当前位置: 首页 > news >正文

动态范围调整(SEF算法实现)

一、背景介绍

        继续在整理对比度调整相关算法,发现一篇单帧动态范围提升的算法:Simulated Exposure Fusion,论文表现看起来很秀,这里尝试对它进行了下效果复现。

二、实现流程

1、基本原理

        整体来说,大致可以分为两步:

        a、将单帧输入图像拆分为多帧图像,每帧图像相对输入来说,只保留部分区域信息,并对这部分区域进行了动态范围拓展。

        b、对生成的多帧图像进行图像融合,得到最终结果图像,具体细节可以参考资料:杞朹:曝光融合(Exposure Fusion)

        由于融合部分复用了之前讲过的算法,因此我们这里重点只关注如何生成帧。

        在生成帧上,也分为两种情况:

                a、外部直接指定生成帧数量。

                b、算法内部自适应计算生成帧数量。

2、输入信息

        a、单帧图像输入,并将输入图转换到HSV空间,对V通道处理。

 

        b、三个输入参数:alpha, beta, lambda。

                其中lambda参考论文,可以直接设置为0.125。

3.1、图像拆分帧数(外部指定)

        beta可以控制生成帧数量:比如beta为0.25,那么设置生成帧数量M=1/beta=4。

3.2、图像拆分帧数(自适应生成)

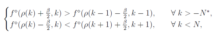
        a、利用直方图统计信息,计算出来图像中值,根据图像中值来反映当前图像的整理亮暗层度。

        b、在后面帧序列生成上,我们可以知道,每个帧序列的有效像素范围为:

 

        因此,我们可以根据公式:

 

        找到序列帧之间,不存在有效像素公共区域的最大可拆帧数量,作为当前可生成帧的最大序列数量M。

        对应的伪代码实现为:

 

4、帧序列生成

        a、根据公式:

 

        对生成序列每一帧都进行简单亮度调整,得到调整后图像f。

        b、对生成序列每一帧,根据公式计算一个参数:

 

        c、当图像f像素值范围在:

 

        之间的时候,像素值保持不变。

否则像素值为:

 

        通过这种方式保证当前序列帧只关注原图像

 

        范围内的图像信息,并且保证和范围之外的像素信息过度平滑,避免出现明显截断。

        d、生成帧演示:每一帧序列可以用如下一条曲线表示实际包含的原图像素信息:

 

       部分实际序列帧效果:

 

三、效果对比

        左边为输入图,右边为结果图像:

 

四、复现代码

相关的matlab代码,可以参考:IPOL Journal · Simulated Exposure Fusion

我这边做了简单的c++版本复现:

ImageQualityEnhancement/ltm/sef at master · yulinghan/ImageQualityEnhancement · GitHub

http://www.dtcms.com/a/195276.html

相关文章:

  • 不清楚的点
  • Visual Studio旧版直链
  • “光伏+储能+智能调控”,CET中电技术分布式智能微网方案如何实现?
  • 从技术视角解构 Solana Meme 币生态
  • NanoPcT6 gpio操作
  • redisson基础
  • java 使用zxing生成条形码(可自定义文字位置、边框样式)
  • Pageassist安装(ollama+deepseek-r1)
  • Fura Red AM,Cell Permeant钙离子探针使用说明
  • 消息队列与Kafka基础:从概念到集群部署
  • 顶层设计-IM系统架构
  • 57页PPT|数字化工艺系统建设方案工艺数字化转型传统工艺数字化转型解决方案
  • 深入浅出横向联邦学习、纵向联邦学习、联邦迁移学习
  • C# 面向对象 构造函数带参无参细节解析
  • 【软件推荐——pdf2docx】
  • 解决将其他盘可用空间,移植到C盘
  • 10G 集成 4 口网口连接器的核心优势
  • 构建稳定的金字塔模式生态:从自然法则到系统工程
  • 【mysql】并发 Insert 的死锁问题 第二弹
  • 2025第三届盘古初赛(计算机部分)
  • 信息安全基础知识
  • Houdini POP入门学习01
  • 什么是实景VR?实景VR应用场景
  • Ai Agent革命:不是流程驱动,而是模型为魂
  • 【LeetCode 热题 100】搜索插入位置 / 搜索旋转排序数组 / 寻找旋转排序数组中的最小值
  • Redis数据结构详解:应用场景与使用指南
  • AUTOSAR图解==>AUTOSAR_SWS_ICUDriver_AUTOSAR_SWS_ICUDriver
  • 新京东,正在成为一种生活方式
  • BM25 算法与关键词提取在向量数据库中的实践优化
  • 架构篇、第五章_05Jenkins的部署与构建