论知道:存在几种不同的收敛域,就会有几种不同的单位冲激响应与式(9.119)给出的H(s)代数表示式相联系。

然而,如果有关于系统的因果性或稳定性方面的信息,那么适当的收敛域还是能被确定的。


例如,若系统已知是因果的,那么收敛域一定为图9.25(a)所示。

这时的单位冲激响应就是

注意,这种收敛域的选择并未包括 jω 轴,因此对应的系统是不稳定的。只要看看h(t)不是绝对可积的就能得出这个结果。


另一方面,若系统已知是稳定的,那么收敛域就如图9.25(b)所示。相应的单位冲激响应是

这是绝对可积的。


最后,收敛域为图9.25(c)所示,这时的单位冲激响应为

系统是反因果的,而且是不稳定的


当然,一个系统是稳定(或不稳定)的,而有一个非有理的系统函数,这完全是可能的。例如,式(9.115)的系统函数不是有理的(含e^s),而它的单位冲激响应式(9.118)是绝对可积的,这就表明系统是稳定的。


然而,对于具有有理系统函数的系统,其稳定性很容易用系统的极点来说明

例如,对于图9.25的零-极点图,稳定性就对应于收敛域的选择要在两个极点之间,以使jω轴位于收敛域内。

对于一种特别而重要的系统,稳定性可以很简单地用极点的位置来表征。

具体而言,考虑一个因果线性时不变系统,具有有理系统函数H(s),因为系统是因果的,收敛域就在最右边极点的右边,因此这个系统若是稳定的,即收敛域包括jω轴,H(s)的最右边的极点就必须位于jω轴的左边,即


【例9.21】系统单位冲激响应

因果稳定系统,拉普拉斯变换

极点在s=-1,在s平面的左半平面。


与此相反,系统单位冲激响应

因果不稳定系统,拉普拉斯变换

极点在s=2,在s平面的右半平面。


9.7.3 由线性常系数微分方程表征的线性时不变系统

4.7节已经讨论过,可以利用傅里叶变换来得到一个由线性常系数微分方程表征的线性时不变系统频率响应,而用不着首先解出单位冲激响应或时域解。


用完全类似的方式,拉普拉斯变换的性质也能用来直接求得一个由线性常系统微分方程所表征系统系统函数

下面的例子用来说明这一过程。

【例9.23】考虑如下LTI系统的输入-输出线性常系数微分方程。

左右两边作拉普拉斯变换,由系统函数的定义

则有

  • 这样就给出了系统函数的代数表示式,但没有收敛域。
  • 事实上,正如在2.4节所讨论的,微分方程本身并不能完全表征这个线性时不变系统,有不同的单位冲激响应都与这个微分方程相吻合
  • 但是,如果除了这个微分方程之外,还知道系统是因果的,那么就可以推断出收敛域在最右边极点的右边,

在这个例子中就对应于Re{s}> -3;

如果已知系统是反因果的,那么收敛域就是Re{s}<-3。


在例9.23中,由微分方程得到H(s)的过程可以应用到更一般的情况。

考虑如下形式的线性常系数微分方程:

在上式两边进行拉普拉斯变换,并反复应用线性和微分性质,可得

或者

因此,一个由微分方程表征的系统,其系统函数总是有理的。

它的零点就是如下方程的解

它的
极点就是如下方程的解


  • 和前面的讨论一样,式(9.133)并没有包括H(s)收敛域的说明,因为该线性常系数微分方程本身没有限制收敛域。
  • 然而,如果给出系统有关稳定性或因果性的附加说明,收敛域就可以被推演出来。
  • 或者,如果在系统中强加上初始松弛条件,它就是因果的,那么收敛域就一定位于最右边极点的右边。

9.7.4 系统特性与系统函数的关系举例

已经看到,诸如因果性和稳定性之类的系统性质,都能直接与系统函数及其特性联系起来。

事实上,已经给出的拉普拉斯变换的每一个性质,都能以这种方式,用于将系统特性与系统函数联系起来。

这一节将用几个例子来说明这一点。






不懂,Y(s)=H(s)X(s)

y(t)=H(s)x(t)是什么???

3.2 线性时不变系统对复指数信号的响应

这里的s、z是常量


9.7.5 巴特沃思滤波器

……

9.8 系统函数的代数属性 && 方框图表示

利用拉普拉斯变换,可将微分、卷积、时移等这些时域运算,用代数运算来代替。

我们已经看到这样做,在分析线性时不变系统时的很多好处。

这一节将要讨论系统函数代数属性的另一个重要应用,即通过分析线性时不变系统的互联,基本系统的构造单元的互联,来综合出复杂系统中的应用。


9.8.1 线性时不变系统互联的系统函数

考虑两个系统的并联,如图9.30(a)所示。

总系统的单位冲激响应是

由拉普拉斯变换的线性性质,有

同理,两个系统的级联,如图9.30(b)所示,其单位冲激响应为

系统函数为

通过代数运算,在表示线性系统的互联时,利用拉普拉斯变换,可以扩展到远比图9.30这种简单
的并联和级联更为复杂的互联中去。

为此,考虑图9.31所示两个系统的反馈互联。第11章将要详细讨论这类互联系统的设计、应用和分析。尽管在时域中这类系统的分析不是特别简单,但是确定由输入x(t)到输出y(t)的总系统函数还是一个直接的代数运算。

具体而言,由图9.31有



由此可得

 
或者

9.8.2 由微分方程和有理系统函数描述的因果线性时不变系统的方框图表示

2.4.3节曾说明过:

利用相加、乘以一个系数、积分这些基本运算,可将由一阶微分方程描述的线性时不变系统用方框图来表示。

这三种运算也能用来构造更高阶系统的方框图,本节将用几个例子来给予说明。


e(t):系统输入信号——enter、errpr

e(t)=x(t) - 3y(t)





【总结】

  • 直接型:完全展开的多项式系数、微分方程的系数;
  • 级联型:因式分解;
  • 并联型:部分分式展开;


9.9 单边拉普拉斯变换

本章前面各节讨论的拉普拉斯变换一般称为双边拉普拉斯变换

稍许有些不同的另一种拉普拉斯变换形式称为单边拉普拉斯变换,将在这一节给予介绍和讨论。


单边拉普拉斯变换在分析具有非零初始条件的(即系统最初不是松弛的),由线性常系数微分方程所描述的因果系统时有很大的价值。

因为x(t)的单边拉普拉斯变换就是,将信号x(t)在t<0时,将它的值置为零,而求得的双边拉普拉斯变换,因此有关双边拉普拉斯变换中的很多细节、概念和结果,都能直接用于单边的情况。

例如,利用9.2节对右边信号的性质4即可得出,式(9.170)的收敛域总是位于某个右半平面。单边拉普拉斯逆变换的求取也与双边变换是相同的,只是单边变换的收敛域一定总是在右半面的。

9.9.1 单边拉普拉斯变换举例

……

9.9.2 单边拉普拉斯变换性质

……

9.9.3 利用单边拉普拉斯变换求解微分方程

单边拉普拉斯变换的一个主要应用是:求解具有非零初始条件的线性常系数微分方程。

现用下面的例子来说明它。

……

9.10 小结

……

第 10 章 z变换

http://www.dtcms.com/a/458364.html

相关文章:

  • 邯郸有做网站的吗word可以制作网页吗
  • 单页面企业网站网站首页的模块布局
  • 做购物商城网站建设android移动网站开发详解
  • 大模型领域中模型压缩与高效推理的核心技术之一:量化技术
  • 虚幻基础:组件间的联动
  • 东莞商城网站建设价格10条重大新闻事件
  • 字体设计教程网站我的网站现在没有排名_我想问是不是花钱做百度推广就会有排名
  • 常规的微距镜头有哪些类型?能做什么?
  • 如何转移网站资讯网站模版
  • 如何增强网站的安全性网站建设包括哪些
  • C++十进制转八进制
  • 国家级示范职业学校 建设网站wordpress响应式视频主题
  • 五华建设银行网站怎么查网站开发的语言
  • gta5资产网站正在建设wordpress 摘要 换行
  • 4. 电容1
  • 做网站用什么电脑好如何做纯文本网站
  • 苏州建设监理有限公司网站示范校建设网站维护
  • 【开题答辩全过程】以基于Vue的医院预约挂号系统的设计与实现为例,包含答辩的问题和答案
  • 做素材网站存储南京网站建设推南京网站建设设计
  • 顺义网站优化网站建设的描述
  • editplus网站开发网站打开慢怎么回事
  • 联想乐权威解析:2025年联想笔记本选购指南
  • 用vuejs做的网站学习网站建设
  • wordpress谷歌插件wordpress 优化 插件
  • 深圳网站建设有市场吗怎么在广西建设厅网站注销c证
  • 网站推广招商php网站开发模板
  • 如何给自己的公司建网站网站快速收录技术
  • 夏家胡同网站建设西宁那有做网站的
  • 国外外包网站云南推广公司
  • 做景观私活的网站个人买域名有什么用