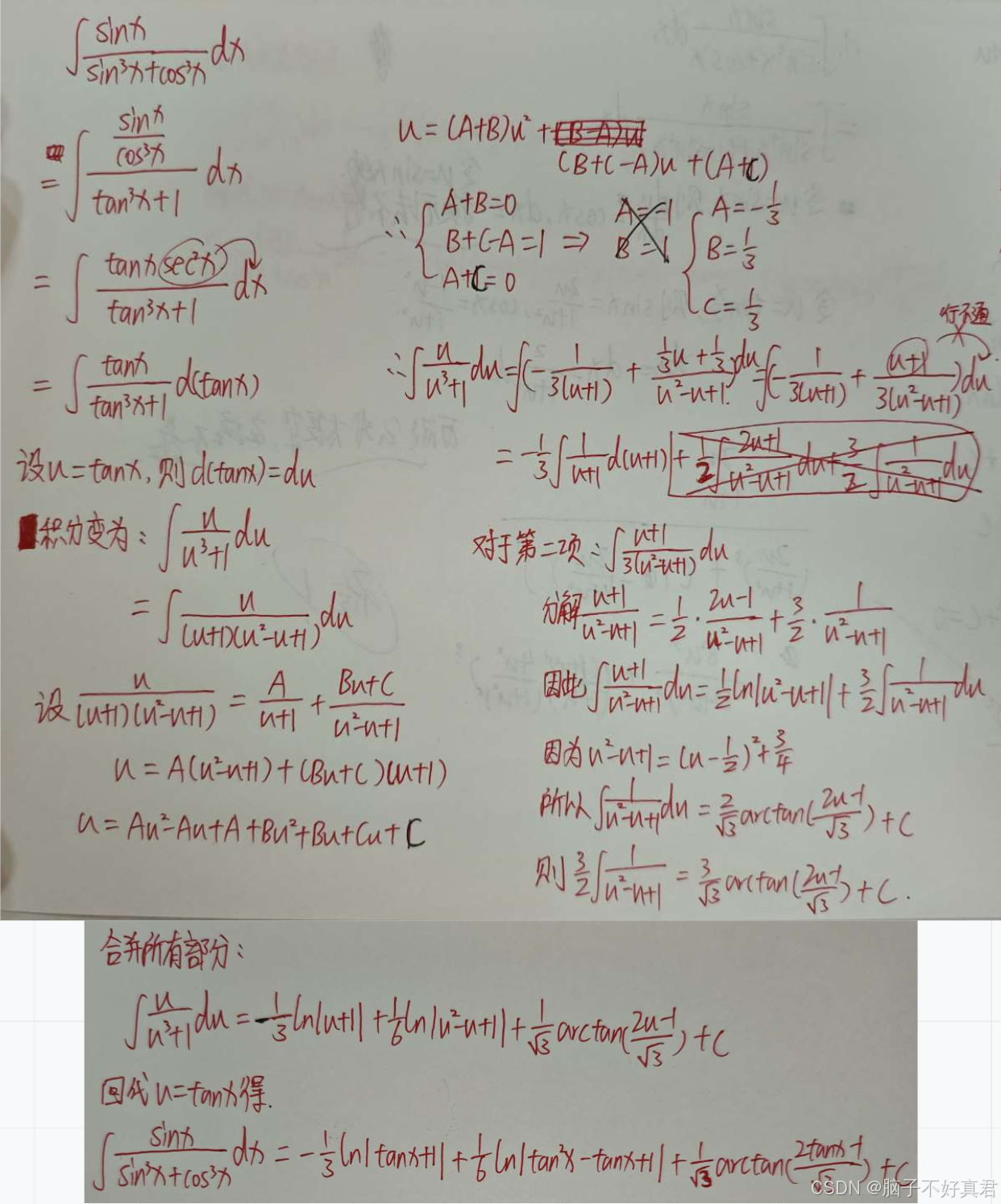
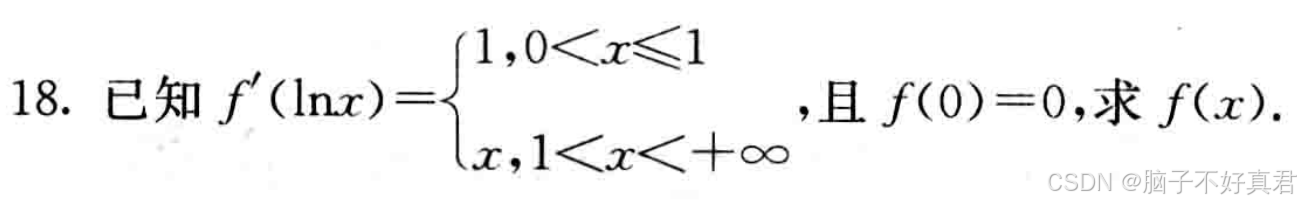
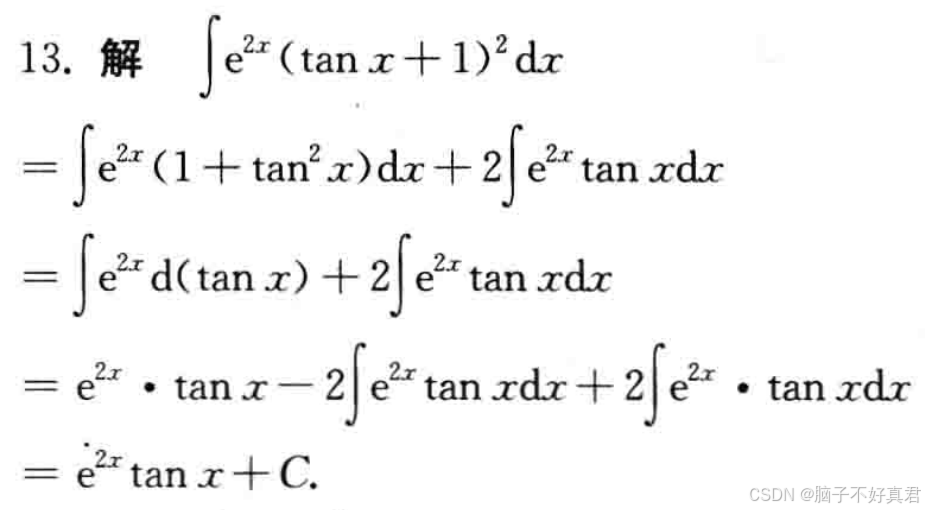
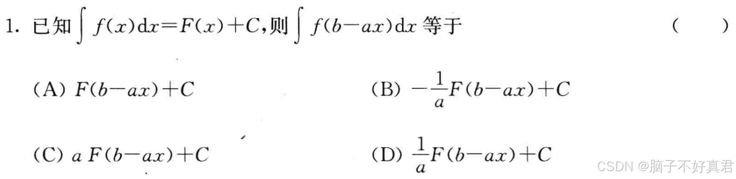
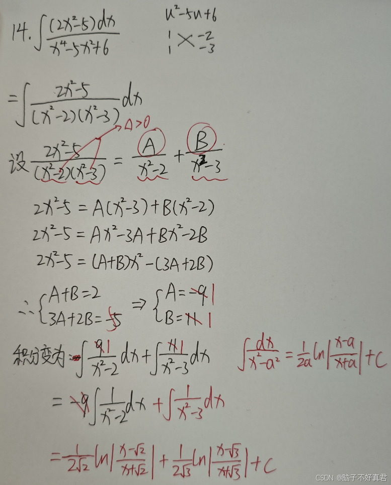
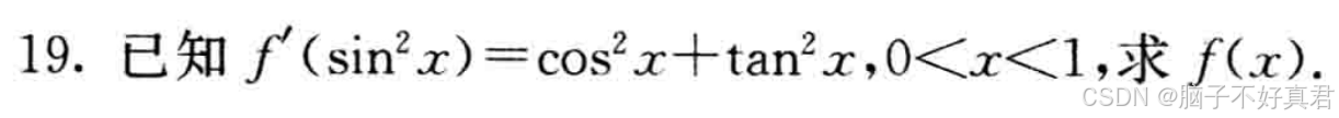
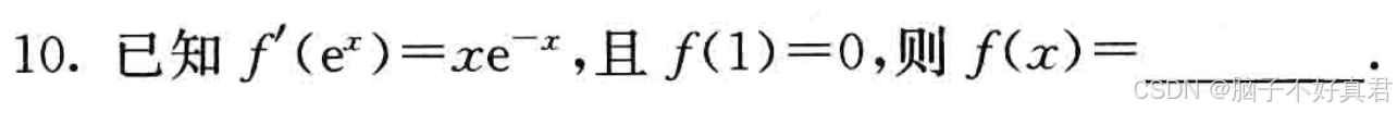
当前位置: 首页 > news >正文 高等数学同步测试卷 同济7版 试卷部分 上 做题记录 第四章 不定积分同步测试卷 B卷 news 2025/11/2 10:12:38 第四章 不定积分同步测试卷 B卷 一、单项选择题(本大题共5小题,每小题3分,总计15分) 1. 2. 3. 4. 5. 二、填空题(本大题共5小题,每小题3分,总计15分) 6. 7. 8. 9. 10. 三、求解下列各题(本大题共5小题,每小题6分,总计30分) 11. 12. 13. 14. 分式分解设分解式规则-CSDN博客 15. 四、求解下列各题(本大题共5小题,每小题8分,总计40分) 16. 17. 18. 19. 20. 查看全文 http://www.dtcms.com/a/170674.html 相关文章: LeetCode刷题链表 Spring AI 实战:第四章、Spring AI多模态之看图说话 Go语言实现Kafka消息队列 【图书管理系统】环境介绍、设计数据库和表、配置文件、引入依赖 JVM——JVM是怎么实现invokedynamic的? Go语言--语法基础4--基本数据类型--类型转换 4个纯CSS自定义的简单而优雅的滚动条样式 图片压缩与尺寸调整的便捷工具推荐 Qt输入控件(QInput Widgets)详解:从基础到实战 【leetcode】队列 + 宽搜,树形结构层序遍历的基础与变化 前端开发,文件在镜像服务器上不存在问题:Downloading binary from...Cannot download... JAVA设计模式——(十)抽象工厂模式(Abstract Factory Pattern) PostgreSQL 的 REINDEX 命令 LeetCode 2071 你可以安排的最多任务数目 题解(附带自己的错误做题思路 过了25/49) 个人健康中枢的多元化AI网络革新与精准健康路径探析 【数据结构】励志大厂版·初阶(复习+刷题)排序 linux 使用nginx部署ssl证书,将http升级为https CF1000E We Need More Bosses 什么是DGI数据治理框架? 【Python】一直没搞懂生成器是什么。。 Fine Structure-Aware Sampling(AAAI 2024)论文笔记和启发 Milvus(13):自定义分析器、过滤器 Prompt compress 技术探究-LLMLingua 【Linux】深入理解程序地址空间 WPF中Behaviors [特殊字符] 人工智能大模型之开源大语言模型汇总(国内外开源项目模型汇总) [特殊字符] leetcode 59. 螺旋矩阵 II 大连理工大学选修——图形学:第二章 计算机图形硬件及绘图系统 Git推送大文件导致提交回退的完整解决记录 短信侠 - 自建手机短信转发到电脑上并无感识别复制验证码,和找手机输验证码说再见!
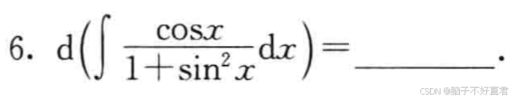
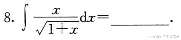
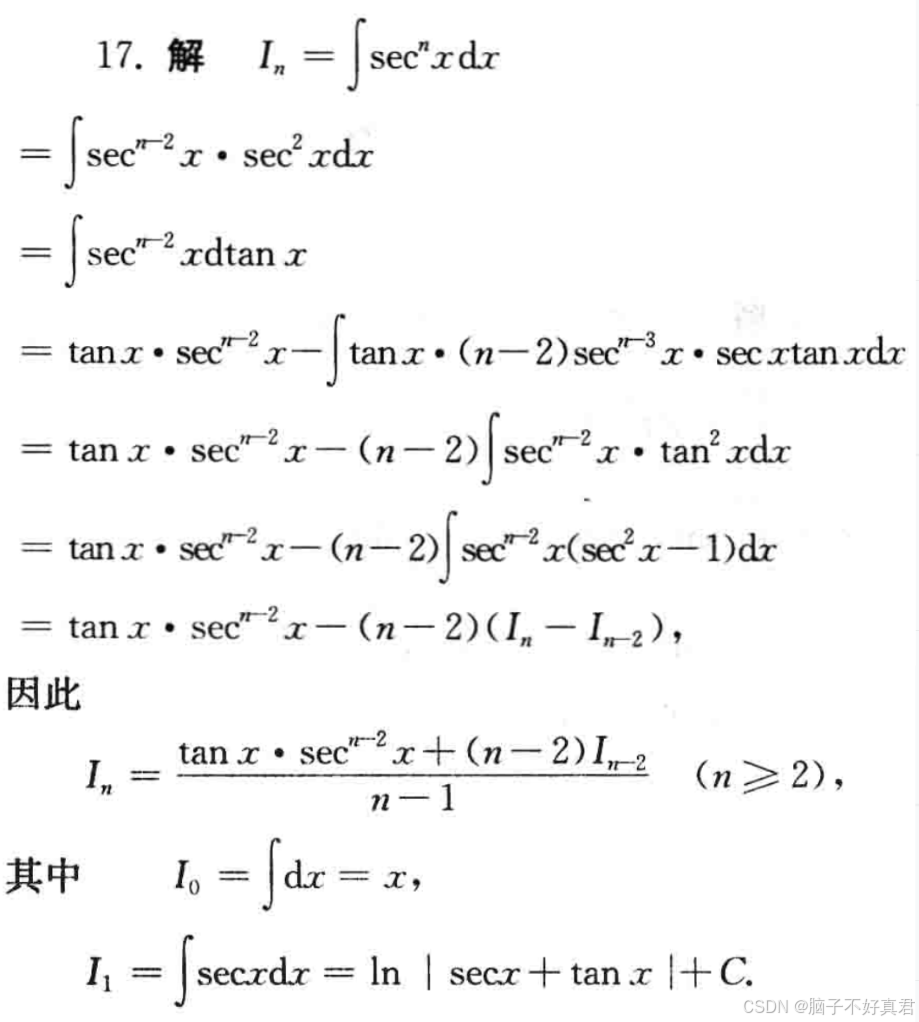
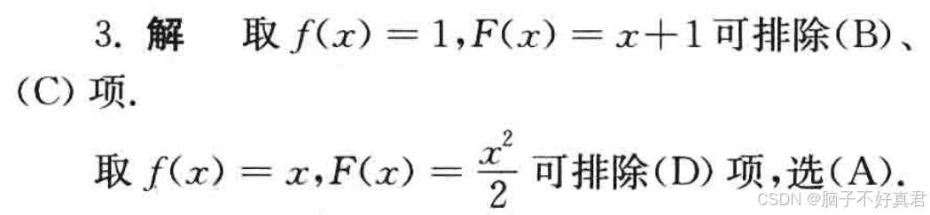
第四章 不定积分同步测试卷 B卷 一、单项选择题(本大题共5小题,每小题3分,总计15分) 1. 2. 3. 4. 5. 二、填空题(本大题共5小题,每小题3分,总计15分) 6. 7. 8. 9. 10. 三、求解下列各题(本大题共5小题,每小题6分,总计30分) 11. 12. 13. 14. 分式分解设分解式规则-CSDN博客 15. 四、求解下列各题(本大题共5小题,每小题8分,总计40分) 16. 17. 18. 19. 20.