拓扑排序的实现
在前面几期,我们给大家介绍了几种求最短路径的算法以及用代码的具体实现,今天我们给大家介绍一种关于图的排序算法-----拓扑排序
拓扑排序:在图论中,由一个有向无环图的顶点组成的序列,当且仅当满足下列条件式,称为该图的一个拓扑排序:
1.每个顶点出现且出现一次
2.若顶点A在序列中排在B的前面,则在图中不存在从顶点B到顶点A的路径。
总结来说拓扑排序就是找到做事情的先后循序
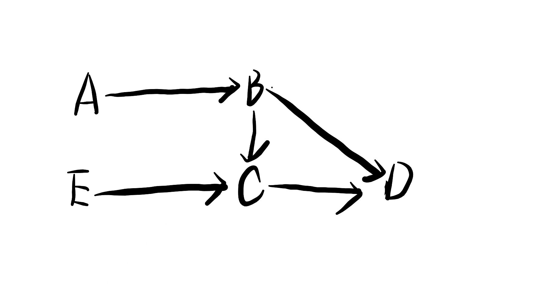
如图:

邻接表为:

实现拓扑排序的具体思想:
1.AOV网中选择一个没有前驱(入度为0)的顶点并输出
2.从网中删除该顶点和所有以它为起点的有向边
3.重复1和2直到当前的AOV网为空或当前网中不存在无前驱的顶点为止
代码实现:
#define _CRT_SECURE_NO_WARNINGS
#include<stdio.h>
#include<stdbool.h>
#include<stdlib.h>
#include<limits.h>
#define VertexNum 5
//定义边
typedef struct Edge
{
int adjvex;//邻接顶点的索引
struct Edge* next;//下一个顶点的位置
}Edge;
//定义顶点
typedef struct VNode
{
char data;//顶点
struct Edge* first;//指向该顶点第一条边
}VNode;
//定义图
typedef struct array
{
VNode arr[VertexNum];//定义数组
int Vertex;//顶点和边的数量
}Graph;
//这样的话就是存在一个arr数组,数组里的每个元素都是VNode型的,每个元素里面有个顶点和顶点的第一条边的指针
//每一个指针里面又有下一个顶点在数组里的下标和地址
typedef struct SNode
{
int data;//数据域
struct SNode* next;//下一个结点
}SNode,*LinkStack;
//初始化图
void InitGraph(Graph* G)
{
//给每个数据域赋为0,指针域赋为空
int i = 0;
for (i; i < VertexNum; i++)
{
G->arr[i].data = '\0';
G->arr[i].first = NULL;
}
G->Vertex = 0;
}
//插入顶点
bool EnVertex(Graph* G)
{
if (G->Vertex >= VertexNum)//如果顶点的数量大于等于数组的长度
return false;
int i;
for (i = 0; i < VertexNum; i++)
{
G->arr[i].data = 'A' + i;
}
//顶点数量
G->Vertex = VertexNum;
return true;
}
//将无向邻接表改为有向邻接表
//插入边
bool EnEdge(Graph* G)
{
if (G->Vertex <= 1)
return false;//1个顶点无需边
//为每个顶点的邻接顶点创建指针
//int i;
//A顶点
G->arr[0].first = (Edge*)malloc(sizeof(Edge));
if (G->arr[0].first == NULL)
return false;
Edge* p = G->arr[0].first;
p->adjvex = 1;
p->next = NULL;
//for (i = 2; i <= 3; i++)
//{
// Edge* s = (Edge*)malloc(sizeof(Edge));
// if (s == NULL)
// return false;
// s->adjvex = i;
// s->next = NULL;
// p->next = s;
// p = s;
//}
//B顶点
G->arr[1].first = (Edge*)malloc(sizeof(Edge));
if (G->arr[1].first == NULL)
return false;
Edge* q = G->arr[1].first;
q->adjvex = 2;
q->next = (Edge*)malloc(sizeof(Edge));
if (q->next == NULL)
return false;
q = q->next;
q->adjvex = 3;//指向D
q->next = NULL;
//C顶点
G->arr[2].first = (Edge*)malloc(sizeof(Edge));
if (G->arr[2].first == NULL)
return false;
Edge* C1 = G->arr[2].first;
C1->adjvex = 3;
C1->next = NULL;
//D顶点
//G->arr[3].first = (Edge*)malloc(sizeof(Edge));
//if (G->arr[3].first == NULL)
// return false;
//Edge* D1 = G->arr[3].first;
////D的邻接顶点A
//D1->adjvex = 0;
////D的邻接顶点B
//D1->next = (Edge*)malloc(sizeof(Edge));
//if (D1->next == NULL)
// return false;//分配失败
//D1 = D1->next;
//D1->adjvex = 1;
//D1->next = (Edge*)malloc(sizeof(Edge));
//if (D1->next == NULL)
// return false;//分配失败
//D1 = D1->next;
//D1->adjvex = 4;
//D1->next = NULL;
//E顶点
G->arr[4].first = (Edge*)malloc(sizeof(Edge));
if (G->arr[4].first == NULL)
return false;
Edge* E1 = G->arr[4].first;
//E的邻接顶点C
E1->adjvex = 2;
E1->next = NULL;
return true;
}
//拓扑排序
//初始化栈
int degree[VertexNum];//表示顶点的入度
int print[VertexNum];//表示顶点的出栈序列
void InitStack(LinkStack* S)
{
(*S) = NULL;
}
//进栈
bool Push(LinkStack* S,int i)
{
//链式队列无需判断满栈
//创建结点
SNode* p = (SNode*)malloc(sizeof(SNode));
if (p == NULL)
return false;
p->data = i;
p->next = (*S);
(*S) = p;
return true;
}
//判断栈不为空
bool EmptyStack(LinkStack* S)
{
if ((*S) == NULL)
return true;
return false;
}
//出栈
int Pop(LinkStack* S)
{
if ((*S) == NULL)
return INT_MAX;//空栈
int dingdian;
SNode* top = (*S);//栈顶指针
(*S) = (*S)->next;//更新栈顶指针
dingdian = top->data ;//保留栈顶数据
free(top);//释放内存空间
return dingdian;
}
//求图G中顶点x的第一个邻接点,若有则返回顶点号。若x没有邻接点或图中不存在x,则返回 -1
int FirstNeighbor(Graph G, char x)
{
if (G.Vertex == 0)
return -1;//非法图
if (G.Vertex == 1)
return -1;//只有一个顶点
int i;
int index = -1;
//求顶点的下标
for (i = 0; i < VertexNum; i++)
if (G.arr[i].data == x)
index = i;
if (index == -1)
return -1;//不存在顶点
//返回邻接顶点号
return G.arr[index].first->adjvex;
}
//假设图G中顶点y是顶点x的一个邻接点,返回除y之外顶点x的下一个邻接点的顶点号,若y是x的最后一个邻接点,则返回 - 1
int NextNeighBor(Graph G,char x,char y)
{
if (G.Vertex == 0)
return -1;//非法图
if (G.Vertex == 1)
return -1;//图中只有一个顶点
//求当前顶点的下标
int index = -1;
int i;
for (i = 0; i < VertexNum; i++)
if (G.arr[i].data == x)
{
index = i;
break;
}
if (index == -1)
return -1;//不存在该顶点
Edge* p = G.arr[index].first;
while (p != NULL)
{
if (G.arr[p->adjvex].data == y)//找到了y
return p->next->adjvex;
else//没有找到y
return -1;
}
return -1;
}
//拓扑排序
bool TopologicalSort(Graph G,LinkStack* S)
{
if (G.Vertex == 0)
return false;//非法图
if (G.Vertex == 1)
return false;//只有一个顶点
//初始化栈
InitStack(S);
//初始化数组
int i;
for (i = 0; i < VertexNum; i++)//print[]数组
print[i] = -1;
//degree数组
degree[0] = 0;
degree[1] = 1;
degree[2] = 2;
degree[3] = 2;
degree[4] = 0;
//进行拓扑排序
//令入度为0的顶点入栈
for (i = 0; i < VertexNum; i++)
{
if (degree[i] == 0)
Push(S,i);
}
int count = 0;//记录顶点的数量
int dingdian = -1;
while (EmptyStack(S) == false) //判断栈不为空的情况
{
dingdian = Pop(S);
if(dingdian >= 0 && dingdian < VertexNum)
print[count] =dingdian ;//打印出栈的顶点
count++;
//将dingdian指向的顶点入度-1,并且将为0的顶点入栈
Edge* p = G.arr[dingdian].first;
while(p != NULL)
{
int index = p->adjvex;
degree[index]--;
//如果此时入度为0则直接进栈
if (degree[index] == 0)
Push(S, index);
p = p->next;
}
}
if (count < VertexNum)
return false; //排序失败
return true;//排序成功
}
void Print(int print[])
{
int i;
for (i = 0; i < VertexNum; i++)
{
printf("%d ", print[i]);
}
printf("\n");
}
int main()
{
Graph G;//定义图
InitGraph(&G);//初始化
EnVertex(&G);//插入结点
EnEdge(&G);//插入边
//定义栈
LinkStack S;
TopologicalSort(G,&S);//拓扑排序
Print(print);
return 0;
}
上面代码中有些无关重要的注释,那些是我们前期使用的邻接表改造而来,大家观看时要注意,
代码的实现结果为:

时间复杂度:
如果使用邻接表:O(|V| + |E|)
如果使用邻接矩阵:O(|V|²)
大家可以根据最后的运行结果来比照一下最开始的图就会发现其中的规律.
