当前位置: 首页 > news >正文

高等数学-第七版-下册 选做记录 习题9-5

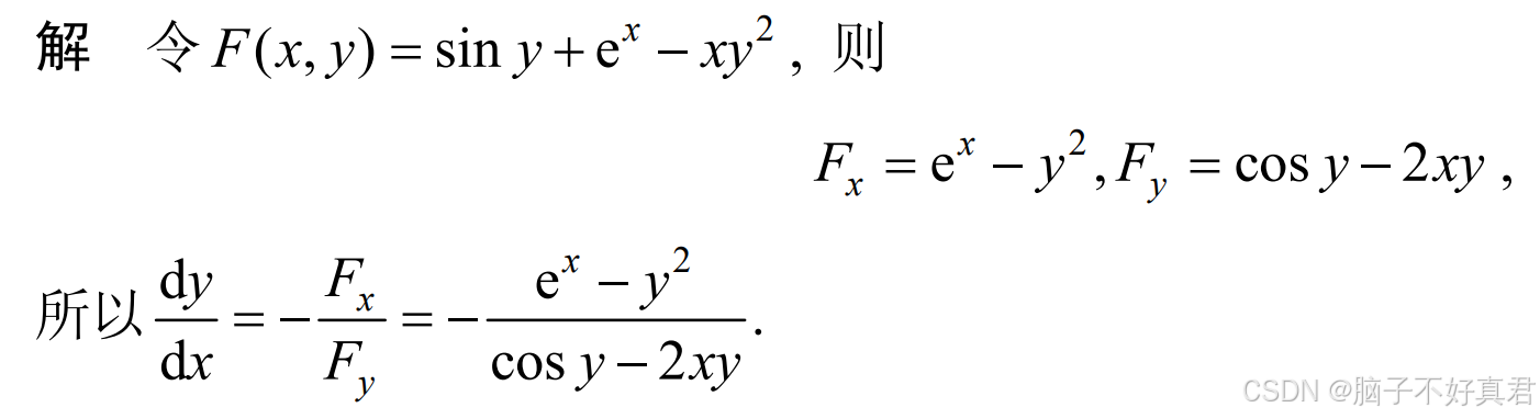
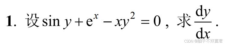
1.


3.


4.

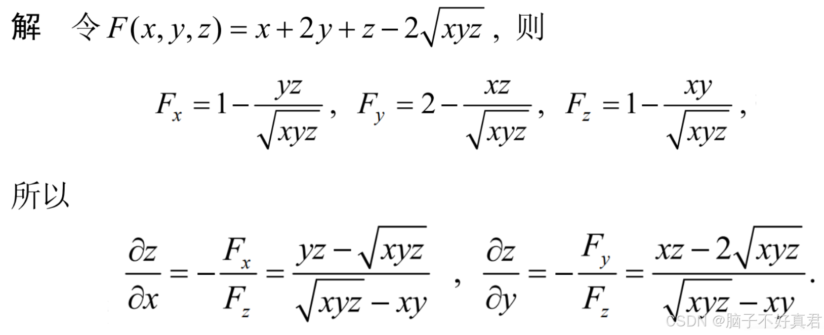
10.


http://www.dtcms.com/a/162854.html

相关文章:

  • Spring是如何实现ApplicationContext应用上下文
  • 提示词工程实战指南:解锁AI创作的隐藏技巧与实例
  • 大模型在肾癌诊疗全流程中的应用研究报告
  • iOS—仿tableView自定义闹钟列表
  • KUKA机器人关机时冷启动介绍
  • iOS - 音频: Core Audio - 播放
  • Java云原生+quarkus
  • python:sklearn 主成分分析(PCA)
  • Android 手动删除 AAR jar 包 中的文件
  • Weka通过10天的内存指标数据计算内存指标动态阈值
  • Mac 创建QT按钮以及一些操作
  • Kafka的Rebalance机制可能引发什么问题?如何优化?怎么减少不必要的Rebalance
  • 四.割草机技术总结--4.基站发送给流动站的差分数据传输标准RTCM
  • Elasticsearch 内存使用指南
  • milvus编译与使用
  • 日本IT行业|salesforce开发语言占据的地位
  • 【C++11】类的新功能
  • Android——Serializable和Parcelable
  • C++ 如何计算两个gps 的距离
  • Vue3调度器错误解析,完美解决Unhandled error during execution of scheduler flush.
  • ElasticSearch入门
  • 若依后台管理系统-v3.8.8-登录模块--个人笔记
  • 043-代码味道-循环依赖
  • 健康养生:拥抱活力生活
  • 针对Linux挂载NAS供Minio使用及数据恢复的需求
  • GitHub Actions 自动化部署 Azure Container App 全流程指南
  • [随笔] 升级uniapp旧项目的vue、pinia、vite、dcloudio依赖包等
  • outlook for mac本地邮件存放在哪儿?
  • 【MySQL】聚合查询 和 分组查询
  • Untiy 之如何实现一个跟随VR头显的UI