当前位置: 首页 > news >正文

模型蒸馏实战qwen2.5系列模型

一.知识蒸馏的两种方式

1.黑盒知识蒸馏

使用大模型生成数据,通过这些数据去微调更小的模型,来达到蒸馏的目的。缺点是蒸馏效率低,优点是实现简单。例如论文Distilling the Knowledge in a Neural Network大概步骤以及架构请点击

2.白盒知识蒸馏

获取学生模型和教师模型的输出概率分布(或者中间隐藏层的概率分布),通过kl散度(相对熵)将学生模型的概率分布向教师模型对齐。

为什么使用kl散度:

KL散度专门用于衡量两个概率分布之间的差异,能够细致地捕捉到分布的每一个部分的差异,在知识蒸馏中,我们更关心的是两个概率分布(教师模型和学生模型的输出)之间的相似度。而交叉熵损失主要用于衡量预测分布与真实标签之间的差异。

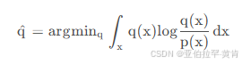
前向kl散度:

在这里插入图片描述

p为教师模型的概率分布,q为学生模型的概率分布,Minillm论文中提到前向kl散度可能会使学生模型高估教师模型中概率比较低的位置,结合公式来看,当p增大时,为了使得kl散度小,则q也需要增大,但是当p趋于0时,无论q取任何值,kl散度都比较小,因为此时p(x)log((p(x)/q(x)))的大小主要受p(x)控制,这样起不到优化q分布的效果,可能会使q分布高估p分布中概率低的位置。 下图展示了前向kl散度的拟合情况:

在这里插入图片描述

反向kl散度:

在这里插入图片描述

p为教师模型的概率分布,q为学生模型的概率分布,当p趋于零时,为了使kl散度小,q也需趋于0。 Minillm论文中说对于大模型的知识蒸馏,反向kl散度优于前向kl散度,但是也有其他论文说反向kl散度不一定比前向kl散度更优。以实际选择为准。
在这里插入图片描述

二.实操

参考链接中使用的是私密数据集,并且试验结果表明:不微调模型并且使用前向KL散度的效果最好
我为了复现找了开源的数据集进行尝试:

参考链接:https://github.com/wyf3/llm_related/tree/main/knowledge_distillation_llm
https://www.bilibili.com/video/BV1kQcoetEFM/?spm_id_from=333.1387.upload.video_card.click&vd_source=5cd9b442f08018f3dc856d0a91e9cab0

http://www.dtcms.com/a/74389.html

相关文章:

  • Android Room 框架测试模块源码深度剖析(五)
  • 汇编基础知识
  • 压测实战 | 微信小程序商城 “双 11” 的压测实践
  • 开源文档管理系统 Paperless-ngx
  • Java学习------内部类
  • 4G模组Air780EPM:解锁物联网时代的硬件接口奥秘!
  • 【eNSP实战】(续)一个AC多个VAP的实现—将隧道转发改成直接转发
  • 有了大模型为何还需要Agent智能体
  • Mysql-经典实战案例(3): pt-archiver 实现 MySQL 千万级大表分库分表(上)
  • 设计模式之外观模式:原理、实现与应用
  • 设备物联网无线交互控制,ESP32无线联动方案,产品智能化响应
  • OpenCV计算摄影学(23)艺术化风格化处理函数stylization()
  • 【Android Studio】解决遇到的一些问题
  • Vue3项目中可以尝试封装那些组件
  • SpringSecurity——如何实现验证码登录页面
  • 内存回收异常导致OOM的问题
  • Android中的Wifi框架系列
  • JS中的变量提升
  • OpenCV 图像双线性插值
  • 地球46亿年历史的“微观褶皱”
  • 六十天前端强化训练之第二十二天之React 框架 15天深度学习总结(大师版)
  • 节点编辑器STNodeEditor快速入门,流程图编程
  • 【USTC 计算机网络】第二章:应用层 - 应用层原理
  • postgresql 高版本pgsql备份在低版本pgsql中恢复失败,报错:“unsupported version”
  • 直线模组定位精度差的原因
  • Flume详解——介绍、部署与使用
  • 最长最短单词(信息学奥赛一本通-1143)
  • 深圳南柯电子|医疗设备EMC检测测试整改:保障患者安全的第一步
  • centos 安装pip时报错 Cannot find a valid baseurl for repo: centos-sclo-rh/x86_64
  • cmd->set ngx_event_connections