Wi-Fi 7通信技术
Wi-Fi 7,其标准代号为 IEEE 802.11be,拥有一个非常宏伟的项目名称——极高吞吐量。顾名思义,它的核心目标就是将无线网络的速度、容量和效率提升到一个前所未有的水平,以应对日益增长的高带宽、低延迟应用需求。
一、 Wi-Fi 7的核心技术特性
Wi-Fi 7 并非简单的速度提升,而是在多个底层技术上进行了革命性的升级。下表清晰地展示了其与前任 Wi-Fi 6/6E 的主要区别:
| 特性 | Wi-Fi 6/6E | Wi-Fi 7 | 带来的优势 |
|---|---|---|---|
| 最高理论速率 | 9.6 Gbps | ~46 Gbps | 为 8K 流媒体、超大文件传输、VR/AR 等提供基础 |
| 频段支持 | 2.4 GHz, 5 GHz, 6 GHz | 2.4 GHz, 5 GHz, 6 GHz | 继承了 6GHz 频段的宽敞“新车道” |
| 信道带宽 | 最高 160 MHz | 最高 320 MHz | 速度翻倍的关键,信道像道路一样变得更宽 |
| 调制技术 | 1024-QAM | 4096-QAM | 每次传输承载的数据量增加20%,效率更高 |
| 多链路操作 | 无 | MLO | 革命性技术! 可同时使用不同频段传输,降低延迟、提高可靠性 |
| 多资源单元 | 固定资源单元 | 多资源单元 | 更灵活地分配频谱资源,减少浪费,提升多用户效率 |
| 前导码打孔 | 无 | 支持 | 在受干扰的信道中,依然能利用未受干扰的部分进行传输 |
1. 更宽的车道:320 MHz 信道带宽
Wi-Fi 6 的最高信道带宽是 160 MHz,而 Wi-Fi 7 将其翻倍至 320 MHz。这好比将一条双向8车道的高速公路拓宽成了16车道,单位时间内能通过的车辆(数据)自然大幅增加。这是实现超高吞吐量的最主要因素。需要注意的是,320 MHz 信道仅在干扰较少的 6 GHz 频段可用。
2. 更高效的货车:4096-QAM
QAM是一种调制技术,可以理解为“每辆货车能装多少货”。Wi-Fi 6 使用的是 1024-QAM,每次传输 10 个比特。Wi-Fi 7 升级到 4096-QAM,每次能传输 12 个比特,数据密度提升了 20%。但这要求非常高的信噪比,意味着你的设备需要离路由器足够近、信号足够好才能发挥效用。
3. 革命性的交通调度:多链路操作
这是 Wi-Fi 7 最引人注目、最具革命性 的功能。
传统模式:你的手机在某一时刻,只能连接到一个频段(比如 5GHz),即使 2.4GHz 和 6GHz 空闲着。
MLO 模式:你的手机可以同时在多个频段(例如 5GHz 和 6GHz)上发送和接收数据。
优势1:降低延迟:可以将一个数据包通过两条链路同时发送,哪个先到就用哪个,类似于“多路径传输”,极大减少了等待时间和抖动。这对游戏、VR 视频通话至关重要。
优势2:增加吞吐量:可以聚合多个链路的带宽,实现速度叠加。
优势3:提高可靠性:当一条链路受到干扰或拥堵时,数据可以自动通过另一条链路传输,连接更稳定。
4. 更灵活的交通管理:前导码打孔
在现实生活中,Wi-Fi 信道可能会受到雷达等其他信号的干扰。传统上,如果一个 320 MHz 信道中的某 20 MHz 被占用,整个 320 MHz 信道都无法使用。
前导码打孔 技术允许路由器“绕过”被干扰的频段,继续使用该信道中其他干净的部分。这大大提高了宽信道的可用性和频谱利用率。
二、 Wi-Fi 7的应用场景
Wi-Fi 7 的强大能力将彻底改变我们的数字生活:
沉浸式体验:为 8K 超高清视频流传输、VR/AR 元宇宙应用 提供无压缩、无卡顿的无线连接基础。
极速游戏:MLO 技术 能将游戏延迟稳定在极低水平,实现真正的“电竞级”无线体验,告别线缆束缚。
远程办公与协作:超高清视频会议、大型文件的瞬间同步,让远程办公如同身临其境。
工业物联网与边缘计算:在工厂、仓库等场景,海量设备需要稳定、低延迟、高并发的连接,Wi-Fi 7 的多用户能力和高可靠性正好满足需求。
无线家庭宽带:替代传统光纤入户,通过无线方式为整个家庭提供千兆乃至万兆级别的网络接入。
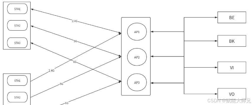
三、Wi-Fi 7链路架构
以国内的角度来看,6G是遥遥无期的,所以整个wifi7的价值在不开放6G频段的国家的价值大大降低,连带着wifi6E也是如此。数据优先级可以和不同的链路进行绑定,下边介绍下图例中的数据优先级:
BE:尽最大所能去传输的数据 - 优先级最低,延迟高,在发送队列中获取最小时间分配
BK:后台数据 - 优先级次低,延迟较高,在发送队列中获取较小时间分配
VI:视频数据 - 优先级较高,延迟较低,在发送队列中获取较多时间分配
VO:音频数据 - 优先级最高,延迟很低,在发送队列中获取做多时间分配

数据缓存
对于传统单链路AP-STA中,AP会通过定期发送的beacon中的TIM指示STA是否存在缓存数据进而决定是否醒来接收数据。WIFI7的多链路物理架构采用了比较讨巧的办法:
多链路AP会在每个链路上发送带有TIM信息的beacon,处于节电模式的STA只会在某一条链路上定期醒来其它链路保持深度睡眠。
当STA发现存在缓存数据后,可以在任何一条没有业务限制的链路上醒来并接收数据。如果某条链路绑定了特定业务,STA只能在此链路上获取特定的业务数据(BE BK VI VO).其它类型的数据需要在别的链路获取
四、Wi-Fi 7连接过程
wifi7由于引入的多链路架构,所以设备发现和关联都有一定的变化,对于多链路的分配也需要AP和STA提前商定好,额外的,多链路的mac也需要在连接阶段管理起来。
被动发现
和传统的被动发现类似,STA通过监听AP的beacon帧获取当前信到上的AP信息,但是对于多链路STA-AP的组合来说,STA不会监听所有信到的beacon,而是通过AP发送的周期beacon中的多AP信息知晓当前收到的beacon代表的AP是否是多AP设备,其它几条链路的频段,带宽等信息。(AP的广播的频段可以选择在任意频段,但是总的来说,最好的频段是在5G上,因为不是所有地区的设备都可以支持6G)
主动发现
主动发现和传统802.11协议station发现方法类似,但是多链路STA可以通过一条链路上的probe请求得到多链路AP的回应的probe request,其中包含了其它几条链路的信息。多链路STA也可以在一条链路上发送probe请求分别获得多链路AP的多链路信息后,主动在其它两条链路上发送probe请求获取其它链路信息。至此可以开启连接。
连接过程
wifi7的连接的帧交互模型并没有变化,多链路STA发送多链路认证帧后多链路AP恢复;多链路STA发送多链路关联请求认证1 2 3三条AP链路,AP由于调度等原因拒绝提供AP2链路服务。多链路STA与AP1 AP3两条链路关联成功。
Wi-Fi 7 是一次质的飞跃,而不仅仅是量的提升。 它通过 更宽的通道(320MHz)、更高效的编码(4096-QAM) 以及 革命性的多链路操作(MLO) 等技术,构建了一个更高速度、更低延迟、更智能、更可靠的无线网络基础。
