【因果推断】(二)CV中的应用
文章目录
- 因果表征学习
- 因果图 (Causal Diagram)
- “后门准则”(backdoor criterion)和“前门准则”(frontdoor criterion)
- 后门调整
- Visual Commonsense R-CNN
- Causal Intervention for Weakly-Supervised Semantic Segmentation
- Causal Intervention and Parameter-Free Reasoning for Few-Shot SAR Target Recognition
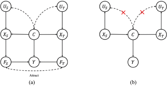
- A Domain Generalization Network Exploiting Causal Representations and Non-Causal Representations for Three-Phase Converter Fault Diagnosis
- Causal Prototype-Inspired Contrast Adaptation for Unsupervised Domain Adaptive Semantic Segmentation of High-Resolution Remote Sensing Imagery
- Causality-Inspired Single-Source Domain Generalization for Medical Image Segmentation
- Generalizable Single-Source Cross-Modality Medical Image Segmentation via Invariant Causal Mechanisms
- Causality-inspired Unsupervised Domain Adaptation with Target Style Imitation for Medical Image Segmentation
- CPI-Parser: Integrating Causal Properties Into Multiple Human Parsing
- Revisiting Few-Shot Learning From a Causal Perspective
- Causal Meta-Transfer Learning for Cross-Domain Few-Shot Hyperspectral Image Classification
因果表征学习
因果图 (Causal Diagram)
如果整个 DAG 的结构已知且所有的变量都可观测,那么我们可以根据上面 do 算子的公式算出任意变量之间的因果作用。但是,在绝大多数的实际问题中,我们既不知道整个 DAG 的结构,也不能将所有的变量观测到。
“后门准则”(backdoor criterion)和“前门准则”(frontdoor criterion)

后门准则:Z可以同时影响or产生 X/Y,那么Z就相当于X/Y因果关系的后门(不影响X-> Y之间,影响两者),Z也是X/Y的混杂因子
前门准则:Z影响X-> Y的前门路径(直接影响X->Y)
后门调整

Z在X-> Y的后门路径上,那么一般会利用do算子进行干预,进行【后门调整】,可以看到这里从do(X) -> (X,z)
Visual Commonsense R-CNN

Causal Intervention for Weakly-Supervised Semantic Segmentation

Causal Intervention and Parameter-Free Reasoning for Few-Shot SAR Target Recognition

A Domain Generalization Network Exploiting Causal Representations and Non-Causal Representations for Three-Phase Converter Fault Diagnosis

Causal Prototype-Inspired Contrast Adaptation for Unsupervised Domain Adaptive Semantic Segmentation of High-Resolution Remote Sensing Imagery

Causality-Inspired Single-Source Domain Generalization for Medical Image Segmentation

Generalizable Single-Source Cross-Modality Medical Image Segmentation via Invariant Causal Mechanisms

Causality-inspired Unsupervised Domain Adaptation with Target Style Imitation for Medical Image Segmentation


CPI-Parser: Integrating Causal Properties Into Multiple Human Parsing

Revisiting Few-Shot Learning From a Causal Perspective

Causal Meta-Transfer Learning for Cross-Domain Few-Shot Hyperspectral Image Classification

