NHANES指标推荐:AISI

文章题目:Association between the aggregate index of systemic inflammation and CKD: evidence from NHANES 1999-2018
DOI:10.3389/fmed.2025.1506575
中文标题:全身炎症总指数与 CKD 之间的关联:来自 NHANES 1999-2018 的证据
发表杂志:Front Med
影响因子:1区,IF=3.1
发表时间:2025年3月
今天给大家分享一篇在 2025年3月发表在《Front Med》(1区,IF=3.1)的文章。我们旨在调查全身炎症聚合指数 (AISI) 与慢性肾脏病 (CKD) 之间的潜在关联。
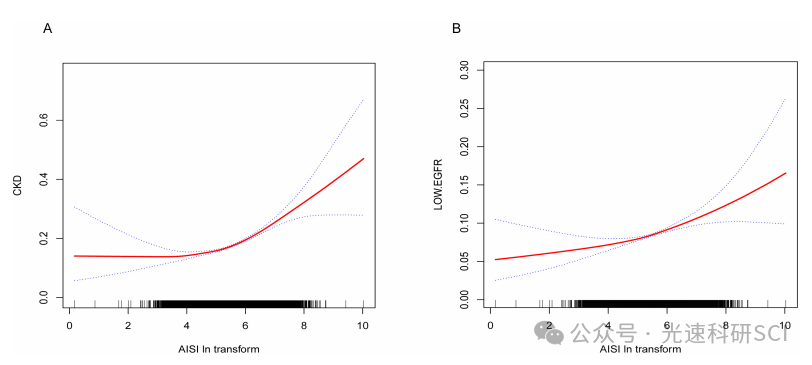
研究方法:本研究分析了 1999 年至 2018 年全国健康与营养检查调查 (NHANES) 的数据。CKD 定义为估计肾小球滤过率 (eGFR) 低于 60 mL/min/1.73 m2 或存在白蛋白尿,定义为尿白蛋白与肌酐比值 (ACR) 为 30 mg/g 或更高。低 eGFR 是指 eGFR 低于 60 mL/min/1.73 m2。进行多因素回归分析、平滑曲线拟合和亚组分析,探讨炎症状态指数 (AISI) 与 CKD 之间的关系。采用受试者工作特征 (ROC) 曲线分析评价其识别 CKD 和低 eGFR 的能力。使用自然对数 (Ln) 转换 AISI 进行统计分析。
Table&Figure



结果解读:在50,768 名新兵中,49.86% 是男性。CKD 和低 eGFR 的患病率分别为 20.31% 和 8.57%。Ln-AISI 与 CKD (OR = 1.24;95% CI: 1.19, 1.28) 和低 eGFR (OR = 1.17;95% CI:1.11, 1.24) 呈正相关。平滑曲线拟合显示 AISI 和 CKD 与低 eGFR 呈正相关。亚组分析和交互测试表明,分层并未显著改变 AISI 和 CKD 与低 eGFR 之间的关联。阈值效应分析表明,当 Ln-AISI 超过 5.2 (AISI > 181.27) 时,这种关系变得更加明显。ROC 分析显示,与其他炎症指标 [淋巴细胞计数 (LYM)、全身免疫炎症指数 (SII)、血小板与淋巴细胞比值 (PLR) 以及血小板计数和中性粒细胞计数 (PPN) 的乘积] 相比,AISI 在识别 CKD 和低 eGFR 方面具有更好的区分度和准确性。
结论:AISI 与 CKD 的患病率呈显著正相关,当 AISI 大于 181.27 时,这种关系更有效。与其他炎症指标相比,AISI 在识别 CKD 方面更有效。
大家在科研路上,可以借鉴这种研究方法,为自己的课题添砖加瓦。万层高楼平底起,一起加油呀!
