当前位置: 首页 > news >正文

Redis学习专题(二)事务和锁机制

目录

引言

1、事务三特性

2、事务相关指令 :Multi、Exec、discard

快速入门

注意:

3、事务冲突 

解决办法:

1.悲观锁

2.乐观锁

3.watch & unwatch


引言

Redis 的事务是什么?

1、Redis 事务是一个单独的隔离操作:事务中的所有命令都会序列化、按顺序地执行

2、事务在执行的过程中,不会被其他客户端发送来的命令请求所打断

3、Redis 事务的主要作用就是串联多个命令防止别的命令插队

具有隔离性,但是没有原子性

1、事务三特性

单独的隔离操作

1、事务中的所有命令都会序列化、按顺序地执行

2、事务在执行的过程中,不会被其他客户端发送来的命令请求所打断

没有隔离级别的概念

队列中的命令(指令), 在没有提交前都不会实际被执行

不保证原子性

事务执行过程中, 如果有指令执行失败,其它的指令仍然会被执行, 没有回滚

2、事务相关指令 :Multi、Exec、discard

1) 从输入Multi命令开始,输入的命令都会依次进入命令队列中,但不会执行(类似Mysql 的 starttransaction 开启事务) 

2) 输入Exec后,Redis会将之前的命令队列中的命令依次执行(类似Mysql的commit 提

3) 组队的过程中可以通过discard放弃组队(类似Mysql的rollback 回顾事务)

4) 老韩说明:Redis事务和Mysql事务本质是完全不同的 

快速入门

注意:

1、组队的过程中, 可以通过discard来放弃组队 

2、如果在组队阶段报错, 会导致exec失败, 那么事务的所有指令都不会被执行 (原子性)

3、如果组队成功, 但是指令有不能正常执行的, 那么exec提交, 会出现有成功有失败情况, 也就是事务得到部分执行, 这种情况下,Redis事务不具备原子性

而且错误的指令可能在组队的时候会成功 ,举例:incr k1(对键 k1 存储的整数值进行 原子性递增+1

 

3、事务冲突 

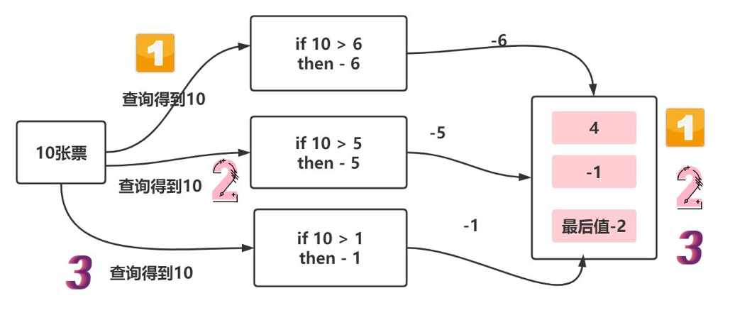
经典的抢票问题

1) 一个请求想购买6 

2) 一个请求想购买5

3) 一个请求想购买1

所以一共是需要12张票

 如果我们现在只有10张票,但是用户1\2\3同时查询都是10张,最后的剩余票数变成-2,造成超卖

解决办法:

1.悲观锁

工作示意图:

1) 悲观锁(Pessimistic Lock), 顾名思义,就是很悲观,每次去拿数据的时候都认为别人会修改,所以每次在拿数据的时候都会上锁

2) 这样别人/其它请求想拿这个数据就会block(阻塞)直到它拿到锁。

3) 悲观锁是锁设计理念, 传统的关系型数据库里边就用到了很多这种锁机制,比如行锁,表锁等,读锁,写锁等,都是在做操作之前先上锁. 

缺点:性能会比较弱,因为每次上锁和释放锁都有性能的开销

2.乐观锁

工作示意图

1) 乐观锁(Optimistic Lock), 顾名思义,就是很乐观,每次去拿数据的时候都认为别人不会修改,所以不会上锁

2) 但是在更新的时候会判断一下在此期间别人有没有去更新这个数据,可以使用版本号等机制,这个版本修改是需要原子性

3) 乐观锁适用于多读的应用类型,这样可以提高吞吐量。Redis就是利用这种check-and-set机制实现事务的

4) 乐观锁是锁设计理念

用户2第一次查询失败就会把版本变成v1.1然后再次去查询操作票

3.watch & unwatch

1、基本语法:watch key[key ...]

2、在执行multi之前,先执行watch key1[key2],可以监视一个(或多个)key ,如果在事务执行之前这个(或这些)key 被其他命令所改动,那么事务将被打断.

3、这里可以结合乐观锁机制进行理解

理解:

http://www.dtcms.com/a/197327.html

相关文章:

  • Linux——shell编程
  • 基于 Leaflet 地图库的强大线条、多边形、圆形、矩形等绘制插件Leaflet-Geoman
  • 【背包dp-----分组背包】------(标准的分组背包【可以不装满的 最大价值】)
  • 【双指针】供暖器
  • 2025春训第二十场
  • 【51】快速获取数码管段选表(含小数点)及字母表的工具(分享)
  • CMake基础及操作笔记
  • 布隆过滤器深度解析
  • muduo库EventLoopThread模块详解——C++
  • 牛客OJ在线编程常见输入输出练习--Java版
  • CE17.【C++ Cont】练习题组17(堆专题)
  • 18-总线IIC
  • Java大师成长计划之第25天:Spring生态与微服务架构之容错与断路器模式
  • 软件安全检测报告:如何全面评估企业级办公软件安全性?
  • .NET 中管理 Web API 文档的两种方式
  • Oracle APEX IR报表下载CSV文件的方法
  • lc42接雨水
  • 江协科技OLED移植hal库
  • gcc 源码目录文件夹功能简介
  • 2020CCPC河南省赛题解
  • c++动态链接库
  • 电子电路:电位器和可变电阻是同一个东西吗?
  • CT重建笔记(五)—2D平行束投影公式
  • [已解决] LaTeX “Unicode character“ 报错 (中文字符处理)
  • 硬件工程师笔记——二极管Multisim电路仿真实验汇总
  • 给图表组件上点“颜色” —— 我与 CodeBuddy 的合作记录
  • 赋能企业级移动应用 CFCA FIDO+提升安全与体验
  • 实物工厂零件画图案例(中)
  • 56.合并区间(java)
  • 【言语理解】逻辑填空之词义辨析(10)