计算机组成原理笔记(十六)——4.1基本算术运算的实现
计算机中最基本的算术运算是加法运算,加、减、乘、除运算最终都可以归结为加法运算。
4.1.1加法器
一、加法器的基本单元
加法器的核心单元是 全加器(Full Adder, FA),而所有加法器都由 半加器(Half Adder, HA) 组合实现。
1. 半加器(HA)
功能:实现两个1位二进制数相加(不考虑低位进位)。
输入:A(加数)、B(被加数)
输出:Sum(和)、Carry(进位)
真值表:
| A | B | Sum | Carry |
|---|---|---|---|
| 0 | 0 | 0 | 0 |
| 0 | 1 | 1 | 0 |
| 1 | 0 | 1 | 0 |
| 1 | 1 | 0 | 1 |
逻辑表达式:
Sum = A ⊕ B Carry = A ⋅ B \text{Sum} = A \oplus B \\ \text{Carry} = A \cdot B Sum=A⊕BCarry=A⋅B
电路图:

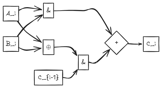
2. 全加器(FA)
功能:实现两个1位二进制数与一个低位进位相加。
输入:A(加数)、B(被加数)、C_in(低位进位)
输出:Sum(和)、C_out(进位)
真值表:
| A | B | C_in | Sum | C_out |
|---|---|---|---|---|
| 0 | 0 | 0 | 0 | 0 |
| 0 | 0 | 1 | 1 | 0 |
| 0 | 1 | 0 | 1 | 0 |
| 0 | 1 | 1 | 0 | 1 |
| 1 | 0 | 0 | 1 | 0 |
| 1 | 0 | 1 | 0 | 1 |
| 1 | 1 | 0 | 0 | 1 |
| 1 | 1 | 1 | 1 | 1 |
逻辑表达式:
Sum = A ⊕ B ⊕ C i n C o u t = A ⋅ B + ( A ⊕ B ) ⋅ C i n \text{Sum} = A \oplus B \oplus C_{in} \\ C_{out} = A \cdot B + (A \oplus B) \cdot C_{in} Sum=A⊕B⊕CinCout=A⋅B+(A⊕B)⋅Cin
电路结构示意图(由两个半加器组合):

二、加法器的类型与工作原理
1. 串行加法器
结构:通过移位寄存器依次处理每一位,每次计算1位。
电路图:

特性:
- 优点:电路简单,成本低。
- 缺点:速度极慢,需n个时钟周期完成n位加法。
- 关键问题:进位信号需逐级传递(行波进位)。
2. 并行加法器
所有位同时计算,但进位传递是关键瓶颈。分为两类:
(1) 串行进位加法器
结构:多个全加器串联,前级的C_out作为后级的C_in。
电路示意图:

延迟分析:
- 若每级进位延迟为2t,则n位加法总延迟为2n t。
- 例:32位加法需要64t耗时。
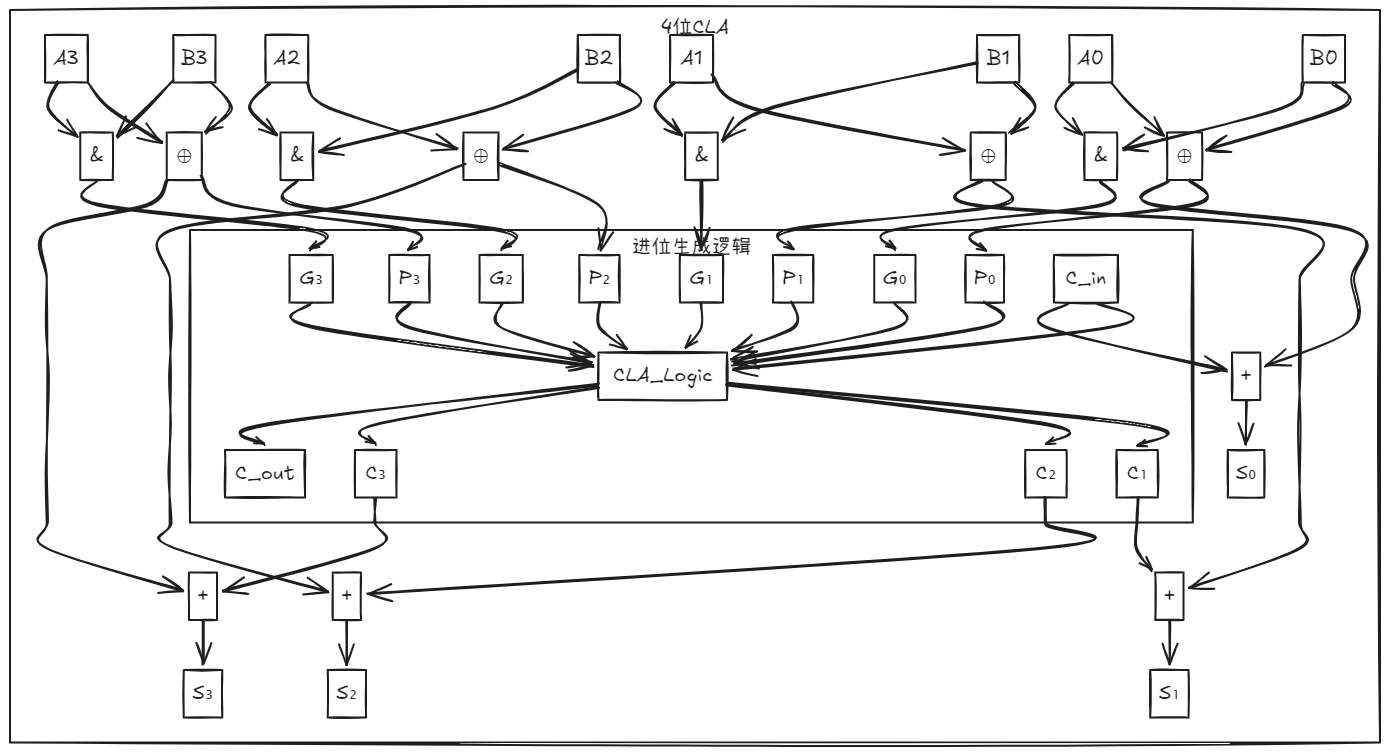
(2) 超前进位加法器(CLA)
核心思想:提前计算各级进位,消除级联依赖。
进位生成公式:
C i = G i + P i ⋅ C i − 1 其中: G i = A i ⋅ B i ( 生成进位 ) P i = A i ⊕ B i ( 传播进位 ) C_i = G_i + P_i \cdot C_{i-1} \\ \text{其中:} \quad G_i = A_i \cdot B_i \quad (\text{生成进位}) \\ P_i = A_i \oplus B_i \quad (\text{传播进位}) Ci=Gi+Pi⋅Ci−1其中:Gi=Ai⋅Bi(生成进位)Pi=Ai⊕Bi(传播进位)
4位CLA示例:

优点:极快完成所有位的计算,但电路复杂度高。
三、关键对比
| 特性 | 串行加法器 | 并行串行进位 | 超前进位 |
|---|---|---|---|
| 速度 | 极慢(O(n)) | 较快(O(n)) | 极快(O(1)) |
| 硬件复杂度 | 极简 | 中等 | 复杂 |
| 适用场景 | 嵌入式低功耗设备 | 通用CPU | 高性能计算 |
| 典型延迟 | 32位需64t | 32位需64t | 4位仅需4t |
四、应用实例
现代CPU中,ALU的加法器采用 分组超前进位 结构:
- 16位加法器:4个4位CLA模块 + 一级CLA控制。
- 延迟:仅需计算组内和组间的并行进位。

通过这种分层设计在速度和复杂度之间取得平衡。
4.1.2进位的产生和传递
进位逻辑是加法器设计中影响运算速度的核心部分。
一、进位信号的基本逻辑
全加器的进位输出由两部分构成:
- 本地进位(本地生成): G i = A i ⋅ B i G_i = A_i \cdot B_i Gi=Ai⋅Bi
当 A i A_i Ai 和 B i B_i Bi 均为1时,必然产生进位(与低位无关)。 - 传递进位(传递依赖): P i = A i ⊕ B i P_i = A_i \oplus B_i Pi=Ai⊕Bi
当 A i A_i Ai 或 B i B_i Bi 为1时,低位进位可传递至高位。
进位表达式可简化为:
C i = G i + P i ⋅ C i − 1 C_i = G_i + P_i \cdot C_{i-1} Ci=Gi+Pi⋅Ci−1
逻辑电路图:

二、并行进位技术
1. 完全并行进位(CLA)
所有进位直接由原始输入和最低位进位 C 0 C_0 C0 同时生成,不依赖相邻进位。
4位CLA的进位表达式:
C 1 = G 1 + P 1 C 0 C 2 = G 2 + P 2 G 1 + P 2 P 1 C 0 C 3 = G 3 + P 3 G 2 + P 3 P 2 G 1 + P 3 P 2 P 1 C 0 C 4 = G 4 + P 4 (嵌套前3位进位生成逻辑) \begin{aligned} C_1 &= G_1 + P_1 C_0 \\ C_2 &= G_2 + P_2 G_1 + P_2 P_1 C_0 \\ C_3 &= G_3 + P_3 G_2 + P_3 P_2 G_1 + P_3 P_2 P_1 C_0 \\ C_4 &= G_4 + P_4 \text{(嵌套前3位进位生成逻辑)} \end{aligned} C1C2C3C4=G1+P1C0=G2+P2G1+P2P1C0=G3+P3G2+P3P2G1+P3P2P1C0=G4+P4(嵌套前3位进位生成逻辑)
优点:延迟固定为 2 t y 2t_y 2ty(1级 G i / P i G_i/P_i Gi/Pi计算 +1级逻辑门)。
缺点:硬件复杂度随位宽指数增长,实际应用中需分组实现。
2. 分组并行进位
两层设计思想:组内并行(Group Carry Lookahead)+ 组间并行。
- 组内并行(如4位一组):组内所有进位同时生成。
- 组间并行:通过“组生成函数” G ∗ G^* G∗ 和“组传递函数” P ∗ P^* P∗ 加速跨组进位。
关键公式:
组生成函数 G ∗ = G 4 + P 4 G 3 + P 4 P 3 G 2 + P 4 P 3 P 2 G 1 组传递函数 P ∗ = P 4 P 3 P 2 P 1 组进位输出 C 4 = G ∗ + P ∗ C 0 \begin{aligned} \text{组生成函数} \quad G^* &= G_4 + P_4 G_3 + P_4 P_3 G_2 + P_4 P_3 P_2 G_1 \\ \text{组传递函数} \quad P^* &= P_4 P_3 P_2 P_1 \\ \text{组进位输出} \quad C_4 &= G^* + P^* C_0 \end{aligned} 组生成函数G∗组传递函数P∗组进位输出C4=G4+P4G3+P4P3G2+P4P3P2G1=P4P3P2P1=G∗+P∗C0
流程图(16位两级分组CLA)**:

三、分组方式对比
| 进位方式 | 硬件复杂度 | 最大延迟 | 适用场景 |
|---|---|---|---|
| 串行进位 | 低(简单级联) | O ( n ) O(n) O(n) | 低速低成本芯片 |
| 单级分组CLA | 中等(组内并行) | O ( n ) O(\sqrt{n}) O(n) | 通用CPU(如32位处理器) |
| 多级分组CLA | 高(多级逻辑) | O ( log n ) O(\log n) O(logn) | 高性能计算(如GPU) |
四、典型应用与优化
1. 示例:16位两级CLA
- 组内延迟:每组4位的CLA生成 C 4 C_4 C4 需 2 t y 2t_y 2ty。
- 组间延迟:通过高层CLA生成跨组进位,再传递回组内,总延迟 4 t y 4t_y 4ty。
关键优化点:
- 增量进位计算:组内生成 G i G_i Gi 和 P i P_i Pi 后,直接用于高层逻辑,避免重复计算。
- 专用逻辑电路:使用74181(4位ALU)和74182(CLA扩展器)实现快速级联。
五、总结
- 并行进位核心:通过预先计算进位生成与传递关系,消除等待相邻进位时间。
- 工程权衡:硬件资源与速度的平衡,分组策略需根据芯片制程和应用场景调整。
- 实际应用:现代CPU多采用多级分组(如64位加法器分为4×16位组),配合动态调度优化效率。
4.1.3并行加法器的快速进位
一、快速进位的必要性
传统串行进位的并行加法器(行波进位)进位延迟与位数成正比(如16位加法器延迟32ty)。快速进位技术通过并行化处理减少进位传播时间,核心思路是通过逻辑预判提前生成所有进位。
二、并行进位逻辑表达式
对于每位进位 C i C_i Ci ,通过进位生成函数 G i G_i Gi 和进位传递函数 P i P_i Pi 递归展开:
-
单级先行进位(完全并行)
C 1 = G 1 + P 1 C 0 C 2 = G 2 + P 2 G 1 + P 2 P 1 C 0 C 3 = G 3 + P 3 G 2 + P 3 P 2 G 1 + P 3 P 2 P 1 C 0 C 4 = G 4 + P 4 C 3 ( 依此类推 ) \begin{aligned} C_1 &= G_1 + P_1 C_0 \\ C_2 &= G_2 + P_2 G_1 + P_2 P_1 C_0 \\ C_3 &= G_3 + P_3 G_2 + P_3 P_2 G_1 + P_3 P_2 P_1 C_0 \\ C_4 &= G_4 + P_4 C_3 \quad (\text{依此类推}) \end{aligned} C1C2C3C4=G1+P1C0=G2+P2G1+P2P1C0=G3+P3G2+P3P2G1+P3P2P1C0=G4+P4C3(依此类推) -
硬件实现矛盾:
- 优点:所有进位仅依赖 G i / P i G_i/P_i Gi/Pi 和 C 0 C_0 C0,可同时生成。
- 缺点:公式复杂度随位数指数增长(n位数需 n n n级逻辑门),实际需分组分层处理。

三、分组进位技术
1. 单级分组并行进位(组内并行、组间串行)
-
分组示例:将16位分为4组,每组4位。
-
每组生成4位进位:

优点:硬件简单,延迟降低为 8 t y 8ty 8ty(4组 × 2ty/组)。
2. 多级分组并行进位(组间并行)
- 核心逻辑:
- 每组(如4位)生成组进位生成函数 G ∗ G^* G∗ 和组进位传递函数 P ∗ P^* P∗:
G ∗ = G 4 + P 4 G 3 + P 4 P 3 G 2 + P 4 P 3 P 2 G 1 P ∗ = P 4 P 3 P 2 P 1 G^* = G_4 + P_4 G_3 + P_4 P_3 G_2 + P_4 P_3 P_2 G_1 \\ P^* = P_4 P_3 P_2 P_1 G∗=G4+P4G3+P4P3G2+P4P3P2G1P∗=P4P3P2P1 - 高层CLA电路计算跨组进位:
C 4 ( k + 1 ) = G k ∗ + P k ∗ C 4 k ( k = 0 , 1 , 2 , 3 ) C_{4(k+1)} = G^*_k + P^*_k C_{4k} \quad (k=0,1,2,3) C4(k+1)=Gk∗+Pk∗C4k(k=0,1,2,3)
- 每组(如4位)生成组进位生成函数 G ∗ G^* G∗ 和组进位传递函数 P ∗ P^* P∗:
- 示例(以16位双重分组为例):

- **延迟**:仅 $6ty$(组内2ty + 组间2ty + 二次组内2ty)
四、硬件电路实现
使用 CLA电路生成器(如74182芯片)与 基本加法单元(如74181):

五、典型对比
| 类型 | 硬件复杂度 | 最大延迟 | 适用场景 |
|---|---|---|---|
| 行波进位 | 低 | 32 t y 32ty 32ty | 低速设备 |
| 单级分组(4位一组) | 中等 | 8 t y 8ty 8ty | 通用CPU |
| 多级分组双 | 高 | 6 t y 6ty 6ty | 高性能计算(GPU) |
六、关键流程图
单级分组硬件结构

多级分组信号流

通过上述机制,快速进位技术显著降低了加法运算的延迟,在现代CPU与高性能计算中广泛应用。
