OpenCV(二十一):图像的放大与缩小
图像放大与缩小的原理
图像放大(Zoom In)与缩小(Zoom Out)是空间域插值(Spatial Interpolation)的典型操作,本质上是对图像的像素重采样(Resampling)。
当你调整图像尺寸时,OpenCV 使用不同的**插值算法(Interpolation Methods)**计算新像素的灰度或颜色值。
空间域插值
定义
空间域插值 是指:
在图像的空间坐标系(x, y)上,对已知像素间的未知位置进行像素值估计的过程。
简单来说:
当图像被放大、旋转或扭曲后,新生成的像素点往往位于原图像的“两个像素之间”,此时我们需要通过插值算法估计这些新像素的值。
“空间域”
“空间域(Spatial domain)”指的是图像的像素空间坐标表示形式。
与之相对的是“频率域(Frequency domain)”,例如用傅里叶变换表示图像。
| 域类型 | 操作对象 | 典型算法 | 应用 |
|---|---|---|---|
| 空间域 | 像素坐标 (x, y) | 最近邻、双线性、双三次 | 缩放、旋转、平移 |
| 频率域 | 频率坐标 (u, v) | 卷积、滤波 | 去噪、锐化、增强 |
核心思想
当我们进行缩放或变换时,新像素点 (x', y') 通常落在原图中的非整数位置 (x, y)。
由于原图只有整数像素点,因此需要“插值”计算该位置的灰度值。
常见公式如下(以双线性插值为例):

其中:
(x_1, y_1), (x_2, y_1), (x_1, y_2), (x_2, y_2)是原图中相邻的 4 个像素;a, b是目标点在 x、y 方向的小数部分;I'(x', y')是新图像中该点的像素值。
这就是在空间域上“插”出新的像素值的过程。
像素重采样
定义
图像重采样 是指:
在几何变换或尺寸变化后,对图像进行重新取样(Sampling),即计算新像素网格对应的原始像素值的过程。
换句话说:
- “采样”是从原图获取像素;
- “重采样”是重新计算像素分布,使图像适应新的尺寸或坐标系。
重采样的两个核心步骤
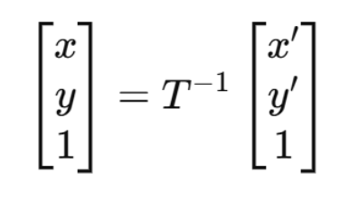
坐标映射(Coordinate Mapping)
确定新图像中每个像素点 (x', y') 在原图中对应的坐标 (x, y):

这里 T−1 是几何变换矩阵的逆矩阵。
比如缩放、旋转、透视变换等。
插值计算(Interpolation)
在原图中 (x, y) 一般不是整数坐标,因此需要使用 空间域插值算法(如双线性、双三次等)来计算该点的像素值。
重采样的类型
| 类型 | 操作 | 示例 |
|---|---|---|
| 下采样(Down-sampling) | 减少像素数 | 图像缩小 |
| 上采样(Up-sampling) | 增加像素数 | 图像放大 |
| 任意几何变换重采样 | 改变图像形状 | 旋转、透视变换、投影映射 |
空间域插值 vs 图像重采样
| 对比点 | 空间域插值 | 图像重采样 |
|---|---|---|
| 含义 | 对连续空间中的像素值进行估计 | 重新建立新的像素网格并计算像素值 |
| 作用范围 | 单像素计算方法 | 整体几何变换过程 |
| 是否依赖几何映射 | 否(局部算法) | 是(全局过程) |
| 包含关系 | 属于重采样的核心步骤 | 包含插值作为关键环节 |
| 举例 | 双线性、双三次 | 图像缩放、旋转、透视校正 |
可以这样理解:
图像重采样 = 坐标映射 + 空间域插值
重采样中的问题:混叠(Aliasing)
当图像缩小时,如果不对高频信号(细节)进行滤波,会出现“波纹状伪影”,称为混叠。
cv2.INTER_AREA 插值法正是通过对像素区域求平均来抑制混叠的典型方法。
插值算法原理
OpenCV 提供多种插值方式,通过 cv2.resize() 的 interpolation 参数选择:
| 插值算法 | 参数名 | 适用场景 | 原理说明 |
|---|---|---|---|
| 最近邻插值 | cv2.INTER_NEAREST | 速度最快、质量最低 | 新像素取最近的原像素值(阶梯状锯齿明显) |
| 双线性插值 | cv2.INTER_LINEAR | 默认方式,适合放大 | 用 2×2 像素的加权平均 |
| 双三次插值 | cv2.INTER_CUBIC | 高质量放大,慢 | 用 4×4 像素块的三次卷积计算 |
| 区域插值 | cv2.INTER_AREA | 缩小时效果最佳 | 取邻域像素的平均值(避免锯齿) |
| Lanczos 插值 | cv2.INTER_LANCZOS4 | 超高质量放大 | 基于 sinc 函数的高阶插值 |
最近邻插值(Nearest Neighbor Interpolation)
原理:
- 对于新像素
(x', y'),找到离它最近的原像素(x, y)。 - 直接复制该像素的值。
公式:

特点:
- 不进行平滑或权重计算。
- 最快,但锯齿感严重。
适用场景:
- 分类图(如标签图、掩码图),不希望像素混合。
- 实时视频预览。
OpenCV参数: cv2.INTER_NEAREST
双线性插值(Bilinear Interpolation)
原理:
- 新像素取自其周围 2×2 区域像素的加权平均。
- 权重根据距离线性变化。
公式:

其中

特点:
- 平滑过渡,锯齿少。
- 适合中等质量要求的放大。
OpenCV参数: cv2.INTER_LINEAR
双三次插值(Bicubic Interpolation)
原理:
- 使用 4×4 邻域像素(共16个点)进行加权平均。
- 权重由三次多项式函数确定。
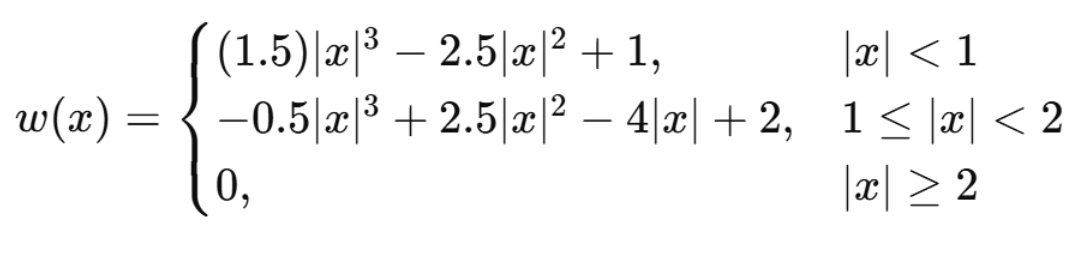
常见核函数(Cubic kernel):

特点:
- 过渡更平滑,细节保持更好。
- 计算复杂度高于双线性。
适用场景:
- 高质量放大、照片增强、AI预处理。
OpenCV参数: cv2.INTER_CUBIC
区域插值(Area Interpolation)
原理:
- 新像素的值为原图中对应区域的平均值(积分平均)。
- 特别适合下采样(缩小)操作。
效果:
- 消除锯齿,防止混叠(aliasing)。
- 不适合放大,因为信息会模糊。
适用场景:
- 图像缩小、视频缩略图生成。
OpenCV参数: cv2.INTER_AREA
Lanczos 插值(Lanczos Interpolation)
原理:
- 基于 sinc 函数的高精度插值。
- 使用更宽的邻域(一般为 8×8)。
- 函数形式:

其中 a 通常取 3 或 4(对应 INTER_LANCZOS4)。
特点:
- 图像锐度和细节保持最佳。
- 计算量最大,速度最慢。
适用场景:
- 高质量图像缩放、照片编辑、打印前处理。
OpenCV参数: cv2.INTER_LANCZOS4
样条插值(Spline Interpolation,非OpenCV默认)
原理:
- 使用高阶多项式曲线拟合像素变化。
- 可实现平滑度更高的结果。
常见形式:
- 三次B样条(B-spline)
- Catmull-Rom样条
优点:
- 连续一阶、二阶导数,图像平滑。
缺点:
- 对边缘模糊敏感,不常用于实时计算。
效果与性能对比
| 插值算法 | 邻域大小 | 平滑性 | 保真度 | 速度 | 典型用途 |
|---|---|---|---|---|---|
| 最近邻 | 1×1 | ❌ | 差 | 🚀🚀🚀🚀🚀 | 掩码、实时预览 |
| 双线性 | 2×2 | ✅ | 一般 | 🚀🚀🚀🚀 | 通用缩放 |
| 双三次 | 4×4 | ✅✅ | 好 | 🚀🚀🚀 | 高质量放大 |
| 区域插值 | 自适应 | ✅ | 优 | 🚀🚀 | 图像缩小 |
| Lanczos | 8×8 | ✅✅✅ | 极优 | 🚀 | 精准放大 |
| 样条插值 | 4×4~6×6 | ✅✅✅ | 优 | 🚀🚀 | 图像重建 |
示例
import cv2
import matplotlib.pyplot as plt# 设置中文字体(Windows 常用字体为 SimHei;Mac 可用 PingFang)
plt.rcParams['font.sans-serif'] = ['SimHei'] # 显示中文标签
plt.rcParams['axes.unicode_minus'] = False # 正常显示负号# 1. 读取并转换颜色空间
img = cv2.imread("test.jpg")
img = cv2.cvtColor(img, cv2.COLOR_BGR2RGB)# 获取原始尺寸
h, w = img.shape[:2]
print(f"原始尺寸: {w} x {h}")# 2. 定义插值算法
methods = {"Nearest": cv2.INTER_NEAREST,"Linear": cv2.INTER_LINEAR,"Cubic": cv2.INTER_CUBIC,"Area": cv2.INTER_AREA,"Lanczos": cv2.INTER_LANCZOS4
}# 3. 图像放大(2 倍)
resized_up = {}
for name, method in methods.items():resized_up[name] = cv2.resize(img, None, fx=2, fy=2, interpolation=method)# 4. 图像缩小(0.5 倍)
resized_down = {}
for name, method in methods.items():resized_down[name] = cv2.resize(img, None, fx=0.5, fy=0.5, interpolation=method)# 5. 使用 Matplotlib 显示结果
plt.figure(figsize=(14, 8))# 第一行:放大效果
for i, (name, image) in enumerate(resized_up.items(), 1):plt.subplot(2, len(methods), i)plt.imshow(image)plt.title(f"放大 x2 - {name}")plt.axis('off')# 第二行:缩小效果
for i, (name, image) in enumerate(resized_down.items(), 1):plt.subplot(2, len(methods), i + len(methods))plt.imshow(image)plt.title(f"缩小 x0.5 - {name}")plt.axis('off')plt.suptitle("OpenCV 各类插值算法:放大 vs 缩小 效果对比", fontsize=16)
plt.tight_layout()
plt.show()
执行效果:

