LeeCode 141. 环形链表
给你一个链表的头节点 head ,判断链表中是否有环。
如果链表中有某个节点,可以通过连续跟踪 next 指针再次到达,则链表中存在环。 为了表示给定链表中的环,评测系统内部使用整数 pos 来表示链表尾连接到链表中的位置(索引从 0 开始)。注意:pos 不作为参数进行传递 。仅仅是为了标识链表的实际情况。
如果链表中存在环 ,则返回 true 。 否则,返回 false 。
示例 1:

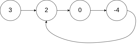
输入:head = [3,2,0,-4], pos = 1 输出:true 解释:链表中有一个环,其尾部连接到第二个节点。
示例 2:

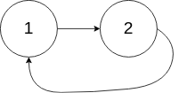
输入:head = [1,2], pos = 0 输出:true 解释:链表中有一个环,其尾部连接到第一个节点。
示例 3:

输入:head = [1], pos = -1 输出:false 解释:链表中没有环。
提示:
- 链表中节点的数目范围是
[0, 104] -105 <= Node.val <= 105pos为-1或者链表中的一个 有效索引 。
进阶:你能用 O(1)(即,常量)内存解决此问题吗?
答案&测试代码:
void testLeeCode141(void) {// 环形链表.struct ListNode {int val;ListNode *next;ListNode(int x) : val(x), next(NULL) {}};class Solution {public:bool hasCycle(ListNode* head) {if (!head) return false;// 双指针,步长为2的指针和步长为1的指针。两者相对速度为1,如果有环,快的指针会追上慢指针for (ListNode *slow = head, *fast = head;;) {slow = slow->next;if (!slow) return false;fast = fast->next;if (!fast) return false;fast = fast->next;if (!fast) return false;if (slow == fast) return true;}return false;}};ListNode node3 = ListNode(3);ListNode node2 = ListNode(2);ListNode node0 = ListNode(0);ListNode node4 = ListNode(-4);node3.next = &node2;node2.next = &node0;node0.next = &node4;node4.next = &node2;Solution solution;bool res = solution.hasCycle(&node3);std::cout << "res: " << res << endl;
}打印:

ok. 提交到LeeCode:

ok.
