复变函数与积分变换 第一章——复数与复变函数
一、复数及复变函数的概念与复数代数运算
1、复数及复变函数的概念
(1)复数是一种数学概念,可表示为。
①x被称为复数的实部,它是复数的实数部分,可记为。
②y被称为复数的虚部,它是复数中伴随虚数单位i的系数(同样为实数),可记为。
③虚数单位i与实数的关系为。
④有时虚数单位也用j表示。
(2)复变函数是自变量为复数的函数。
2、复数及其代数运算
(1)关于复数的几个概念:

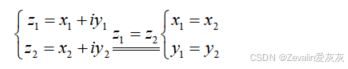
(2)任意两个复数之间不能比较大小(或者说不能直接比较大小),不过如果两个复数的实部和虚部均相等,则可认为两个复数相等,反之同样成立。

(3)复数的代数运算:
①加法与减法:两个复数的实部与虚部分别相加即可。
![]()
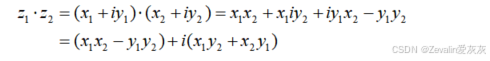
②乘法:按照多项式乘法法则计算即可。

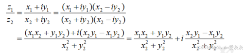
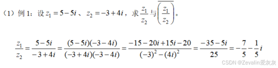
③除法:根据平方差公式将分母有理化,然后按照多项式乘法法则计算即可。

(4)共轭复数的性质:
①代数运算的性质:


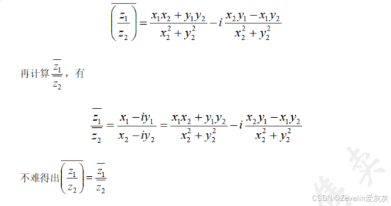
②对一个复数连续取两次共轭,结果为它本身,即,证明如下:
![]()
③一个复数与其共轭复数相乘,结果为复数的模平方,证明如下:
![]()
④一个复数与其共轭复数相加,结果实部为原本的两倍,虚部为0,而一个复数与其共轭复数相减,结果实部为0,虚部为原本的两倍,证明如下:

3、例题


二、复数的几何意义
1、复数的其它表示方法
(1)复数可借助复平面表示,复平面的横轴为复数的实部(实轴),纵轴为复数的虚部(虚轴),如下图所示。

