当前位置: 首页 > news >正文

卡尔曼滤波及变种 KF EKF ESKF的区别跟用法

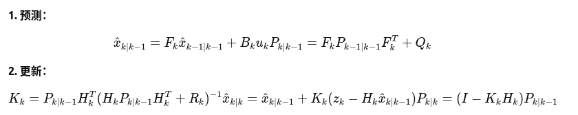
一、KF(Kalman Filter)卡尔曼滤波

📌 适用条件:

  • 系统是线性系统

  • 过程和观测噪声是高斯白噪声

  • 系统状态转移和观测模型可以表示为 线性矩阵形式

✅ KF 公式:

🧠 KF 特点总结:

  • 简单高效

  • 适合线性系统

  • 不适用于复杂动态或非线性状态空间


🔹 二、EKF(Extended Kalman Filter)扩展卡尔曼滤波

📌 适用条件:

  • 系统是非线性系统

  • 状态转移函数 f(x) 和观测函数 h(x) 可导(一阶可微

  • 使用 一阶泰勒展开(线性化)

🔧 一阶泰勒展开线性化步骤

✅ EKF 步骤:

🧠 EKF 特点总结:

  • 非线性系统可用,但要线性化

  • 有线性化误差(尤其是强非线性时)

  • 在SLAM、VIO(视觉惯性)中常用


🔹 三、ESKF(Error-State Kalman Filter)误差状态卡尔曼滤波

📌 核心思想:

  • 直接估计误差状态,而不是估计系统状态本身

  • 系统状态仍用非线性方程更新,但滤波器仅对误差进行线性化

✅ ESKF 的流程(简化说明):

✅ 优点:

  • 避免了对整个状态函数的直接线性化,只线性化误差部分

  • 更适合处理 姿态(旋转) 等具有非欧几里得几何结构的状态

  • 保持主状态在原坐标系中演化,误差只在小量空间展开,更加稳定 

🧠 三者对比总结:

项目KFEKFESKF
系统模型线性非线性,线性化整体非线性,线性化误差状态
处理对象状态状态误差状态 + 主状态
精度稳定性高(线性系统)一般(强非线性会误差大)更高(误差小量线性化,稳定)
姿态处理不适用需要线性化旋转适合旋转(使用李群、四元数等误差表达)
应用场景简单线性系统VIO, SLAM 中常用高动态系统(IMU导航)、非欧空间状态估计等

🚀 使用场景举例

场景推荐使用
简单目标跟踪(位置、速度)KF
SLAM 中非线性观测(如相机)EKF
IMU 融合导航、VIO、惯导ESKF ✅

如果你在做激光IMU融合(如LIO-SAM、FAST-LIO),ESKF 是主流方式;
而如果你在做VIO(如VINS、OKVIS),EKF 或直接用优化器更合适。

http://www.dtcms.com/a/195228.html

相关文章:

  • 医学图像分析中的大规模基准测试与增强迁移学习|文献速递-深度学习医疗AI最新文献
  • Java【13_1】final、初始化块、继承(测试题)
  • 基于“岗课赛证”融通的中职“综合布线技术”课程解决方案
  • 物联网技术在银行安全用电系统中的应用与实践研究
  • 网络安全-等级保护(等保) 2-6 GB/T 36958—2018 《信息安全技术 网络安全等级保护安全管理中心技术要求》-2018-12-28 发布【现行】
  • 14 C 语言浮点类型详解:类型精度、表示形式、字面量后缀、格式化输出、容差判断、存储机制
  • 【MySQL】索引太多会怎样?
  • Qt图表绘制(QtCharts)- 性能优化(13)
  • 高速光耦在通信行业的应用(五) | 5Mbps通信光耦的特性
  • FEKO许可证与版本兼容性问题
  • PT2062单触控单输出LED调光IC
  • c++ 类的语法4
  • 1.4 查看dll的架构(X86\X64)以及X86能否在X64下运行
  • MySQL锁机制详解与加锁流程全解析
  • ubuntu22鼠键失灵恢复记录笔记chatgpt解决
  • 动态图标切换的艺术
  • C++ --- new与delete
  • [特殊字符] Maven配置阿里云镜像终极指南(2024最新版)
  • EasyExcel导出excel再转PDF转图片详解
  • A Neural Approach to Blind Motion Deblurring论文阅读
  • 数值分析证明题
  • 【独家精简】win11(24h2)清爽加速版
  • 线上问题排查:JVM OOM问题如何排查和解决
  • go.mod关于go版本异常的处理
  • DTC测试点归纳
  • 内核性能测试(60s不丢包性能)
  • CSS- 2.1 实战之图文混排、表格、表单、学校官网一级导航栏
  • 开源轻量级地图解决方案leaflet
  • 社区商城引流商品选择与定价策略
  • `ParameterizedType` 和 `TypeVariable` 的区别