人工智能之数学基础:随机变量函数的分布(离散和连续)
本文重点
随机变量的分布(离散型随机变量的分布、连续型随机变量的分布)我们已经了解了,本文我们将更近一步,学习随机变量函数的分布。简单来说就是设随机变量X的分布已知,求Y=g(X)的分布。
随机变量函数是以随机变量为自变量的函数,它将一个随机变量映射成另外一个随机变量,这两个随机变量一般是不同的分布。
两种
这里分为两种,一种是离散型随机变量函数的分布,另外一种是连续型随机变量函数的分布。
离散型随机变量函数的分布
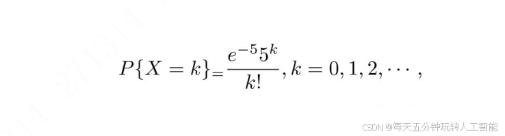
某城市一个月内发生火灾的次数 X~P(5),试求随机变量Y=|X-5|的概率分布。
解答:
X的分布已经知道了,就是泊松分布,通过如下的方式来表示:

由于Y=|X-5|,所以X=5+Y和X=5-Y(时刻保证X为0和正数,因为火灾次数一定不能是负数)

如上所示,我们可以看到当Y=1,2,3,4,5(X=5-i和X=5+i)的时候是由两个概率相加的,于是Y的分布概率分布为:
