c++进阶--AVL树
休息了一周之后,我们继续来学习c++进阶的部分,今天我们要学习的内容是AVL树。
目录
1. AVL的概念
2. AVL树的实现
2.1 AVL树的结构
2.2 AVL树的插⼊
2.2.1 AVL树插⼊⼀个值的⼤概过程
2.2.2 平衡因⼦更新
2.3 旋转
2.3.1 旋转的原则
2.3.2 右单旋
2.3.3 右单旋代码实现
2.3.4 左单旋
2.3.5 左单旋代码实现
2.3.6 左右双旋
2.3.7 左右双旋代码实现
2.3.8 右左双旋
2.3.9 右左双旋代码实现
2.4 AVL树的查找
2.5 AVL树平衡检测
1. AVL的概念
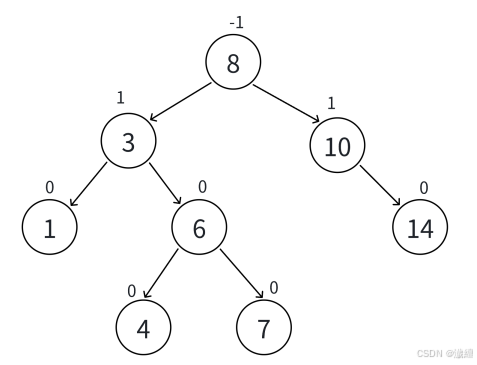
1. AVL树是最先发明的⾃平衡⼆叉查找树,AVL是⼀颗空树,或者具备下列性质的⼆叉搜索树:它的左右⼦树都是AVL树,且左右⼦树的⾼度差的绝对值不超过1。AVL树是⼀颗⾼度平衡搜索⼆叉树,通过控制⾼度差去控制平衡。2. AVL树得名于它的发明者G. M. Adelson-Velsky和E. M. Landis是两个前苏联的科学家,他们在1962年的论⽂《An algorithm for the organization of information》中发表了它。3. AVL树实现这⾥我们引⼊⼀个平衡因⼦(balance factor)的概念,每个结点都有⼀个平衡因⼦,任何结点的平衡因⼦等于右⼦树的⾼度减去左⼦树的⾼度,也就是说任何结点的平衡因⼦等于0/1/-1,AVL树并不是必须要平衡因⼦,但是有了平衡因⼦可以更⽅便我们去进⾏观察和控制树是否平衡,就像⼀个⻛向标⼀样。4. 思考⼀下为什么AVL树是⾼度平衡搜索⼆叉树,要求⾼度差不超过1,⽽不是⾼度差是0呢?0不是更好的平衡吗?画画图分析我们发现,不是不想这样设计,⽽是有些情况是做不到⾼度差是0的。⽐如⼀棵树是2个结点,4个结点等情况下,⾼度差最好就是1,⽆法做到⾼度差是05. AVL树整体结点数量和分布和完全⼆叉树类似,⾼度可以控制在 log N,那么增删查改的效率也可以控制在O(log N) ,相⽐⼆叉搜索树有了本质的提升。
这就是一棵AVL树,对于叶子结点来说,它的左右子树都为空,所以它的平衡因子为0,而对于其他结点来说 ,平衡因子为右子树高度减去左子树的高度。
当平衡因子为2或-2时,意为该AVL树不平衡,需要进行调整。
2. AVL树的实现
2.1 AVL树的结构
template<class K,class V>
struct AVLNode {
pair<K, V> _kv;
AVLNode<K, V>* _left;
AVLNode<K, V>* _right;
AVLNode<K, V>* _parent;
int _bf;
AVLNode(const pair<K,V>& kv)
:_kv(kv)
,_left(nullptr)
,_right(nullptr)
,_parent(nullptr)
,_bf(0)
{}
};
template<class K, class V>
class AVLTree
{
typedef AVLTreeNode<K, V> Node;
public:
//.......
private:
Node * _root = nullptr;
};
2.2 AVL树的插⼊
对于AVL树的插入,和普通的二叉搜索树差不多,但多出了一个调整平衡因子的步骤,同时若平衡因子为2或-2,还需要进行调整。
2.2.1 AVL树插⼊⼀个值的⼤概过程
1. 插⼊⼀个值按⼆叉搜索树规则进⾏插⼊。2. 新增结点以后,只会影响祖先结点的⾼度,也就是可能会影响部分祖先结点的平衡因⼦,所以更新从新增结点->根结点路径上的平衡因⼦,实际中最坏情况下要更新到根,有些情况更新到中间就可以停⽌了,具体情况我们下⾯再详细分析。3. 更新平衡因⼦过程中没有出现问题,则插⼊结束。4. 更新平衡因⼦过程中出现不平衡,对不平衡⼦树旋转,旋转后本质调平衡的同时,本质降低了⼦树的⾼度,不会再影响上⼀层,所以插⼊结束。
2.2.2 平衡因⼦更新
1. 平衡因⼦ = 右⼦树⾼度-左⼦树⾼度2. 只有⼦树⾼度变化才会影响当前结点平衡因⼦。3. 插⼊结点,会增加⾼度,所以新增结点在parent的右⼦树,parent的平衡因⼦++,新增结点在parent的左⼦树,parent平衡因⼦--4. parent所在⼦树的⾼度是否变化决定了是否会继续往上更新
1. 更新后parent的平衡因⼦等于0,更新中parent的平衡因⼦变化为-1->0 或者 1->0,说明更新前parent⼦树⼀边⾼⼀边低,新增的结点插⼊在低的那边,插⼊后parent所在的⼦树⾼度不变,不会影响parent的⽗亲结点的平衡因⼦,更新结束。2. 更新后parent的平衡因⼦等于1 或 -1,更新前更新中parent的平衡因⼦变化为0->1 或者 0->-1,说明更新前parent⼦树两边⼀样⾼,新增的插⼊结点后,parent所在的⼦树⼀边⾼⼀边低,parent所在的⼦树符合平衡要求,但是⾼度增加了1,会影响parent的⽗亲结点的平衡因⼦,所以要继续向上更新。3. 更新后parent的平衡因⼦等于2 或 -2,更新前更新中parent的平衡因⼦变化为1->2 或者 -1->-2,说明更新前parent⼦树⼀边⾼⼀边低,新增的插⼊结点在⾼的那边,parent所在的⼦树⾼的那边更⾼了,破坏了平衡,parent所在的⼦树不符合平衡要求,需要旋转处理,旋转的⽬标有两个:1、把parent⼦树旋转平衡。2、降低parent⼦树的⾼度,恢复到插⼊结点以前的⾼度。所以旋转后也不需要继续往上更新,插⼊结束。4. 不断更新,更新到根,根的平衡因⼦是1或-1也停⽌了。
2.3 旋转
2.3.1 旋转的原则
1. 保持搜索树的规则2. 让旋转的树从不满⾜变平衡,其次降低旋转树的⾼度旋转总共分为四种,左单旋/右单旋/左右双旋/右左双旋。说明:下⾯的图中,有些结点我们给的是具体值,如10和5等结点,这⾥是为了⽅便讲解,实际中是什么值都可以,只要⼤⼩关系符合搜索树的性质即可。
2.3.2 右单旋
1. 本图1展⽰的是10为根的树,有a/b/c抽象为三棵⾼度为h的⼦树(h>=0),a/b/c均符合AVL树的要求。10可能是整棵树的根,也可能是⼀个整棵树中局部的⼦树的根。这⾥a/b/c是⾼度为h的⼦树,是⼀种概括抽象表⽰,他代表了所有右单旋的场景,实际右单旋形态有很多种,具体图2/图3/图4/图5进⾏了详细描述。2. 在a⼦树中插⼊⼀个新结点,导致a⼦树的⾼度从h变成h+1,不断向上更新平衡因⼦,导致10的平衡因⼦从-1变成-2,10为根的树左右⾼度差超过1,违反平衡规则。10为根的树左边太⾼了,需要往右边旋转,控制两棵树的平衡。3. 旋转核⼼步骤,因为5 < b⼦树的值 < 10,将b变成10的左⼦树,10变成5的右⼦树,5变成这棵树新的根,符合搜索树的规则,控制了平衡,同时这棵的⾼度恢复到了插⼊之前的h+2,符合旋转原则。如果插⼊之前10整棵树的⼀个局部⼦树,旋转后不会再影响上⼀层,插⼊结束了。
这是一个抽象的整体图,a b c 分别代表高度为h的子树,我们在a的位置再插入一个结点,此时根结点的平衡因子为-2,需要进行调整,因为根结点的左子树更高,应该向右旋转。令subL为新的根节点,原来的根节点变成新的根节点的右孩子,subL的右子树变成原来根节点的左子树,旋转之后,新的根节点的平衡因子为0。
这是第一种情况,a b c 都是空树,此时在a上插入一个新节点,根节点的平衡因子为-2,向右旋转。
这是第二种情况,a b c 为单节点,在a上插入结点后,根节点平衡因子为-2,向右旋转。
这是第三种情况,a b c 为高度为2的AVL树,高度为2的AVL树有又有三种情况,对于b和c来说,这三种情况都可以,而对于a来说,只有第一种可以,因为当a为其他两种情况时,插入节点后自身就会因为平衡因子等于-2或2需要旋转。 而a为第一种情况的时候有4个位置可以插入结点,所以共有3*3*4=36种情况。
这是第四种情况,a b c 为高度为3的AVL树,高度为3的AVL树有15种情况, 对于b和c来说,这15种情况都可以,而对于a来说,为满二叉树的时候可以,第三层有三个结点的时候也可以,所以a有4种情况,对于满二叉树在插入时有8个位置可以插入,为另一种树时有4个位置可以插入,所以a有8+4*4=24种情况,所以共有15*15*24=5400种情况。
高度为更多的AVL树的情况我们就不再进行讨论了,我们可以发现它们都有共同点,就是我们一开始说的需要向右旋转,所以所有在最左子树插入的结点都满足这种规律。
2.3.3 右单旋代码实现
void RotateR(Node* parent)
{
Node* subL = parent->_left;
Node* subLR = subL->_right;
parent->_left = subLR;
if(subLR)
{
subLR->_parent = parent;
}
Node* Pparent = parent->_parent;
subL->_parent = Pparent;
parent->_parent = subL;
subL->_right = parent;
if (Pparent == nullptr)
{
_root = subL;
}
else{
if (Pparent->_left == parent)
{
Pparent->_left = subL;
}
else
{
Pparent->_right = subL;
}
}
parent->_bf = subL->_bf = 0;
}
我们定义根节点的左孩子为subL,subL的右孩子为subLR,则subLR就是我们在图中的b,当在最左边插入结点时,根节点的平衡因子为-2,subL的平衡因子为-1,由于b可以为空,所以需要对subLR进行判断,同时,根节点可以为AVL树的根,也可以为AVL树中的一个子树,所以还要对根节点的parent进行判断。在旋转完成后,要将根节点和subL的平衡因子进行修改,由上图可知,它们的平衡因子都为0。
2.3.4 左单旋
1. 本图6展⽰的是10为根的树,有a/b/c抽象为三棵⾼度为h的⼦树(h>=0),a/b/c均符合AVL树的要求。10可能是整棵树的根,也可能是⼀个整棵树中局部的⼦树的根。这⾥a/b/c是⾼度为h的⼦树,是⼀种概括抽象表⽰,他代表了所有右单旋的场景,实际右单旋形态有很多种,具体跟上⾯左旋类似。2. 在a⼦树中插⼊⼀个新结点,导致a⼦树的⾼度从h变成h+1,不断向上更新平衡因⼦,导致10的平衡因⼦从1变成2,10为根的树左右⾼度差超过1,违反平衡规则。10为根的树右边太⾼了,需要往左边旋转,控制两棵树的平衡。3. 旋转核⼼步骤,因为10 < b⼦树的值 < 15,将b变成10的右⼦树,10变成15的左⼦树,15变成这棵树新的根,符合搜索树的规则,控制了平衡,同时这棵的⾼度恢复到了插⼊之前的h+2,符合旋转原则。如果插⼊之前10整棵树的⼀个局部⼦树,旋转后不会再影响上⼀层,插⼊结束了。
总体而言,在最右子树进行插入的时候,需要向左旋转,其余部分和右单旋相同。
2.3.5 左单旋代码实现
void RotateL(Node* parent)
{
Node* subR = parent->_right;
Node* subRL = subR->_left;
parent->_right = subRL;
if (subRL)
{
subRL->_parent = parent;
}
Node* Pparent = parent->_parent;
subR->_parent = Pparent;
subR->_left = parent;
parent->_parent = subR;
if (Pparent == nullptr)
{
_root = subR;
}
else{
if (Pparent->_left == parent)
{
Pparent->_left = subR;
}
else {
Pparent->_right = subR;
}
}
parent->_bf = subR->_bf = 0;
}
此时,我们需要的是subR和subRL两个指针,subRL为图中的b。
2.3.6 左右双旋

场景1:h >= 1时,新增结点插⼊在e⼦树,e⼦树⾼度从h-1并为h并不断更新8->5->10平衡因⼦,引发旋转,其中8的平衡因⼦为-1,旋转后8和5平衡因⼦为0,10平衡因⼦为1。场景2:h >= 1时,新增结点插⼊在f⼦树,f⼦树⾼度从h-1变为h并不断更新8->5->10平衡因⼦,引发旋转,其中8的平衡因⼦为1,旋转后8和10平衡因⼦为0,5平衡因⼦为-1。场景3:h == 0时,a/b/c都是空树,b⾃⼰就是⼀个新增结点,不断更新5->10平衡因⼦,引发旋转,其中8的平衡因⼦为0,旋转后8和10和5平衡因⼦均为0。
当在中间插入也就是对b进行插入的时候,进行一次旋转似乎不能解决问题,还会变成同样的结构,那么此时就需要进行两次不同方向的旋转。
此时,对于b的左右子树也需要考虑进来,由图可见,b的左右子树会被分到左右两个部分。
2.3.7 左右双旋代码实现
void RotateLR(Node* parent)
{
Node* subL = parent->_left;
Node* subLR = subL->_right;
int bf = subLR->_bf;
RotateL(parent->_left);
RotateR(parent);
if (bf == 0)
{
parent->_bf = 0;
subL->_bf = 0;
subLR->_bf = 0;
}
else if (bf == -1)
{
parent->_bf = 1;
subL->_bf = 0;
subLR->_bf = 0;
}
else if (bf == 1)
{
parent->_bf = 0;
subL->_bf = -1;
subLR->_bf = 0;
}
else {
assert(false);
}
}
2.3.8 右左双旋
场景1:h >= 1时,新增结点插⼊在e⼦树,e⼦树⾼度从h-1变为h并不断更新12->15->10平衡因⼦,引发旋转,其中12的平衡因⼦为-1,旋转后10和12平衡因⼦为0,15平衡因⼦为1。场景2:h >= 1时,新增结点插⼊在f⼦树,f⼦树⾼度从h-1变为h并不断更新12->15->10平衡因⼦,引发旋转,其中12的平衡因⼦为1,旋转后15和12平衡因⼦为0,10平衡因⼦为-1。场景3:h == 0时,a/b/c都是空树,b⾃⼰就是⼀个新增结点,不断更新15->10平衡因⼦,引发旋转,其中12的平衡因⼦为0,旋转后10和12和15平衡因⼦均为0。
2.3.9 右左双旋代码实现
void RotateRL(Node* parent)
{
Node* subR = parent->_right;
Node* subRL = subR->_left;
int bf = subRL->_bf;
RotateR(parent->_right);
RotateL(parent);
if (bf == 0)
{
parent->_bf = 0;
subR->_bf = 0;
subRL->_bf = 0;
}
else if (bf == 1)
{
parent->_bf = -1;
subR->_bf = 0;
subRL->_bf = 0;
}
else if (bf == -1)
{
parent->_bf = 0;
subR->_bf = 1;
subRL->_bf = 0;
}
else {
assert(false);
}
}
2.4 AVL树的查找
AVL树的查找和二叉搜索树的查找相同,搜索效率为 O(logN)
Node* Find(const K& key)
{
Node* cur = _root;
while (cur)
{
if (cur->_kv.first < key)
{
cur = cur->_right;
}
else if (cur->_kv.first > key)
{
cur = cur->_left;
}
else
{
return cur;
}
}
return nullptr;
}
2.5 AVL树平衡检测
我们实现的AVL树是否合格,我们通过检查左右⼦树⾼度差的的程序进⾏反向验证,同时检查⼀下结点的平衡因⼦更新是否出现了问题。
int _Height(Node* root)
{
if (root == nullptr)
return 0;
int leftHeight = _Height(root->_left);
int rightHeight = _Height(root->_right);
return leftHeight > rightHeight ? leftHeight + 1 : rightHeight + 1;
}
bool _IsBalanceTree(Node* root)
{
// 空树也是AVL树
if (nullptr == root)
return true;
// 计算pRoot结点的平衡因⼦:即pRoot左右⼦树的⾼度差
int leftHeight = _Height(root->_left);
int rightHeight = _Height(root->_right);
int diff = rightHeight - leftHeight;
// 如果计算出的平衡因⼦与pRoot的平衡因⼦不相等,或者
// pRoot平衡因⼦的绝对值超过1,则⼀定不是AVL树
if (abs(diff) >= 2)
{
cout << root->_kv.first << "⾼度差异常" << endl;
return false;
}
if (root->_bf != diff)
{
cout << root->_kv.first << "平衡因⼦异常" << endl;
return false;
}
// pRoot的左和右如果都是AVL树,则该树⼀定是AVL树
return _IsBalanceTree(root->_left) && _IsBalanceTree(root->_right);
}
今天的内容就是这些,我们下次再见