折叠机处理流程
深入解析NYFR采样脉冲串、平均采样率及本振信号的作用与区别
一、为什么需要关心NYFR的采样脉冲串?
采样脉冲串是NYFR实现频谱折叠和非均匀采样的核心部件,其特性直接决定了接收机的性能:

二、平均采样率(f_s)的物理意义与设计约束

三、本振的上升沿过零点时刻与采样脉冲生成

四、不同本振类型的流程差异与结果对比

五、流程验证与关键步骤解析

六、实例对比:不同本振对NYFR性能的影响

七、总结
-
NYFR的核心创新:通过非均匀采样脉冲串的频谱折叠特性,以低速ADC实现超宽带信号接收。
-
参数设计要点:
• (f_s)决定NZ划分和硬件成本,需权衡监视带宽与ADC性能。• 本振类型影响频谱扩展方式和解模糊算法选择。
-
未来方向:结合压缩感知理论,优化采样脉冲的非均匀性,进一步提升抗混叠能力和解模糊效率。
一些问题


采样脉冲串在流程中的具体作用

采样脉冲串:是NYFR实现频谱折叠和解模糊的核心,需严格设计其调制特性。
平均采样率 fs:决定基带宽度和NZ区划分,受ADC能力和调制参数约束。
本振过零点:直接生成非均匀采样脉冲,影响谐波分布和系统鲁棒性。
流程的核心思想:通过调制将宽带信号的NZ区信息编码到基带谐波中,利用低速ADC和数字处理实现超宽带接收。
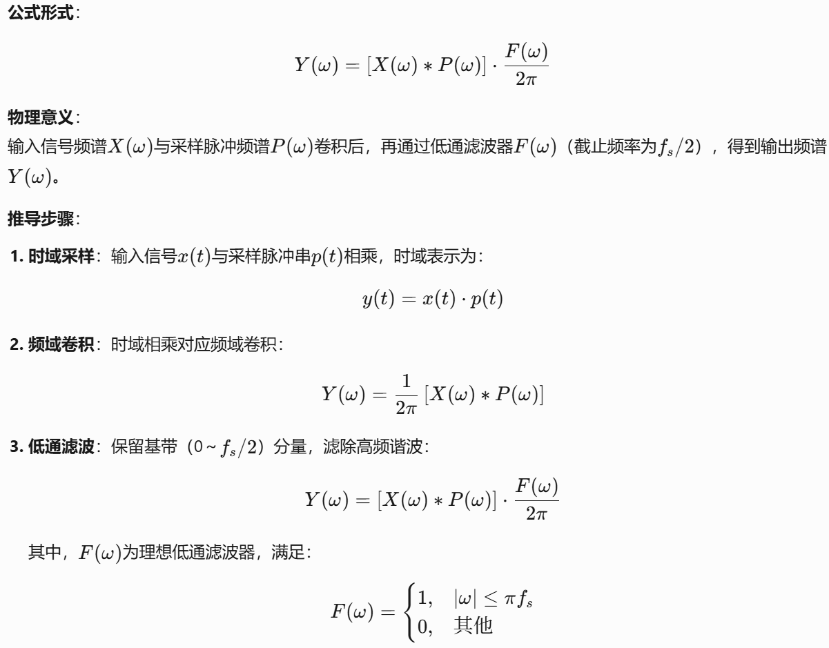
折叠机信号处理公式

公式2.8

关键点:
- 采样脉冲频谱P(ω):由于本振被调制(如正弦调频),P(ω)不再是均匀间隔的冲激序列,而是包含以kfs(k为整数)为中心的谐波簇,每个谐波的幅度由调制参数(如贝塞尔系数)决定。
- 卷积效应:输入信号频谱X(ω)与每个谐波分量卷积,导致信号被搬移至基带(0~fs/2),并叠加调制项的权重
公式2.9

单频点实际例子分析
参数设置:
-
平均采样率fs=1GHz → Nyquist区宽度为0.5GHz(fs/2)。
-
低通滤波器截止频率:0.5GHz。
-
NZ区划分:
NZ0:0~0.5GHz
NZ1:0.5~1.0GHz
NZ2:1.0~1.5GHz
NZ3:1.5~2.0GHz -
信号定位:
输入信号fc =1.25GHz位于NZ2(1.0~1.5GHz),对应kx =2

宽带线性调频信号例子
宽带线性调频信号的频谱搬移过程分析
1. 输入信号与系统参数
• 输入信号:线性调频信号,频率范围 0.3GHz~1.3GHz(带宽1GHz,覆盖3个Nyquist区)。
• 平均采样率:(f_s = 1\text{GHz}) → Nyquist区宽度为(0.5\text{GHz})。
• 低通滤波器:截止频率(0.5\text{GHz})。
• Nyquist区划分:
• NZ0:0~0.5GHz
• NZ1:0.5~1.0GHz
• NZ2:1.0~1.5GHz
• NZ3:1.5~2.0GHz
2. 频谱搬移过程与问题
当输入信号带宽跨越多个Nyquist区时,其频谱折叠过程将导致混叠(Aliasing),具体分析如下:
步骤1:输入信号覆盖的Nyquist区
• NZ0:0.3~0.5GHz
• NZ1:0.5~1.0GHz
• NZ2:1.0~1.3GHz
步骤2:频谱折叠机制
NYFR通过采样脉冲的谐波将不同Nyquist区的信号折叠到基带(0~0.5GHz):

步骤3:混叠效应
由于输入信号覆盖多个NZ区,折叠后的基带频谱将出现多区信号叠加:
• NZ0部分:0.3~0.5GHz → 基带0.3~0.5GHz(无折叠)。
• NZ1部分:0.5~1.0GHz → 基带0~0.5GHz(镜像折叠)。
• NZ2部分:1.0~1.3GHz → 基带0~0.3GHz(镜像折叠)。
实际基带频谱:
• 0~0.3GHz:包含NZ2的折叠信号(1.0~1.3GHz → 0~0.3GHz)。
• 0.3~0.5GHz:同时包含NZ0的原始信号和NZ1的折叠信号(0.5~1.0GHz → 0.3~0.5GHz)。
频谱混叠示意图:
基带频谱(0~0.5GHz):
|----------------|----------------|----------------|
0 0.3GHz 0.5GHz
↑ ↑ ↑
NZ2折叠信号 NZ0原始信号 NZ1折叠信号
(1.0~1.3GHz) (0.3~0.5GHz) (0.5~1.0GHz)
3. 关键问题与后果
-
信号混叠:
• NZ0、NZ1、NZ2的信号在基带中重叠,无法区分原始频率位置。• 示例:基带0.3GHz可能对应NZ0的0.3GHz、NZ1的0.7GHz(0.7-1.0GHz折叠为0.0-0.3GHz)或NZ2的1.3GHz(1.3-2.0GHz折叠为0.0-0.7GHz)。
-
解模糊失效:
• NYFR依赖NZ标号(k_x)(如贝塞尔系数)恢复原始频率,但混叠导致多个(k_x)对应的信号叠加,无法唯一确定(k_x)。 -
信息损失:
• 输入信号的宽带特性被破坏,基带频谱无法保留完整的调制信息(如线性调频斜率)。
4. 解决方法与限制
• 方法1:限制信号带宽
确保输入信号带宽不超过单个Nyquist区((B < f_s/2 = 0.5\text{GHz}))。
• 方法2:提高平均采样率
若需监视1GHz带宽,将(f_s)设为2GHz,使Nyquist区宽度扩展至1GHz(但需更高性能ADC)。
• 方法3:多通道NYFR架构
使用并行接收通道,每个通道处理不同NZ区的信号,但硬件复杂度显著增加。
• 方法4:压缩感知技术
结合稀疏信号假设,从混叠频谱中恢复原始信号,但依赖算法复杂度与信号特性。
5. 仿真验证(MATLAB示例)
% 参数设置
fs = 1e9; % 平均采样率1GHz
T = 1e-6; % 信号时长1μs
t = 0:1/(10*fs):T; % 时间序列% 生成带宽1GHz的线性调频信号(0.3GHz~1.3GHz)
x = chirp(t, 0.3e9, T, 1.3e9, 'linear', 90); % 90度初始相位避免DC分量% NYFR处理流程(同前文代码)
% ...(生成调制脉冲、混频、滤波、ADC采样)% 绘制基带频谱
figure;
plot(f_adc, 20*log10(abs(Y_adc)/max(abs(Y_adc))));
title('跨NZ区信号的基带频谱(混叠效应)');
xlabel('Frequency (GHz)'); ylabel('Normalized Power (dB)');
xlim([0 0.5]); grid on;
输出结果:基带频谱在0~0.5GHz范围内呈现连续混叠,无清晰谱峰结构。
总结
当输入信号带宽跨越多个Nyquist区时,NYFR的频谱折叠机制会导致基带信号混叠,无法通过调制信息解调原始频率。实际应用中需严格限制信号带宽或采用多通道/高采样率架构。此案例揭示了NYFR的核心限制:超宽带接收需以牺牲瞬时带宽为代价,或在算法与硬件层面引入额外复杂度。
平均采样率fs设置
根据论文中的描述和图示,以下是关于平均采样率((f_s))、Nyquist区域宽度及低通滤波器截止频率关系的详细说明:
1. 平均采样率(f_s)的设置依据
平均采样率fs不是由输入信号频率决定的,而是由系统设计目标和硬件限制共同决定。具体因素包括:
• 监视带宽需求:系统需要覆盖的频率范围(例如0~4GHz),通过调整fs可划分多个Nyquist区(NZ),每个区宽度为fs/2。
• ADC性能限制:fs需与低速ADC的采样率匹配,避免超出硬件能力。
• 解调算法复杂度:较高的fs会减少NZ数量(每个区更宽),但需要更复杂的谐波处理;较低的fs会增加NZ数量,但可能简化解模糊流程。


示例(来自论文图片):
• 输入信号载频fc = 1.25GHz,但平均采样率设为fs = 1GHz。
• 这说明fs的设定与输入信号频率无关,而是系统设计者根据整体监视带宽(如覆盖多个NZ区)和硬件条件选择的。
2. Nyquist区域宽度与低通滤波器截止频率的确定
Nyquist区域宽度和低通滤波器截止频率均由(f_s)直接决定,具体关系如下:

3. 关键结论
• 平均采样率(f_s):
是系统级参数,由监视带宽、硬件能力及算法复杂度综合决定,而非输入信号频率。
• Nyquist区域宽度:
直接由(f_s)决定,公式为(f_s/2)。
• 低通滤波器截止频率:
必须等于(f_s/2),由系统设计强制约束。
4. 设计实例分析
假设需要监视0~4GHz频段:
-
选择fs = 2GHz:
• Nyquist区域宽度为1GHz,共4个NZ区(NZ0~NZ3)。• 低通滤波器截止频率为1GHz。
• 优点:每个NZ区较宽(1GHz),适合宽带信号接收。
• 缺点:需ADC采样率至少2GHz,硬件成本较高。
-
选择fs = 1GHz:
• Nyquist区域宽度为0.5GHz,共8个NZ区(NZ0~NZ7)。• 低通滤波器截止频率为0.5GHz。
• 优点:ADC采样率要求低(1GHz),适合低速硬件。
• 缺点:NZ数量多,解模糊算法复杂度增加。
5. 图示频谱搬移过程解释
论文图2-4展示了以下内容:
• 输入信号:位于(1.25\text{GHz})(NZ2区)。
• 频谱折叠:通过采样脉冲的第2个谐波((2f_s = 2\text{GHz}))混频,信号被搬移至基带:
[
f_{基带} = |1.25GHz - 2 *1GHz| =0.75GHz
(镜像折叠为} (0.5GHz - 0.75GHz) mod 0.5GHz = 0.25GHz}
]
• 低通滤波:仅保留0~0.5GHz分量,基带信号携带NZ标号信息(如贝塞尔旁瓣)。
总结
• 平均采样率(f_s)是系统设计的核心参数,决定了Nyquist区域划分和抗混叠滤波条件,而非由输入信号频率决定。
• 实际设计中需权衡监视带宽、硬件成本和解调复杂度,选择合适的(f_s)以满足应用需求。
公式2.10 NYFR输出信号公式


调制项Tk(ω)的推导(式2-11~2-13)
步骤1:本振相位调制设定

步骤2:调制项的频域表达式(式2-11)

步骤3:化简依据(贝塞尔函数性质)

实验现象与理论对应

公式推导和实验应用
频谱折叠机制:通过贝塞尔展开,明确NYFR将宽频信号编码为基带谐波结构的原理。
解模糊依据:不同Nyquist区(kx)的信号折叠至基带时,携带唯一的贝塞尔旁瓣模式,用于频率解模糊。
实验应用:
- 参数设计:根据目标信号带宽选择k和ω0,使旁瓣间隔ω0大于信号带宽,避免混叠。
- 性能优化:增大调频指数k可扩展旁瓣数量,但需权衡计算复杂度;减小k则旁瓣减少,可能损失解模糊精度。
通过贝塞尔函数展开,NYFR的调制项频谱被简化为有限离散谐波,实验验证了频谱折叠与解模糊机制。公式推导揭示了调频参数(k,ω0)对系统性能的影响,指导实际设计中在带宽、复杂度和精度间取得平衡。
解模糊问题–谱峰搜索-当输入信号带宽B较大时,不同NZ的谐波混叠导致频谱峰值模糊,算法失效


调制项与谐波混叠机制

谱峰搜索算法失效分析 公式21

实验现象与数值实例


谱峰搜索算法原理与适用场景

宽带信号处理方法:时域滑窗法-滑窗匹配方法可以根据具体问题的需求进行调整和优化,窗口大小、滑动步长、匹配算法等参数的选择
同时对于编码信号,其带宽和脉宽之间不是线性关系

公式推导:基于傅里叶变换和调制项展开,揭示了谐波混叠导致谱峰模糊的机理。
实验现象:窄带信号谱峰清晰,宽带信号因混叠导致算法失效。
解决方案:时域滑窗法通过分窗降低瞬时带宽,恢复谱峰搜索有效性。
适用性:谱峰搜索算法适用于窄带或分窗处理的场景,平衡实时性与精度需求。
通过分析时频曲线,可以观察到信号在时域和频域上的变化情况。调制信号在时频曲线上通常表现为频率随时间变化的模式,可以通过观察时频曲线的变化来提取调制信息提取NZ标号获取。一旦提取到了时频曲线中的调制信息,可以通过不同的方法来估计调制指数。常用的方法包括拟合调制曲线、计算瞬时频率等。该方法对信号进行分时处理,规避了宽带信号这一前提,但是问题在于计算量大。
由于宽带输入信号会导致带调制和不带调制的输出信号频谱峰值信息模糊。通过一些现存方法可以处理输入宽带信号的情形,但是这些算法的复杂度或者硬件成本都远高于谱峰搜索算法
对于NYFR的输出信号,其混叠很多情况下是由于输出信号的展宽
引起的。图2-6展示了由于信号的谱展宽导致的频谱混叠
频谱展宽引起的混叠问题
公式 2-22 至 2-23:混叠条件
常规接收机与NYFR的混叠条件对比

原因:频谱展宽增大了信号的实际带宽,需更大的间隔以避免混叠

公式 2-25:输出信号带宽

- 物理意义:输出带宽由调制展宽(谐波卷积)和原带宽叠加决定。
公式 2-27:带宽变化率

3. 实验现象与数值例子
**场景1:窄带信号

4. 展宽信号的谱峰搜索方法
原理
通过解调算法分离折叠后的信号分量,利用稀疏恢复或压缩感知技术定位真实谱峰。
- 输入:NYFR输出的展宽频谱数据。
- 输出:解模糊后的信号频率和带宽估计。
- 适用场景:
- 窄带信号(需处理严重展宽)。
- 多信号共存(避免混叠干扰)。
示例算法步骤
- 参数估计:估计 (k_x) 和 (m_f) 以建模展宽特性。
- 稀疏重构:构建过完备字典(包含所有可能的 (k_x) 和 (f_c) 组合),用OMP或LASSO求解稀疏解。
- 谱峰校正:根据重构结果调整谱峰位置,消除展宽影响。
5. 总结
- 参数权衡:(m_f) 和 (f_0) 需平衡展宽与噪声鲁棒性。
- 实验设计:窄带信号需优化 (k_x) 和 (m_f),宽带信号可放宽限制。
- 算法选择:展宽严重时需采用稀疏恢复类算法解混叠。
通过合理设计参数和算法,NYFR可在宽带接收中有效降低采样率需求,但需针对具体场景优化以避免混叠。
2. 输出信号展宽公式推导

实验现象与数值实例

输出信号带宽与参数优化



三、不同带宽场景下的处理策略

