当前位置: 首页 > news >正文

信号与系统第二章学习(五)

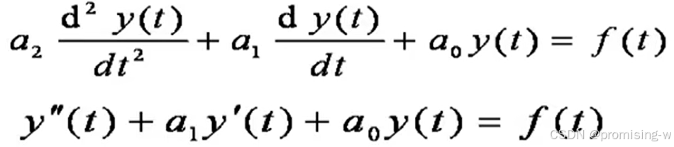
第二章 连续系统的时域分析

2.1连续系统的建立——电路图建立微分方程

本章研究对象就是线性时不变连续系统

Z2.1连续系统的描述:电路图建立微分方程

1.数学模型

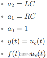
1. 电路分析

考虑一个简单的RLC串联电路,包含电阻 RR、电感 LL 和电容 CC。根据基尔霍夫电压定律,电路中的总电压降等于激励电压 us(t)us​(t)。因此,我们可以写出:

其中:

  •  是电阻上的电压,

  •   是电感上的电压,

  •   是电容上的电压。

2. 元件电压-电流关系

根据电路元件的电压-电流关系:

  • 电阻:

  • 电感:

  • 电容:

3. 代入KVL方程

将元件的电压-电流关系代入KVL方程:

4. 微分方程

为了消除积分,我们对整个方程对时间 t 求导:

由于 ​,我们可以将用  表示:

简化后得到:

这就是第一个方程:

5. 初始条件

初始条件 分别表示电容电压及其一阶导数在 时刻的值。

6. 一般形式的微分方程

将上述方程写成一般形式的二阶常系数线性微分方程:

其中:

这就是第二个方程。

总结

通过基尔霍夫电压定律和元件的电压-电流关系,我们得到了描述RLC电路行为的二阶常系数线性微分方程。这个方程可以用来分析电路在不同激励下的响应。

2.相似系统

相似系统:能用相同方程描述的系统。

Z2.2 微分方程的模拟框图

1.基本部件

基本运算:数乘、微分、相加

基本部件:加法器、数乘器(放大器)、积分器

  • 加法器:

  • 数乘器:

  • 积分器:积分器的抗干扰比微分器好

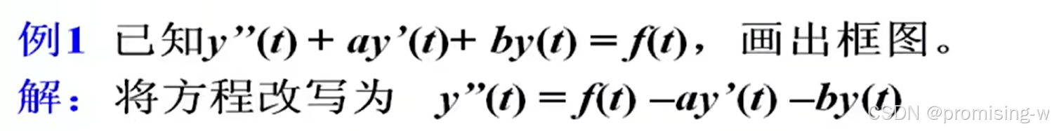
2.模拟框图

模拟框图:将微分方程用基本部件的相互连接表征出来的图,简称框图

绘制步骤为:

  1. 先画出两个积分器;
  2. 以最后一个积分器的输出端为y(t);
  3. 左边第一个积分器的输入端就是y''(t), 也是加法器的输出。

 

引入辅助函数 x(t)x(t) 的目的是为了简化原微分方程的处理,特别是当方程的右边包含输入函数 f(t)f(t) 的导数时。以下是详细解释为什么辅助函数要那样列方程:

1. 原方程的复杂性

原方程为:

这个方程的右边包含了 f(t) 的导数 f′(t),这使得直接求解y(t) 变得复杂,因为我们需要处理 f′(t) 的影响。

2. 引入辅助函数的目的

为了简化问题,我们引入一个辅助函数x(t),使得:

这个方程描述了一个更简单的系统,其输入是 f(t),输出是x(t)。通过这种方式,我们可以将原方程中的 f(t) 和 f′(t)的影响分离出来。

3. 表达 y(t) 与 x(t) 的关系

假设 y(t)可以表示为 x(t)及其导数的线性组合:

这个假设基于原方程中 f(t)和 f′(t) 的系数。通过这种表示,我们可以将 y(t) 的表达式中包含 f′(t)的部分转化为 x′(t)。

4. 验证关系的正确性

为了验证这个假设的正确性,我们将 y(t)=4x′(t)+x(t) 代入原方程:

y′′(t)+3y′(t)+2y(t)=4f′(t)+f(t)

通过一系列的推导和简化,我们发现这个假设是成立的。这表明通过引入辅助函数 x(t),我们可以将原方程转化为一个更易处理的形式。

5. 简化系统分析

通过引入辅助函数x(t),我们将原系统分解为两个部分:

  • 一个子系统,其输入为f(t),输出为x(t)。

  • 另一个子系统,其输入为x(t) 和 x′(t),输出为 y(t)=4x′(t)+x(t)。

这种分解使得我们可以分别分析和处理每个子系统,从而简化了整个系统的分析和设计。

总结

引入辅助函数 x(t)x(t) 的目的是为了将原方程中的复杂项(特别是f′(t))分离出来,使得我们可以更容易地处理和分析系统。通过这种方式,我们可以将原系统分解为更简单的子系统,从而简化整个系统的分析和设计过程。

 

http://www.dtcms.com/a/16650.html

相关文章:

  • npm安装时无法访问github域名的解决方法
  • 网络安全事件分级
  • 图像变换:了解透视变换原理及OpenCV实现
  • qt QToolButton使用总结
  • qt中部件存储自定义数据
  • 《网络编程卷2:进程间通信》第四章:管道与FIFO深度解析
  • Spring Boot(8)深入理解 @Autowired 注解:使用场景与实战示例
  • 面试经典150题——位运算
  • 本地部署DeepSeek集成VSCode创建自己的AI助手
  • 国内 网络安全沙箱
  • IC-Portrait:打造逼真个性化肖像的新纪元!
  • 什么是AI Agent、Chat、RAG、MoE
  • http 模块
  • 网络安全协议之比较(SSH、PKI、SET、SSL)
  • 宏基传奇swift edge偶尔开机BIOS重置
  • kafka了解-笔记
  • 【React】组件通信
  • vsftpd 配置项说明
  • AI 如何改变职场:从增强到重塑工作的未来
  • C++基础 | 线程`std::thread`
  • VoIP之音视频会议中的混音技术
  • LeetCode 1552.两球之间的磁力:二分查找
  • Humanoid Robot Price Break 人形机器人价格突破
  • NO.14十六届蓝桥杯备战|switch语句|break|default|2道练习(C++)
  • 基于LSTM+前向均值滤波后处理的癫痫发作检测(包含数据集)
  • C++ 设计模式-装饰器模式
  • 第四篇:放大电路的“子弹时间”——车载音频与传感器信号链设计
  • oppo,康冠科技25届春招内推
  • 5种解决方式来应对deepseek暂时无法回答
  • 使用 YOLOv8 模型分析摄像头的图像