当前位置: 首页 > news >正文

密码入门笔记习题1:希尔密码求密钥

题目

若Hill密码中的明文分组长度为2, 若明文friday经过此密码加密得到的密文为pqcfku,试恢复密钥K.

原理

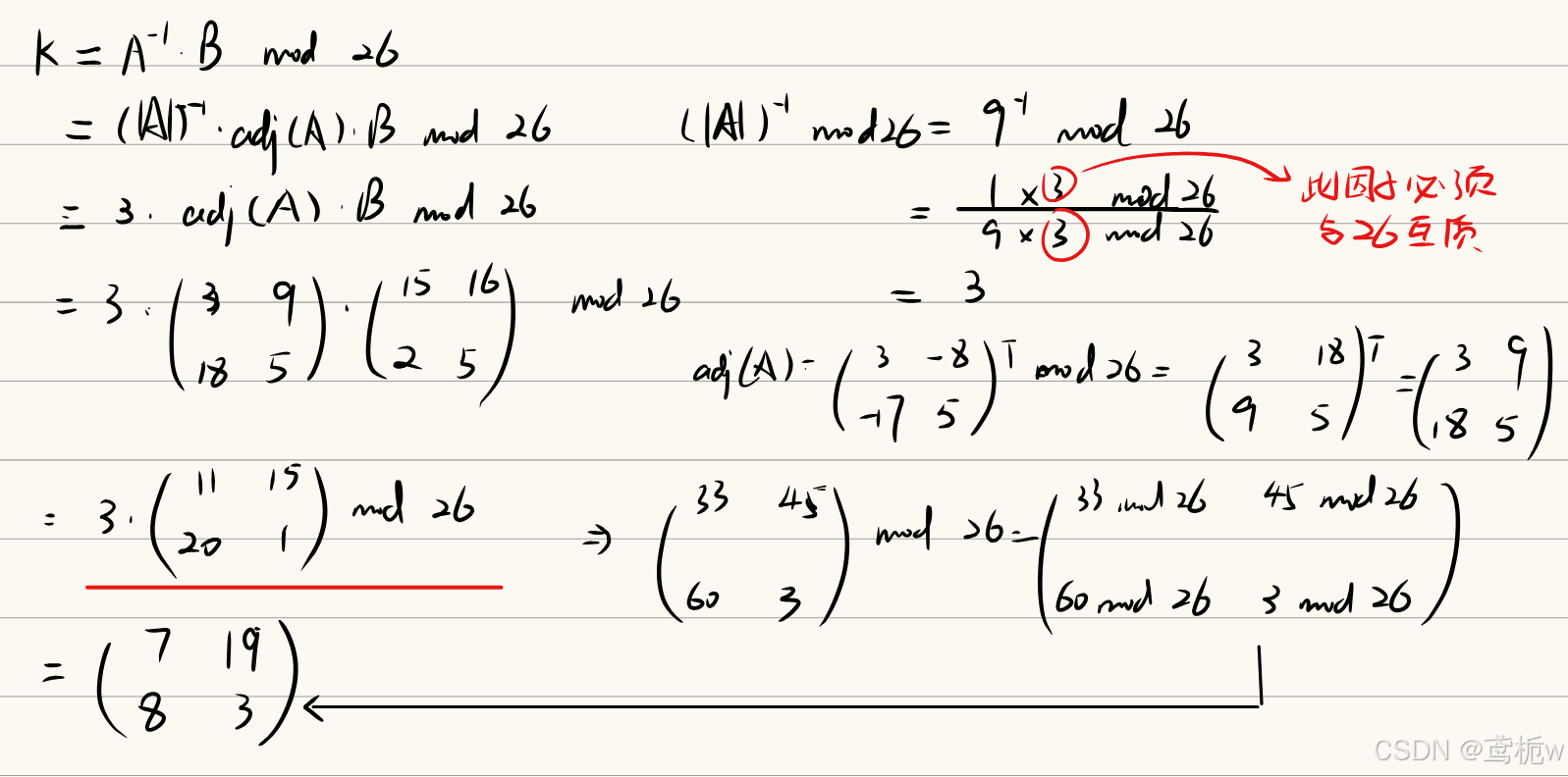
过程

第二种方法—求解方程组在此就不展开,各位可以自行计算,答案应该与求解矩阵结果相同。

注:这里明密文使用行向量,如果使用列向量,答案应该与使用行向量不同

http://www.dtcms.com/a/458717.html

相关文章:

  • 做服装行业网站怎么每天更新内容重庆易企云网络科技有限公司
  • 设计感十足的网站沈阳中讯国际网站建设
  • QML学习笔记(二十五)QML的anchors(锚点)
  • 网站建设优化推广哈尔滨自己做的网站不显示图片
  • 水利建设工程网站wordpress my vistors
  • 网站建设 策划网络营销策划方案目的
  • 织梦网站自助申请友链代码全网推广网站
  • LockSupport.park 与 Object.wait 的方法的区别?
  • 广东建设信息公开网站中学网站管理系统下载
  • 用rem做移动网站开发微信小程序收费
  • ORB_SLAM2原理及代码解析:Tracking::NeedNewKeyFrame() Tracking::CreateNewKeyFrame()函数
  • 医院网站云服务器配置做网站前两个月应该干什么
  • php网站建设与管理网上商城系统平台官网
  • 江苏山海连云建设有限公司网站长沙seo霸屏
  • 进一步加大网站集约化建设力度微信小程序与wordpress
  • 建立网站 要怎么做wordpress恶意注册
  • 网站建设项目工作分解四川做网站的公司
  • 工信部网站备案号查询如何做deal网站推广
  • 网站改版降权上海公司网站建设
  • jdbc简单封装
  • 永宝网站建设招聘信息芜湖做网站的客户
  • BGP 状态机与报文类型详解
  • 桐庐县住房和城乡建设局网站没有网站可以icp备案
  • 免费推广网站排行榜ui视觉设计常用软件是什么
  • 便捷的大连网站建设专业网站建设官网
  • npm 扩展Vite、Element-plus 、Windcss、Vue Router
  • 程序员和网站建设妇联 网站建设情况
  • 食品网站制作点击图片直接进入网站怎么做
  • 酒店网站建设江苏省和城乡建设门户网站
  • 上海做网站的故事哪家好陕西省建设厅人力资源网站