【核心完整复现】【DRCC】考虑N-1准则的分布鲁棒机会约束低碳经济调度
目录
01 基本信息
02 主要内容
2.1 风光储联合发电系统模型
2.2 阶梯碳交易模型
2.3 分布鲁棒机会约束
2.4 N-1 网络安全约束
03 部分代码
04 运行结果
场景1:
场景2:
场景3:
场景4:
场景5:
场景6:
下载链接
01 基本信息
摘要:该程序复现文献《考虑N-1准则的分布鲁棒机会约束低碳经济调度》全部算例,该程序特点是电力调度方面知识点覆盖面很全,包含电力系统方向的诸多热点:分布鲁棒、机会约束、条件风险价值、阶梯碳交易、风光储联合、N-1故障等,每个点都可以扩充为一个专题研究,该程序集成了一系列知识点,方便大家学习研究。
该程序基于IEEE39节点系统,针对新能源出力不确定性,实现考虑N-1安全准则的分布鲁棒机会约束低碳经济调度。通过均值-方差模糊集刻画风光波动,以机会约束松绑功率平衡、CVaR量化极端风险,分时段设置风险参数ε;融入碳阶梯交易机制与风光储联合调度,结合LTDF动态校验N-1安全约束。程序以最小化系统总运行成本为目标,兼顾经济性、低碳性与供电可靠性,通过Gurobi求解器验证模型有效性,为高新能源渗透率电网调度提供技术支撑。
程序运行环境:matlab2020+版本,注释清晰,效果好!
数据:数据包括39节点数据,光伏、风电出力数据等,数据未完全按照文献设置,运行结果数据趋势和文献一致。

02 主要内容
2.1 风光储联合发电系统模型
目标函数:

程序以系统运行成本最小化为目标函数,主要包括火电机组发电成本、启/停成本、正负备用成本、弃风弃光成本、储能折旧成本和碳阶梯交易成本。
约束条件:
系统功率平衡约束
直流潮流与线路传输容量约束约束
启/停机成本约束
火电机组出力约束
火电机组爬坡约束
火电机组最小启/停时间约束
风电、光伏机组出力约束
等。

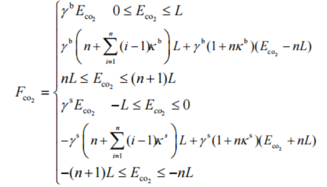
2.2 阶梯碳交易模型
碳交易模型是程序编写中的突出难点,其核心包含碳排放配额与成本模型两大模块,二者的耦合性与非线性特性显著增加了实现复杂度。
碳排放配额需动态关联火电机组实时出力、启停状态及免费配额系数,既要精准匹配不同时段的机组运行特性,又要随调度方案动态更新,避免配额计算与实际排放脱节。
成本模型因阶梯式奖惩机制呈强非线性,超配额惩罚与节余奖励的多阶梯划分需通过二进制变量与大M约束实现线性化转化,还需处理正负侧阶梯的互斥逻辑,同时需与机会约束、N-1安全校验等模块协同,避免约束冲突导致模型不可解,对变量定义与约束设计的精细化程度要求极高。

2.3 分布鲁棒机会约束
通过定义对偶变量(beta、v、s等),结合新能源出力的均值-方差模糊集参数,将概率性功率平衡约束转化为可求解的确定性约束。核心实现文献公式,包括CVaR风险度量约束(控制极端场景损失)、二阶锥约束及均值边界约束,以应对风光不确定性,在保证高置信度供电的同时,允许小概率功率不平衡。
二阶锥约束维度与符号需严格匹配文献公式,易因变量维度错误导致约束失效;模糊集均值/方差上下界设置需精准,过宽会使模型保守,过窄则无法覆盖实际波动;对偶变量非负约束与逻辑关联复杂,易与其他约束冲突,导致模型不可解或结果失真。

2.4 N-1 网络安全约束
N-1网络安全约束部分核心是保障单条线路故障后电网仍安全运行。代码先通过自定义函数,基于支路首末节点、电抗参数计算潮流转移因子(LTDF);再定义支路潮流变量,建立基态直流潮流约束,结合LTDF推导关键线路(13-14)故障后的潮流分布;最后添加故障后潮流上下限约束,确保剩余线路潮流不超负荷最大值。该部分需精准实现LTDF计算与故障潮流推导,核心目标是避免线路过载导致电网崩溃。
该部分为算例6部分,通过迭代实现网络安全约束。

03 部分代码
% 8.1 结果图 figure; plot(1:T, Load_forecast, 'k-', 'LineWidth', 2); hold on; plot(1:T, Pw_forecast, 'b-', 'LineWidth', 2); plot(1:T, Ppv_forecast, 'r-', 'LineWidth', 2); plot(1:T, Pw_forecast + Ppv_forecast, 'g--', 'LineWidth', 2); legend('负荷预测', '风电预测', '光伏预测', '新能源总预测', 'Location', 'northeast'); title('负荷和新能源出力预测值', 'FontSize', 12, 'FontWeight', 'bold'); xlabel('时间 (h)'); ylabel('功率 (MW)'); grid on; xlim([1,24]); % 8.2 优化调度结果图 figure; area(1:T, Pg_opt', 'LineWidth', 0.5); hold on; plot(1:T, Load_forecast, 'k-', 'LineWidth', 3); plot(1:T, Pw_forecast - Pw_cur_opt, 'b--', 'LineWidth', 2); plot(1:T, Ppv_forecast - Ppv_cur_opt, 'r--', 'LineWidth', 2); plot(1:T, P_dis_opt - P_ch_opt, 'm-.', 'LineWidth', 2); legend('火电机组1', '火电机组2', '火电机组3', '火电机组4', '火电机组5', ... '火电机组6', '火电机组7', '火电机组8', '火电机组9', '火电机组10', ... '负荷需求', '风电实际', '光伏实际', '储能净出力', ... 'Location', 'eastoutside', 'NumColumns', 2); title('优化调度结果', 'FontSize', 12, 'FontWeight', 'bold'); xlabel('时间 (h)'); ylabel('功率 (MW)'); grid on; xlim([1,24]); % 8.3 储能设备充放电柱状图(文献图7) figure; bar_data = [P_ch_opt; -P_dis_opt]'; % 充电为正,放电为负 bar(1:T, bar_data, 'stacked'); hold on; plot(1:T, S_opt, 'k-o', 'LineWidth', 2, 'MarkerSize', 4); legend('充电功率', '放电功率', 'SOC', 'Location', 'northeast'); title('储能设备充放电状态', 'FontSize', 12, 'FontWeight', 'bold'); xlabel('时间 (h)'); ylabel('功率 (MW) / 容量 (MWh)'); grid on; xlim([1,24]); % 8.4 成本构成分析 figure; costs = [cost_gen_val, cost_start_stop_val, cost_curtailment_val, ... cost_reserve_val, cost_storage_val, cost_carbon_val]; labels = {'火电成本', '启停成本', '弃电成本', '备用成本', '储能成本', '碳交易成本'}; pie(costs, labels); title('系统运行成本构成 (万元)', 'FontSize', 12, 'FontWeight', 'bold'); % sgtitle('考虑N-1准则的分布鲁棒机会约束低碳经济调度', 'FontSize', 14, 'FontWeight', 'bold'); % 支路潮流迭代 figure; lineStyles = {'-', '--', ':', '-.'}; % 线形集合 nStyles = length(lineStyles); for i = 1:k styleIdx = mod(i-1, nStyles) + 1; label = sprintf('第%d次迭代', i); y_data = squeeze(P_branchc(i,5,:)); % 若结果为1×1×n,转换后为1×n(行向量) % 或用 y_data = P_branchc(i,5,:)(:); % 转换为n×1(列向量),不影响绘图 plot(abs(y_data), ['b' lineStyles{styleIdx}], ... 'LineWidth', 1, ... 'DisplayName', label); hold on; end % plot(P_branch_max.*ones(1,24),'r--'); legend('Location', 'best'); grid on; %% ========================== 9. 结果显示 ========================== fprintf('\n=== 优化结果汇总 ===\n'); fprintf('总运行成本: %.3f 万元\n', total_cost); fprintf('火电成本: %.3f 万元\n', cost_gen_val); fprintf('启停成本: %.3f 万元\n', cost_start_stop_val); fprintf('弃风弃光成本: %.3f 万元\n', cost_curtailment_val); fprintf('备用成本: %.3f 万元\n', cost_reserve_val); fprintf('储能折旧成本: %.3f 万元\n', cost_storage_val); fprintf('碳交易成本: %.3f 万元\n', cost_carbon_val); fprintf('实际碳排放量: %.2f t\n', E_actual); fprintf('总弃风弃光量: %.2f MW\n', curtail_total);
04 运行结果

场景6全部包含上述设置,即所有都是√。
场景1:



场景2:


场景3:


场景4:



场景5:



场景6:




编者注
完整的算例复现是对调试有着苛刻的要求,比单独实现单一方法困难得多,要得到和文献一样的数据结果就要需要花费大量的时间调参,从而体现出每种场景算法的特点,虽然实现困难,但是对于学习研究而言,吃透了这一套程序,就能够更深的了解更多知识点,也方便直接用于自己论文算例对比。
下载链接

