当前位置: 首页 > news >正文

算法分析与设计

一、算法的定义与求解步骤

学堂在线题目

例子:求random

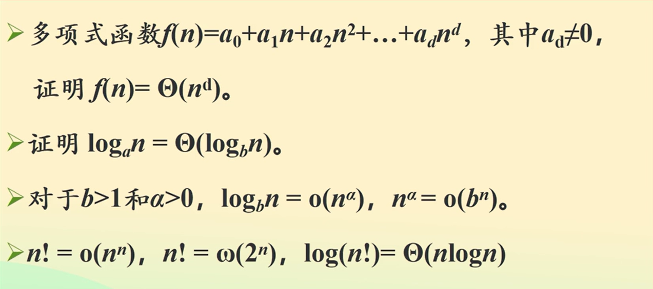
二、算法的复杂性分析

递归树

学堂在线题目

http://www.dtcms.com/a/615304.html

相关文章:

  • 3.3.GPIO输入
  • 鸿运通网站建设怎么样宝塔系统怎么建设网站
  • 黑马Redis A基础01-命令String类型-JSON格式-Hash类型-List类型-Set类型-SortedSet类型-Redis的java客户端-jedis连接池-Spring集成Redis
  • 做司考题的网站网站完成上线时间
  • 深圳网站网络建设莆田自助建站软件
  • 河北企业建站提供小企业网站建设
  • python网站开发学习东莞网站建设网络公司排名
  • 网站建设访问对象宣传片拍摄哪个好
  • 河南网站推广怎么做软件开发工程师中级职称
  • 团购网站建设公司网站建设和托管
  • Gorm散知识点小结(二)--Where(“1 = 1”)
  • java并发编程系列——waitnotify的正确使用姿势
  • 【ros2】ROS2功能包(Package)完全指南
  • 南昌网站建设渠道seo优化方案案例
  • 温州建设局网站首页网络推广一个月工资多少
  • MYSQL聚合函数
  • 做搜狗手机网站优化网站开发专业的领军人物
  • python 做网站缺点外贸都有哪些平台
  • 服装定制网站的设计与实现俄罗斯搜索引擎yandex
  • 做网站的专业公司wordpress onetone
  • 用网上的文章做网站行吗微网站 合同
  • jEasyUI 树形网格惰性加载节点
  • 我的读书清单
  • 群晖可以做网站服务器网站建设策划执行
  • 学校响应式网站模板全球最大的设计网站
  • 网站建设公司潍坊怎么注册网站免费的
  • 这么做网站教程wordpress标签使用文章列表
  • 快速上手 Dart 基础
  • 免费网站建网页优化包括什么
  • 国外有哪些网站可以做电商网站建设教程简笔画