CAU人工智能class5 激活函数
神经元的大致工作原理

传统的脉冲激活函数存在不足,需要改进激活函数
激活函数的特点

常用的激活函数

Sigmoid 函数
import numpy as np
import matplotlib.pyplot as plt
x = np.linspace(-10,10,50)
y = 1 / (1 + np.exp(-x))
fig = plt.figure()
plt.plot(x, y)
plt.show()

导数

import numpy as np
import matplotlib.pyplot as plt
x = np.linspace(-10,10,50)
y = 1 / (1 + np.exp(-x))
y = y*(1-y)
fig = plt.figure()
plt.plot(x, y)
plt.show()

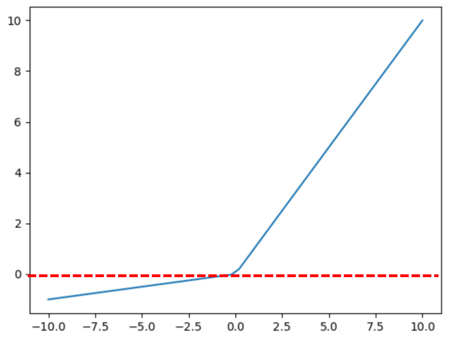
Relu函数
x = np.linspace(-10,10,50)
y = np.zeros(x.shape)
for i,v in enumerate(x):
if v >= 0:
y[i] = v
else:
y[i] = 0
fig = plt.figure()
plt.plot(x, y)
plt.show()
优点:

缺点:

Relu函数的变种
Leaky ReLU


PReLU

指数线性单元(ELU)

高斯误差线性单元(GELU)


Swish 函数

Mesh 函数

关于激活函数的使用建议

为什么初始参数要符合标准正态分布

