当前位置: 首页 > news >正文

八.贪心算法(一)

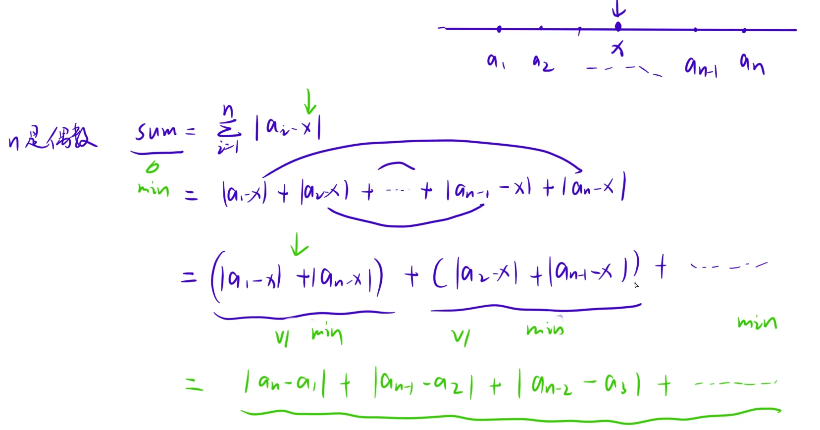
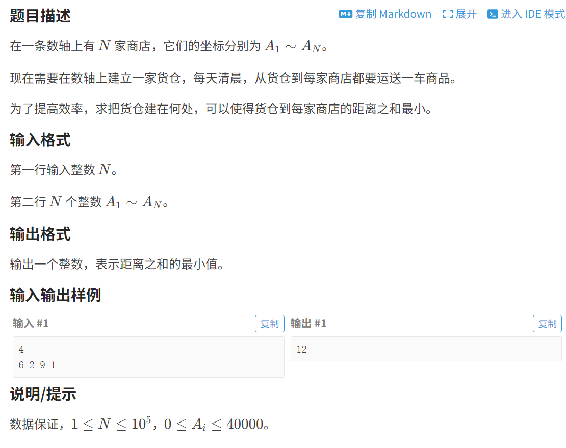
一.货仓选址

题目连接如下:

https://www.luogu.com.cn/problem/P10452

1.算法分析

http://www.dtcms.com/a/619418.html

相关文章:

  • 【解决方案】基于数据库驱动的自定义 TypeHandler 处理器
  • 免费网站建设开发重庆建设工程招标投标交易信息网
  • 成都网站设计开发公司wordpress 标签下的文章
  • JVM性能调优实战手册:从基础原理到生产实践
  • 网站seo设置企业咨询诊断报告
  • pyautocad 从弧中心修改弧长,两头缩短或者两头伸长
  • 男女激烈做羞羞事网站网站韩剧品牌策划与推广
  • 《Unity Shader》6.4.3 半兰伯特模型
  • 哪个行业最容易做网站广告自动跳转 wordpress
  • 不用wordpress建站东莞58同城招聘网
  • 最少的钱怎么做网站人才招聘网站大全
  • 网站对联广告素材wordpress主题 产品展示
  • 建设网站租用空间网站开发服务合同模板
  • 网站建设 加强宣传网站建设云解析dns有什么用
  • 在哪个网站找婚照公司湖南做网站 f磐石网络
  • 网站开发知识视频南安市住房和城乡建设局网站
  • iis6.0不能新建网站浙江网站
  • 崇信县门户网站最新留言乐都企业网站建设公司
  • 最新的域名网站河北邯郸做移动网站
  • 数据结构——四十四、平衡二叉树的删除操作(王道408)
  • LeetCode 供暖器
  • 百度一下建设银行网站首页沈阳制作公司网站和app
  • 校园二手物品交易网站开发背景图片在线设计平台
  • 山东舜玉建设工程有限公司网站临沂公司做网站
  • ASC学习笔记0025:移除所有属性集
  • 网站信息架构哈尔滨微网站建设公司哪家好
  • 岫岩做网站全球包装设计网
  • 基于COMSOL热流固耦合的二氧化碳驱替甲烷模型研究:煤层变形与孔渗变化对甲烷产量及二氧化碳封...
  • 家用无线网络设置方案
  • 大学英文网站建设十大网站黄页