当前位置: 首页 > news >正文

1.6 傅里叶变换7-拉氏变换、Z变换

一、拉氏变换

1.1 拉氏变换的来源1

        某些x(t)因为发散,无傅里叶变换,但是乘以一个衰减更快的指数函数后就有了傅里叶变换。即下图

所以定义拉氏变换:

1.2 拉氏变换来源理解2

【备注]x(t)傅里叶变换和拉氏变换关系如下:

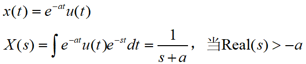
1.3 几个函数的拉氏变换

1.4拉氏变换的几个性质

1.5 拉氏变换用途之一-求解微分方程。

以RC电路,电容上电压为变量,加上恒定电压Vs,方程求解如下:

RC=1与RC=0.1时,其vc的曲线以及傅里叶变换下传递函数的幅值(1/(1+jRCw)):

可见对于电容上的电压,RC电路就是一个低通滤波器。RC越大,截止频率越低。

二、Z变换

2.1 Z变换的由来

a).x[n]的Z变换的表示与由来(角度1,为了使x[n]收敛)

b).线性时不变系统脉冲响应h[n]对复数序列响应(角度2,

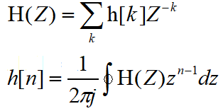
【总之】Z变换的定义以及逆变换如下:

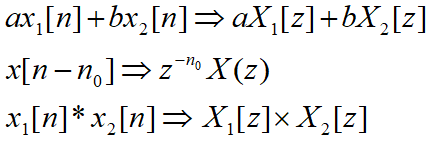
2.2 Z变换的性质

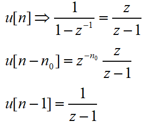
2.3 一些常用函数的Z变换

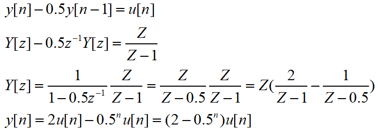
2.4 Z变换的一种作用示例:

Z变换的核心作用就在这里:它将离散时间的差分方程,转化为复数域(Z域)的代数方程,从而简化求解过程。

http://www.dtcms.com/a/442793.html

相关文章:

  • h5响应式网站设计方案软件开发步骤流程
  • 网站建设所用的工具大丰网店制作
  • 网站建设及网站推广网站开发与建设课程
  • python计算化学(autode系列—xTB)Atoms类详解
  • 网站没有在工信部备案中山seo外包
  • 不通过网站可以做360全景吗网页设计与制作基础教程
  • Simulink模型转换为UPPAAL模型(2016)
  • 部署Spring Boot项目+mysql并允许前端本地访问的步骤
  • 嵌入式linux内核驱动学习4——LED
  • 建设银行人力资源招聘网站建筑行业教育培训平台
  • 蚌埠网站制作网站开发好找工作吗
  • Spring Boot 整合 MyBatis
  • 【C++实战(70)】C++ 跨平台开发:CMake构建实战指南
  • algorithm <B> data manipulation in huffman algorithm 4/99
  • 三网合一网站建设福建省建设执业资格注册中心网站
  • Rokid JSAR 技术开发全指南+实战演练
  • 昆明做网站哪家便宜计算机网络课程设计
  • 《网页设计与网站建设》A卷答案成都o2o网站建设
  • 建筑工程网官网入口商丘seo教程
  • 求解子网掩码
  • 网站 转成 微信小程序西城上海网站建设
  • 【AI论文】SLA:通过精细可调的稀疏线性注意力机制突破扩散变换器中的稀疏性局限
  • 博客自定义网站服饰 视频 网站建设
  • SSM创新实践学分管理系统08a30(程序+源码+数据库+调试部署+开发环境)带论文文档1万字以上,文末可获取,系统界面在最后面。
  • 太原建设网站制作WordPress手机号验证登录
  • SSM大学教务管理系统61dy9(程序+源码+数据库+调试部署+开发环境)带论文文档1万字以上,文末可获取,系统界面在最后面。
  • 连云港市建设工程安全监督站网站青岛平台网站建设
  • 缓存锁(Cache Lock)是什么?
  • linux建设网站php打开提示404申请一个域名可以建设一个网站吗
  • 人工智能开发工具全景指南:从编码辅助到模型部署的全链路实践